Postoperative complications, emergency department utilisation, and readmission after radical cystectomy.

IF 1.9 Q3 UROLOGY & NEPHROLOGY
Central European Journal of Urology Pub Date : 2025-01-01 Epub Date: 2024-11-30 DOI:10.5173/ceju.2024.0166
Maxwell Sandberg, Claudia Marie-Costa, Rachel Vancavage, Emily Ye, Gavin Underwood, Rainer Rodriguez, Emily Roebuck, Sean Catley, Jorge Seoane, Arjun Choudhary, Stephen Tranchina, Ashok Hemal, Alejandro R Rodriguez
{"title":"Postoperative complications, emergency department utilisation, and readmission after radical cystectomy.","authors":"Maxwell Sandberg, Claudia Marie-Costa, Rachel Vancavage, Emily Ye, Gavin Underwood, Rainer Rodriguez, Emily Roebuck, Sean Catley, Jorge Seoane, Arjun Choudhary, Stephen Tranchina, Ashok Hemal, Alejandro R Rodriguez","doi":"10.5173/ceju.2024.0166","DOIUrl":null,"url":null,"abstract":"<p><strong>Introduction: </strong>There is minimal research on the types of complications patients experience after radical cystectomy (RC). Moreover, the impact of these complications is not well qualified. The primary purpose of this study is to qualify complications after RC and quantify rates of emergency department (ED) utilisation and readmissions to the hospital. The secondary purpose is to associate risk factors for ED visits and hospital readmission.</p><p><strong>Material and methods: </strong>Patients were retrospectively analysed, who underwent RC for bladder cancer. ED visits within 90 days of discharge from RC and readmission at both 30 and 31-90 days of discharge were collected. Complications were graded using the Clavien-Dindo system and classified using the Memorial Sloan-Kettering Cancer Center complication system.</p><p><strong>Results: </strong>Three hundred and eighty-six patients were included. The in-house complication rate before discharge was 36%, and the 90-day complication rate after discharge was 54.8%. 33.7% of patients had ≥1 ED visit postoperatively, 18.7% were readmitted within 30 days, and 17.3% within 31-90 days of discharge. The primary reason for ED presentation, readmission at 30 and 31-90 days was infection. Cutaneous ureterostomy (CU) was associated with greater likelihood of presentation to the ED and readmission 31-90 days postoperatively (p <0.01). Overall survival (OS) was worse in patients who presented to the ED and/or were readmitted at both the 30- and 31-90-day marks (p <0.01).</p><p><strong>Conclusions: </strong>ED utilisation and readmission rates after RC are high. The most common complication is infection. Patients with a CU are at higher risk for healthcare utilisation. OS is worse in patients with an ED visit or readmission to the hospital, and these patients may require closer monitoring.</p>","PeriodicalId":9744,"journal":{"name":"Central European Journal of Urology","volume":"78 1","pages":"5-13"},"PeriodicalIF":1.9000,"publicationDate":"2025-01-01","publicationTypes":"Journal Article","fieldsOfStudy":null,"isOpenAccess":false,"openAccessPdf":"https://www.ncbi.nlm.nih.gov/pmc/articles/PMC12073520/pdf/","citationCount":"0","resultStr":null,"platform":"Semanticscholar","paperid":null,"PeriodicalName":"Central European Journal of Urology","FirstCategoryId":"1085","ListUrlMain":"https://doi.org/10.5173/ceju.2024.0166","RegionNum":0,"RegionCategory":null,"ArticlePicture":[],"TitleCN":null,"AbstractTextCN":null,"PMCID":null,"EPubDate":"2024/11/30 0:00:00","PubModel":"Epub","JCR":"Q3","JCRName":"UROLOGY & NEPHROLOGY","Score":null,"Total":0}
引用次数: 0

Abstract

Introduction: There is minimal research on the types of complications patients experience after radical cystectomy (RC). Moreover, the impact of these complications is not well qualified. The primary purpose of this study is to qualify complications after RC and quantify rates of emergency department (ED) utilisation and readmissions to the hospital. The secondary purpose is to associate risk factors for ED visits and hospital readmission.

Material and methods: Patients were retrospectively analysed, who underwent RC for bladder cancer. ED visits within 90 days of discharge from RC and readmission at both 30 and 31-90 days of discharge were collected. Complications were graded using the Clavien-Dindo system and classified using the Memorial Sloan-Kettering Cancer Center complication system.

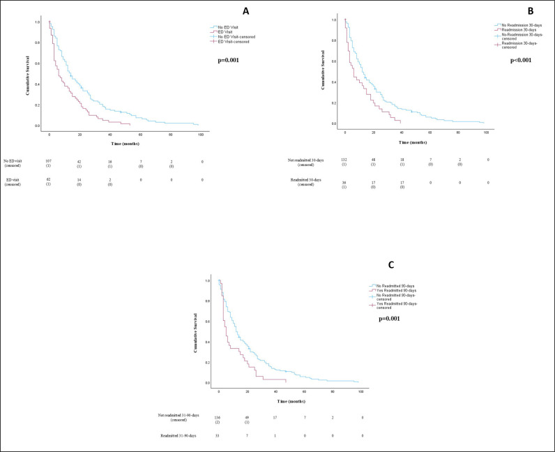
Results: Three hundred and eighty-six patients were included. The in-house complication rate before discharge was 36%, and the 90-day complication rate after discharge was 54.8%. 33.7% of patients had ≥1 ED visit postoperatively, 18.7% were readmitted within 30 days, and 17.3% within 31-90 days of discharge. The primary reason for ED presentation, readmission at 30 and 31-90 days was infection. Cutaneous ureterostomy (CU) was associated with greater likelihood of presentation to the ED and readmission 31-90 days postoperatively (p <0.01). Overall survival (OS) was worse in patients who presented to the ED and/or were readmitted at both the 30- and 31-90-day marks (p <0.01).

Conclusions: ED utilisation and readmission rates after RC are high. The most common complication is infection. Patients with a CU are at higher risk for healthcare utilisation. OS is worse in patients with an ED visit or readmission to the hospital, and these patients may require closer monitoring.

Abstract Image

术后并发症,急诊科应用,根治性膀胱切除术后再入院。
导言:关于根治性膀胱切除术(RC)后并发症类型的研究很少。此外,这些并发症的影响还没有得到很好的界定。本研究的主要目的是确定RC后的并发症,并量化急诊科(ED)使用率和再入院率。第二个目的是将急诊科就诊和再入院的危险因素联系起来。材料和方法:回顾性分析膀胱癌行膀胱切除术的患者。收集出院90天内的急诊科就诊情况,以及出院30天和31-90天的再入院情况。使用Clavien-Dindo系统对并发症进行分级,并使用纪念斯隆-凯特琳癌症中心并发症系统进行分类。结果:共纳入386例患者。出院前院内并发症发生率为36%,出院后90天并发症发生率为54.8%。33.7%的患者术后急诊次数≥1次,18.7%的患者在出院后30天内再次入院,17.3%的患者在出院后31-90天内再次入院。在30天和31-90天出现ED、再入院的主要原因是感染。皮肤输尿管造口术(CU)与术后31-90天出现ED和再入院的可能性较大相关(p结论:RC后ED的使用率和再入院率很高。最常见的并发症是感染。CU患者使用医疗保健服务的风险更高。在急诊科就诊或再次入院的患者中,OS更严重,这些患者可能需要更密切的监测。
本文章由计算机程序翻译,如有差异,请以英文原文为准。
求助全文
约1分钟内获得全文 求助全文
来源期刊
Central European Journal of Urology
Central European Journal of Urology UROLOGY & NEPHROLOGY-
CiteScore
2.30
自引率
8.30%
发文量
48
×
引用
GB/T 7714-2015
复制
MLA
复制
APA
复制
导出至
BibTeX EndNote RefMan NoteFirst NoteExpress
×
提示
您的信息不完整,为了账户安全,请先补充。
现在去补充
×
提示
您因"违规操作"
具体请查看互助需知
我知道了
×
提示
确定
请完成安全验证×
copy
已复制链接
快去分享给好友吧!
我知道了
右上角分享
点击右上角分享
0
联系我们:info@booksci.cn Book学术提供免费学术资源搜索服务,方便国内外学者检索中英文文献。致力于提供最便捷和优质的服务体验。 Copyright © 2023 布克学术 All rights reserved.
京ICP备2023020795号-1
ghs 京公网安备 11010802042870号
Book学术文献互助
Book学术文献互助群
群 号:604180095
Book学术官方微信