An External Control Arm for the Oral Factor XIa Inhibitor Asundexian Phase 2 Trial in Atrial Fibrillation (PACIFIC-AF) Using Electronic Health Records.

IF 2.7 Q2 CARDIAC & CARDIOVASCULAR SYSTEMS
Cardiology and Therapy Pub Date : 2025-09-01 Epub Date: 2025-05-16 DOI:10.1007/s40119-025-00411-x
Tatsiana Vaitsiakhovich, Alexander Hartenstein, Stephen Privitera, Manesh R Patel, Jonathan P Piccini, Craig I Coleman, Khaled Abdelgawwad, Gerlind Holberg, Igor Khorlo, Hardi Mundl, Bernhard Schaefer, Thomas Viethen, Kai Vogtländer, Alexander Vowinkel, Frank Kleinjung
{"title":"An External Control Arm for the Oral Factor XIa Inhibitor Asundexian Phase 2 Trial in Atrial Fibrillation (PACIFIC-AF) Using Electronic Health Records.","authors":"Tatsiana Vaitsiakhovich, Alexander Hartenstein, Stephen Privitera, Manesh R Patel, Jonathan P Piccini, Craig I Coleman, Khaled Abdelgawwad, Gerlind Holberg, Igor Khorlo, Hardi Mundl, Bernhard Schaefer, Thomas Viethen, Kai Vogtländer, Alexander Vowinkel, Frank Kleinjung","doi":"10.1007/s40119-025-00411-x","DOIUrl":null,"url":null,"abstract":"<p><strong>Introduction: </strong>The aim of this study was to assess the applicability of an external control arm (ECA) approach in the clinical development of the oral factor XIa inhibitor asundexian for stroke prevention in patients with atrial fibrillation (AF), using prospectively collected data from the phase 2 PACIFIC-AF trial (NCT04218266) and real-world individual-level data from patients with AF treated with apixaban in the Optum<sup>®</sup> de-identified Electronic Health Record data set (Optum<sup>®</sup> EHR) 2013-2019.</p><p><strong>Methods: </strong>To build ECAs, real-world patients meeting trial eligibility criteria were matched to patients enrolled in PACIFIC-AF. The primary outcome was the composite of International Society on Thrombosis and Haemostasis-defined major bleeding or clinically relevant non-major bleeding. Event rates were compared between PACIFIC-AF and ECAs at 85 days of trial duration and projected up to 2 years.</p><p><strong>Results: </strong>Overall, 160,153 real-world patients met PACIFIC-AF eligibility criteria and were matched to patients from the PACIFIC-AF apixaban arm on 101 variables, with matching ratios of 1:10, 1:5, and 1:1. At day 85, the number of events for the primary outcome was 92 (3.68%) in the 1:10 ECA (2500 patients) and 6 (2.40%) in the PACIFIC-AF apixaban arm (250 patients), with incidence rates of 16.67 (90% confidence interval [CI] 13.92-19.63) and 11.10 (90% CI 4.83-19.45) per 100 person-years, respectively.</p><p><strong>Conclusions: </strong>ECAs matching the PACIFIC-AF apixaban arm could be built from EHRs with concordant event rates for key trial endpoints. The ECA approach enabled the determination of event rates for treatment duration up to 2 years, thereby informing the asundexian pivotal phase 3 trial in AF.</p>","PeriodicalId":9561,"journal":{"name":"Cardiology and Therapy","volume":" ","pages":"403-421"},"PeriodicalIF":2.7000,"publicationDate":"2025-09-01","publicationTypes":"Journal Article","fieldsOfStudy":null,"isOpenAccess":false,"openAccessPdf":"https://www.ncbi.nlm.nih.gov/pmc/articles/PMC12378266/pdf/","citationCount":"0","resultStr":null,"platform":"Semanticscholar","paperid":null,"PeriodicalName":"Cardiology and Therapy","FirstCategoryId":"1085","ListUrlMain":"https://doi.org/10.1007/s40119-025-00411-x","RegionNum":0,"RegionCategory":null,"ArticlePicture":[],"TitleCN":null,"AbstractTextCN":null,"PMCID":null,"EPubDate":"2025/5/16 0:00:00","PubModel":"Epub","JCR":"Q2","JCRName":"CARDIAC & CARDIOVASCULAR SYSTEMS","Score":null,"Total":0}
引用次数: 0

Abstract

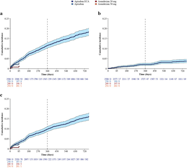
Introduction: The aim of this study was to assess the applicability of an external control arm (ECA) approach in the clinical development of the oral factor XIa inhibitor asundexian for stroke prevention in patients with atrial fibrillation (AF), using prospectively collected data from the phase 2 PACIFIC-AF trial (NCT04218266) and real-world individual-level data from patients with AF treated with apixaban in the Optum® de-identified Electronic Health Record data set (Optum® EHR) 2013-2019.

Methods: To build ECAs, real-world patients meeting trial eligibility criteria were matched to patients enrolled in PACIFIC-AF. The primary outcome was the composite of International Society on Thrombosis and Haemostasis-defined major bleeding or clinically relevant non-major bleeding. Event rates were compared between PACIFIC-AF and ECAs at 85 days of trial duration and projected up to 2 years.

Results: Overall, 160,153 real-world patients met PACIFIC-AF eligibility criteria and were matched to patients from the PACIFIC-AF apixaban arm on 101 variables, with matching ratios of 1:10, 1:5, and 1:1. At day 85, the number of events for the primary outcome was 92 (3.68%) in the 1:10 ECA (2500 patients) and 6 (2.40%) in the PACIFIC-AF apixaban arm (250 patients), with incidence rates of 16.67 (90% confidence interval [CI] 13.92-19.63) and 11.10 (90% CI 4.83-19.45) per 100 person-years, respectively.

Conclusions: ECAs matching the PACIFIC-AF apixaban arm could be built from EHRs with concordant event rates for key trial endpoints. The ECA approach enabled the determination of event rates for treatment duration up to 2 years, thereby informing the asundexian pivotal phase 3 trial in AF.

Abstract Image

Abstract Image

使用电子健康记录治疗心房颤动(PACIFIC-AF)的口服XIa因子抑制剂Asundexian 2期临床试验的外部控制臂
本研究的目的是评估外部对照组(ECA)方法在口服XIa因子抑制剂assundexian预防房颤(AF)患者卒中临床开发中的适用性,使用前瞻性收集的2期PACIFIC-AF试验(NCT04218266)数据和2013-2019年Optum®去识别电子健康记录数据集(Optum®EHR)中阿哌沙班治疗的房颤患者的真实个体水平数据。方法:建立ECAs,将符合试验资格标准的现实世界患者与入组的PACIFIC-AF患者相匹配。主要终点是国际血栓和止血学会定义的大出血或临床相关的非大出血的综合指标。在85天的试验期间比较PACIFIC-AF和eca的事件发生率,并预计长达2年。结果:总体而言,160153名真实世界的患者符合PACIFIC-AF的资格标准,并在101个变量上与PACIFIC-AF阿哌沙班组的患者匹配,匹配比例为1:10,1:5和1:1。在第85天,主要结局的事件数在1:10 ECA组(2500例患者)中为92(3.68%),在PACIFIC-AF阿哌沙班组(250例患者)中为6(2.40%),发生率分别为16.67(90%可信区间[CI] 13.92-19.63)和11.10 (90% CI 4.83-19.45) / 100人年。结论:与PACIFIC-AF阿哌沙班组相匹配的eca可以从关键试验终点事件发生率一致的电子病历中构建。ECA方法能够确定治疗时间长达2年的事件发生率,从而为房颤的非连续性关键3期试验提供信息。
本文章由计算机程序翻译,如有差异,请以英文原文为准。
求助全文
约1分钟内获得全文 求助全文
来源期刊
Cardiology and Therapy
Cardiology and Therapy CARDIAC & CARDIOVASCULAR SYSTEMS-
CiteScore
5.30
自引率
0.00%
发文量
38
审稿时长
6 weeks
期刊介绍: Aims and Scope Cardiology and Therapy is an international, open access, peer reviewed (single-blind), rapid-publication journal dedicated to the publication of high-quality clinical (all phases), observational, real-world, and health outcomes research around the discovery, development, and use of cardiovascular therapies and interventions, including devices. Studies relating to diagnosis and diagnostics, pharmacoeconomics, public health, quality of life, as well as patient care, management and education are also encouraged. Areas of focus include, but are not limited to, ischaemic heart disease and acute cardiac care, myocardial, valvular, pericardial and congenital heart disease, vascular and pulmonary disease (including hypertension), arrhythmias, heart failure, non-invasive diagnostic techniques, and invasive and interventional cardiology as well as cardiovascular surgery. The journal is of interest to a broad audience of pharmaceutical and healthcare professionals and publishes original research, reviews, case reports/case series, trial protocols and short communications such as commentaries and editorials. Cardiolology and Therapy will consider all scientifically sound research be it positive, confirmatory or negative data. Submissions are welcomed whether they relate to an international and/or a country-specific audience, something that is crucially important when researchers are trying to target more specific patient populations. This inclusive approach allows the journal to assist in the dissemination of quality research, which may be considered of insufficient interest by other journals. Rapid Publication The journal’s publication timelines aim for a rapid peer review of 2 weeks. If an article is accepted it will be published 3–4 weeks from acceptance. The rapid timelines are achieved through the combination of a dedicated in-house editorial team, who manage article workflow, and an extensive Editorial and Advisory Board who assist with peer review. This allows the journal to support the rapid dissemination of research, whilst still providing robust peer review. Combined with the journal’s open access model this allows for the rapid, efficient communication of the latest research and reviews, fostering the advancement of cardiovascular therapies. Personal Service The journal’s dedicated in-house editorial team offer a personal “concierge service” meaning authors will always have an editorial contact able to update them on the status of their manuscript. The editorial team check all manuscripts to ensure that articles conform to the most recent COPE, GPP and ICMJE publishing guidelines. This supports the publication of ethically sound and transparent research. Digital Features and Plain Language Summaries Cardiology and Therapy offers a range of additional features designed to increase the visibility, readership and educational value of the journal’s content. Each article is accompanied by key summary points, giving a time-efficient overview of the content to a wide readership. Articles may be accompanied by plain language summaries to assist readers who have some knowledge of, but not in-depth expertise in, the area to understand the scientific content and overall implications of the article. The journal also provides the option to include various types of digital features including animated abstracts, video abstracts, slide decks, audio slides, instructional videos, infographics, podcasts and animations. All additional features are peer reviewed to the same high standard as the article itself. If you consider that your paper would benefit from the inclusion of a digital feature, please let us know. Our editorial team are able to create high-quality slide decks and infographics in-house, and video abstracts through our partner Research Square, and would be happy to assist in any way we can. For further information about digital features, please contact the journal editor (see ‘Contact the Journal’ for email address), and see the ‘Guidelines for digital features and plain language summaries’ document under ‘Submission guidelines’. For examples of digital features please visit our showcase page https://springerhealthcare.com/expertise/publishing-digital-features/ Publication Fees Upon acceptance of your article for publication, authors will be required to pay the mandatory Rapid Service Fee of £3650/€4500/$5100. The journal will consider fee discounts for developing countries and this is decided on a case by case basis. Open Access All articles published by Cardiology and Therapy are published open access. Peer Review Process Upon submission, manuscripts are assessed by the editorial team to ensure they fit within the aims and scope of the journal and are also checked for plagiarism. All suitable submissions are then subject to a comprehensive single-blind peer review. Reviewers are selected based on their relevant expertise and publication history in the subject area. The journal has an extensive pool of editorial and advisory board members who have been selected to assist with peer review based on the afore-mentioned criteria. At least two extensive reviews are required to make the editorial decision, with the exception of some article types such as Commentaries, Editorials and Letters which are generally reviewed by one member of the Editorial Board. Where reviewer recommendations are conflicted, the editorial board will be contacted for further advice and a presiding decision. Manuscripts are then either accepted, rejected or authors are required to make major or minor revisions (both reviewer comments and editorial comments may need to be addressed). Once a revised manuscript is re-submitted, it is assessed along with the responses to reviewer comments and if it has been adequately revised it will be accepted for publication. Accepted manuscripts are then copyedited and typeset by the production team before online publication. Appeals against decisions following peer review are considered on a case by case basis and should be sent to the journal editor. Preprints We encourage posting of preprints of primary research manuscripts on preprint servers, authors’ or institutional websites, and open communications between researchers whether on community preprint servers or preprint commenting platforms. Posting of preprints is not considered prior publication and will not jeopardize consideration in our journals. Authors should disclose details of preprint posting during the submission process or at any other point during consideration in one of our journals. Once the preprint is published, it is the author’s responsibility to ensure that the preprint record is updated with a publication reference, including the DOI and a URL link to the published version of the article on the journal website. Copyright Cardiology and Therapy is published under the Creative Commons Attribution-Noncommercial License, which allows users to read, copy, distribute, and make derivative works for non-commercial purposes from the material, as long as the author of the original work is cited. The author assigns the exclusive right to any commercial use of the article to Springer. For more information about the Creative Commons Attribution-Noncommercial License, click here: http://creativecommons.org/licenses/by-nc/4.0. Contact For more information about the journal, including pre-submission enquiries, please contact matthew.evans@springer.com
×
引用
GB/T 7714-2015
复制
MLA
复制
APA
复制
导出至
BibTeX EndNote RefMan NoteFirst NoteExpress
×
提示
您的信息不完整,为了账户安全,请先补充。
现在去补充
×
提示
您因"违规操作"
具体请查看互助需知
我知道了
×
提示
确定
请完成安全验证×
copy
已复制链接
快去分享给好友吧!
我知道了
右上角分享
点击右上角分享
0
联系我们:info@booksci.cn Book学术提供免费学术资源搜索服务,方便国内外学者检索中英文文献。致力于提供最便捷和优质的服务体验。 Copyright © 2023 布克学术 All rights reserved.
京ICP备2023020795号-1
ghs 京公网安备 11010802042870号
Book学术文献互助
Book学术文献互助群
群 号:604180095
Book学术官方微信