Achieving Neuroprotection in the Setting of Early Extubation During Infant Cardiac Surgery: A Prospective, Randomized, and Blinded Study.

IF 1.4 Q3 CARDIAC & CARDIOVASCULAR SYSTEMS
Cardiology Research Pub Date : 2025-06-01 Epub Date: 2025-04-22 DOI:10.14740/cr2029
Aymen N Naguib, Marc Bozych, Kelly McNally, Mark Galantowicz, Joseph Tobias
{"title":"Achieving Neuroprotection in the Setting of Early Extubation During Infant Cardiac Surgery: A Prospective, Randomized, and Blinded Study.","authors":"Aymen N Naguib, Marc Bozych, Kelly McNally, Mark Galantowicz, Joseph Tobias","doi":"10.14740/cr2029","DOIUrl":null,"url":null,"abstract":"<p><strong>Background: </strong>This study aimed to investigate the impact of early extubation on stress response and neurodevelopmental outcomes after pediatric cardiac surgery utilizing cardiopulmonary bypass (CPB).</p><p><strong>Methods: </strong>In this single-center prospective pilot study, we attempted to study the impact of using dexmedetomidine as an adjunct to facilitate early extubation after pediatric cardiac surgery requiring CPB during the first year of life. The study was conducted between May 2014 and January 2020. Perioperative data and stress hormone levels were collected at different points during the perioperative period. In addition, neurodevelopmental outcome measures including cognitive composite score, language (expressive and receptive) and motor (fine and gross) composites were evaluated at five time points including prior to surgery and up to 1 year after the procedure. Two-sample <i>t</i>-tests and Kruskal-Wallis tests were used to compare continuous parametric and non-parametric outcomes, respectively. Fisher's exact or Chi-squared tests were used to compare categorical outcomes.</p><p><strong>Results: </strong>A total of 30 subjects were included in the final cohort of patients. Of the 30 subjects, 14 patients were randomized to the dexmedetomidine group (dexmedetomidine plus fentanyl) (DEX group) and 16 patients were randomized to the no dexmedetomidine group (fentanyl only) (no DEX group). With few exceptions, both groups demonstrated appropriate blunting of the stress response. There was a significant increase in the ratio of the pro-inflammatory interleukin-10 (IL-10) to the anti-inflammatory interleukin-6 (IL-6) for the no DEX group at the end of the procedure when compared to the DEX group (10 ± 9 vs. 5 ± 4, P = 0.04). When looking at the Bayley cognitive composite score, the DEX group scored better than the no DEX group during the second visit (102 ± 11 vs. 88 ± 17, P = 0.023). By the fifth visit, the two groups scored similarly (94 ± 12 vs. 94 ± 12, P = 0.9 for the no DEX and DEX groups, respectively).</p><p><strong>Conclusion: </strong>When looking at the neurodevelopmental outcome, both groups had no significant changes in their Bayley scores from baseline with blunting of most stress markers. This study offers possible evidence of the safety of early extubation after pediatric cardiac surgery while maintaining the goal of neuroprotection.</p>","PeriodicalId":9424,"journal":{"name":"Cardiology Research","volume":"16 3","pages":"178-188"},"PeriodicalIF":1.4000,"publicationDate":"2025-06-01","publicationTypes":"Journal Article","fieldsOfStudy":null,"isOpenAccess":false,"openAccessPdf":"https://www.ncbi.nlm.nih.gov/pmc/articles/PMC12074690/pdf/","citationCount":"0","resultStr":null,"platform":"Semanticscholar","paperid":null,"PeriodicalName":"Cardiology Research","FirstCategoryId":"1085","ListUrlMain":"https://doi.org/10.14740/cr2029","RegionNum":0,"RegionCategory":null,"ArticlePicture":[],"TitleCN":null,"AbstractTextCN":null,"PMCID":null,"EPubDate":"2025/4/22 0:00:00","PubModel":"Epub","JCR":"Q3","JCRName":"CARDIAC & CARDIOVASCULAR SYSTEMS","Score":null,"Total":0}
引用次数: 0

Abstract

Background: This study aimed to investigate the impact of early extubation on stress response and neurodevelopmental outcomes after pediatric cardiac surgery utilizing cardiopulmonary bypass (CPB).

Methods: In this single-center prospective pilot study, we attempted to study the impact of using dexmedetomidine as an adjunct to facilitate early extubation after pediatric cardiac surgery requiring CPB during the first year of life. The study was conducted between May 2014 and January 2020. Perioperative data and stress hormone levels were collected at different points during the perioperative period. In addition, neurodevelopmental outcome measures including cognitive composite score, language (expressive and receptive) and motor (fine and gross) composites were evaluated at five time points including prior to surgery and up to 1 year after the procedure. Two-sample t-tests and Kruskal-Wallis tests were used to compare continuous parametric and non-parametric outcomes, respectively. Fisher's exact or Chi-squared tests were used to compare categorical outcomes.

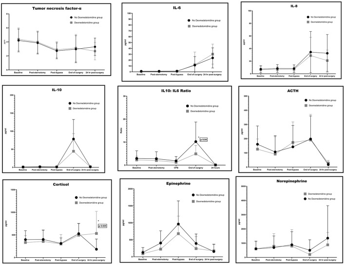
Results: A total of 30 subjects were included in the final cohort of patients. Of the 30 subjects, 14 patients were randomized to the dexmedetomidine group (dexmedetomidine plus fentanyl) (DEX group) and 16 patients were randomized to the no dexmedetomidine group (fentanyl only) (no DEX group). With few exceptions, both groups demonstrated appropriate blunting of the stress response. There was a significant increase in the ratio of the pro-inflammatory interleukin-10 (IL-10) to the anti-inflammatory interleukin-6 (IL-6) for the no DEX group at the end of the procedure when compared to the DEX group (10 ± 9 vs. 5 ± 4, P = 0.04). When looking at the Bayley cognitive composite score, the DEX group scored better than the no DEX group during the second visit (102 ± 11 vs. 88 ± 17, P = 0.023). By the fifth visit, the two groups scored similarly (94 ± 12 vs. 94 ± 12, P = 0.9 for the no DEX and DEX groups, respectively).

Conclusion: When looking at the neurodevelopmental outcome, both groups had no significant changes in their Bayley scores from baseline with blunting of most stress markers. This study offers possible evidence of the safety of early extubation after pediatric cardiac surgery while maintaining the goal of neuroprotection.

Abstract Image

Abstract Image

Abstract Image

在婴儿心脏手术早期拔管中实现神经保护:一项前瞻性、随机、盲法研究。
背景:本研究旨在探讨早期拔管对小儿心脏手术体外循环(CPB)后应激反应和神经发育结局的影响。方法:在这项单中心前瞻性先导研究中,我们试图研究使用右美托咪定作为辅助手段,以促进儿童心脏手术后需要CPB的第一年早期拔管的影响。该研究于2014年5月至2020年1月进行。收集围手术期不同时间点的围手术期数据和应激激素水平。此外,神经发育指标包括认知综合评分、语言(表达性和接受性)和运动(精细和粗细)综合评分在五个时间点进行评估,包括术前和术后1年。两样本t检验和Kruskal-Wallis检验分别用于比较连续参数和非参数结果。使用Fisher精确检验或卡方检验来比较分类结果。结果:共有30名受试者被纳入最终的患者队列。30例患者中,14例患者随机分为右美托咪定组(右美托咪定加芬太尼)(右美托咪定组),16例患者随机分为不加右美托咪定组(芬太尼)(不加右美托咪定组)。除了少数例外,两组都表现出适当的压力反应钝化。无右美托咪唑组在手术结束时促炎白介素-10 (IL-10)与抗炎白介素-6 (IL-6)的比值显著高于右美托咪唑组(10±9比5±4,P = 0.04)。在Bayley认知综合评分方面,第二次就诊时,DEX组得分高于未使用DEX组(102±11比88±17,P = 0.023)。到第五次就诊时,两组得分相似(94±12比94±12,无DEX组和DEX组分别P = 0.9)。结论:当观察神经发育结果时,两组的Bayley评分与基线相比没有显著变化,大多数压力标记物变钝。本研究为儿童心脏手术后早期拔管的安全性提供了可能的证据,同时保持了神经保护的目标。
本文章由计算机程序翻译,如有差异,请以英文原文为准。
求助全文
约1分钟内获得全文 求助全文
来源期刊
Cardiology Research
Cardiology Research CARDIAC & CARDIOVASCULAR SYSTEMS-
CiteScore
2.50
自引率
0.00%
发文量
42
期刊介绍: Cardiology Research is an open access, peer-reviewed, international journal. All submissions relating to basic research and clinical practice of cardiology and cardiovascular medicine are in this journal''s scope. This journal focuses on publishing original research and observations in all cardiovascular medicine aspects. Manuscript types include original article, review, case report, short communication, book review, letter to the editor.
×
引用
GB/T 7714-2015
复制
MLA
复制
APA
复制
导出至
BibTeX EndNote RefMan NoteFirst NoteExpress
×
提示
您的信息不完整,为了账户安全,请先补充。
现在去补充
×
提示
您因"违规操作"
具体请查看互助需知
我知道了
×
提示
确定
请完成安全验证×
copy
已复制链接
快去分享给好友吧!
我知道了
右上角分享
点击右上角分享
0
联系我们:info@booksci.cn Book学术提供免费学术资源搜索服务,方便国内外学者检索中英文文献。致力于提供最便捷和优质的服务体验。 Copyright © 2023 布克学术 All rights reserved.
京ICP备2023020795号-1
ghs 京公网安备 11010802042870号
Book学术文献互助
Book学术文献互助群
群 号:604180095
Book学术官方微信