Association of short-term air pollution with risk of major adverse cardiovascular event mortality and modification effects of lifestyle in Chinese adults.

IF 2.5 3区 医学 Q1 PUBLIC, ENVIRONMENTAL & OCCUPATIONAL HEALTH
Wendi Xiao, Xin Yao, Yinqi Ding, Junpei Tao, Canqing Yu, Dianjianyi Sun, Pei Pei, Ling Yang, Yiping Chen, Huaidong Du, Dan Schmidt, Yaoming Zhai, Junshi Chen, Zhengming Chen, Jun Lv, Liqiang Zhang, Tao Huang, Liming Li
{"title":"Association of short-term air pollution with risk of major adverse cardiovascular event mortality and modification effects of lifestyle in Chinese adults.","authors":"Wendi Xiao, Xin Yao, Yinqi Ding, Junpei Tao, Canqing Yu, Dianjianyi Sun, Pei Pei, Ling Yang, Yiping Chen, Huaidong Du, Dan Schmidt, Yaoming Zhai, Junshi Chen, Zhengming Chen, Jun Lv, Liqiang Zhang, Tao Huang, Liming Li","doi":"10.1265/ehpm.24-00340","DOIUrl":null,"url":null,"abstract":"<p><strong>Background: </strong>Previous evidence showed that ambient air pollution and cardiovascular mortality are related. However, there is a lack of evidence towards the modification effect of long-term lifestyle on the association between short-term ambient air pollution and death from cardiovascular events.</p><p><strong>Method: </strong>A total of 14,609 death from major adverse cardiovascular events (MACE) were identified among the China Kadoorie Biobank participants from 2013 to 2018. Ambient air pollution exposure including particulate matter 2.5 (PM<sub>2.5</sub>), SO<sub>2</sub>, NO<sub>2</sub>, CO, and O<sub>3</sub> from the same period were obtained from space-time model reconstructions based on remote sensing data. Case-crossover design and conditional logistic regression was applied to estimate the effect of short-term exposure to air pollutants on MACE mortality.</p><p><strong>Results: </strong>We found MACE mortality was significantly associated with PM<sub>2.5</sub> (relative percent increase 2.91% per 10 µg/m<sup>3</sup> increase, 95% CI 1.32-4.53), NO<sub>2</sub> (5.37% per 10 µg/m<sup>3</sup> increase, 95% CI 1.56-9.33), SO<sub>2</sub> (6.82% per 10 µg/m<sup>3</sup> increase, 95% CI 2.99-10.80), and CO (2.24% per 0.1 mg/m<sup>3</sup> increase, 95% CI 1.02-3.48). Stratified analyses indicated that drinking was associated with elevated risk of MACE mortality with NO<sub>2</sub> and SO<sub>2</sub> exposure; physical inactivity was associated with higher risk of death from MACE when exposed to PM<sub>2.5</sub>; and people who had balanced diet had lower risk of MACE mortality when exposed to CO and NO<sub>2</sub>.</p><p><strong>Conclusions: </strong>The study results showed that short-term exposure to ambient PM<sub>2.5</sub>, NO<sub>2</sub>, SO<sub>2</sub>, and CO would aggravate the risk of cardiovascular mortality, yet healthy lifestyle conduct might mitigate such negative impact to some extent.</p>","PeriodicalId":11707,"journal":{"name":"Environmental Health and Preventive Medicine","volume":"30 ","pages":"38"},"PeriodicalIF":2.5000,"publicationDate":"2025-01-01","publicationTypes":"Journal Article","fieldsOfStudy":null,"isOpenAccess":false,"openAccessPdf":"https://www.ncbi.nlm.nih.gov/pmc/articles/PMC12086099/pdf/","citationCount":"0","resultStr":null,"platform":"Semanticscholar","paperid":null,"PeriodicalName":"Environmental Health and Preventive Medicine","FirstCategoryId":"3","ListUrlMain":"https://doi.org/10.1265/ehpm.24-00340","RegionNum":3,"RegionCategory":"医学","ArticlePicture":[],"TitleCN":null,"AbstractTextCN":null,"PMCID":null,"EPubDate":"","PubModel":"","JCR":"Q1","JCRName":"PUBLIC, ENVIRONMENTAL & OCCUPATIONAL HEALTH","Score":null,"Total":0}
引用次数: 0

Abstract

Background: Previous evidence showed that ambient air pollution and cardiovascular mortality are related. However, there is a lack of evidence towards the modification effect of long-term lifestyle on the association between short-term ambient air pollution and death from cardiovascular events.

Method: A total of 14,609 death from major adverse cardiovascular events (MACE) were identified among the China Kadoorie Biobank participants from 2013 to 2018. Ambient air pollution exposure including particulate matter 2.5 (PM2.5), SO2, NO2, CO, and O3 from the same period were obtained from space-time model reconstructions based on remote sensing data. Case-crossover design and conditional logistic regression was applied to estimate the effect of short-term exposure to air pollutants on MACE mortality.

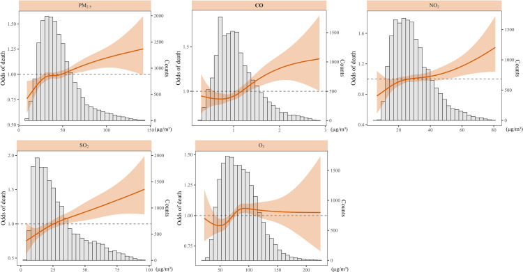
Results: We found MACE mortality was significantly associated with PM2.5 (relative percent increase 2.91% per 10 µg/m3 increase, 95% CI 1.32-4.53), NO2 (5.37% per 10 µg/m3 increase, 95% CI 1.56-9.33), SO2 (6.82% per 10 µg/m3 increase, 95% CI 2.99-10.80), and CO (2.24% per 0.1 mg/m3 increase, 95% CI 1.02-3.48). Stratified analyses indicated that drinking was associated with elevated risk of MACE mortality with NO2 and SO2 exposure; physical inactivity was associated with higher risk of death from MACE when exposed to PM2.5; and people who had balanced diet had lower risk of MACE mortality when exposed to CO and NO2.

Conclusions: The study results showed that short-term exposure to ambient PM2.5, NO2, SO2, and CO would aggravate the risk of cardiovascular mortality, yet healthy lifestyle conduct might mitigate such negative impact to some extent.

Abstract Image

Abstract Image

Abstract Image

中国成年人短期空气污染与主要心血管不良事件死亡率的关系及生活方式的改变效应
背景:已有证据表明环境空气污染与心血管疾病死亡率相关。然而,缺乏证据表明长期生活方式对短期环境空气污染与心血管事件死亡之间关系的改变作用。方法:2013年至2018年,在中国嘉道理生物银行的参与者中,共鉴定出14,609例主要不良心血管事件(MACE)死亡。基于遥感数据重建时空模型,获得同期大气环境污染暴露量,包括PM2.5、SO2、NO2、CO和O3。采用病例交叉设计和条件logistic回归来估计短期暴露于空气污染物对MACE死亡率的影响。结果:我们发现MACE死亡率与PM2.5(每增加10µg/m3相对增加2.91%,95% CI 1.32-4.53)、NO2(每增加10µg/m3相对增加5.37%,95% CI 1.56-9.33)、SO2(每增加10µg/m3相对增加6.82%,95% CI 2.99-10.80)和CO(每增加0.1 mg/m3相对增加2.24%,95% CI 1.02-3.48)显著相关。分层分析表明,饮酒与暴露于NO2和SO2的MACE死亡风险升高有关;当暴露于PM2.5时,缺乏身体活动与MACE死亡风险增加有关;饮食平衡的人在暴露于一氧化碳和二氧化氮时,MACE死亡的风险较低。结论:研究结果表明,短期暴露于环境PM2.5、NO2、SO2和CO会加重心血管死亡风险,而健康的生活方式行为可能在一定程度上缓解这种负面影响。
本文章由计算机程序翻译,如有差异,请以英文原文为准。
求助全文
约1分钟内获得全文 求助全文
来源期刊
Environmental Health and Preventive Medicine
Environmental Health and Preventive Medicine PUBLIC, ENVIRONMENTAL & OCCUPATIONAL HEALTH -
CiteScore
7.90
自引率
2.10%
发文量
44
审稿时长
10 weeks
期刊介绍: The official journal of the Japanese Society for Hygiene, Environmental Health and Preventive Medicine (EHPM) brings a comprehensive approach to prevention and environmental health related to medical, biological, molecular biological, genetic, physical, psychosocial, chemical, and other environmental factors. Environmental Health and Preventive Medicine features definitive studies on human health sciences and provides comprehensive and unique information to a worldwide readership.
×
引用
GB/T 7714-2015
复制
MLA
复制
APA
复制
导出至
BibTeX EndNote RefMan NoteFirst NoteExpress
×
提示
您的信息不完整,为了账户安全,请先补充。
现在去补充
×
提示
您因"违规操作"
具体请查看互助需知
我知道了
×
提示
确定
请完成安全验证×
copy
已复制链接
快去分享给好友吧!
我知道了
右上角分享
点击右上角分享
0
联系我们:info@booksci.cn Book学术提供免费学术资源搜索服务,方便国内外学者检索中英文文献。致力于提供最便捷和优质的服务体验。 Copyright © 2023 布克学术 All rights reserved.
京ICP备2023020795号-1
ghs 京公网安备 11010802042870号
Book学术文献互助
Book学术文献互助群
群 号:604180095
Book学术官方微信