A quantitative analysis of symmetry on standard anteroposterior pelvic X-ray.

IF 1
Abdurrahman Yilmaz, Turab Selcuk, Taha Aksoy, Bülent Atilla
{"title":"A quantitative analysis of symmetry on standard anteroposterior pelvic X-ray.","authors":"Abdurrahman Yilmaz, Turab Selcuk, Taha Aksoy, Bülent Atilla","doi":"10.5152/j.aott.2025.24033","DOIUrl":null,"url":null,"abstract":"<p><p>Objective: A pelvic X-ray examination might not be accomplished accurately if the images are not acquired properly. In this study, the aim was to develop an automated model using artificial intelligence capable of accurately quantifying the symmetry of the obturator foramen in a pelvic anteroposterior X-ray and determining its suitability for evaluation. Methods: After applying the exclusion criteria, the study included 513 pelvic X-rays. An automated model was developed in the second stage to identify the iliac wings and obturator foramen. After that, calculations were performed to evaluate the obturator foramen's symmetry using the Dice, Jaccard, and Cosine similarity indices. Finally, the symmetry values determined by the physician and the suggested system were compared statistically. Results: The symmetry values found using the suggested model varied from 0.58 to 0.89. There was no statistically significant difference in the symmetry values of the obturator foramen as determined by the automated approach and the observer physician, as indicated by 3 distinct similarity indices (P=.68, P=.6, and P=.96). Conclusion: The artificial intelligence model successfully evaluated the appropriateness of the pelvic X-ray in terms of obturator foramen symmetry. Level of Evidence: Level III, Diagnostic Study.</p>","PeriodicalId":93854,"journal":{"name":"Acta orthopaedica et traumatologica turcica","volume":"59 2","pages":"122-128"},"PeriodicalIF":1.0000,"publicationDate":"2025-04-29","publicationTypes":"Journal Article","fieldsOfStudy":null,"isOpenAccess":false,"openAccessPdf":"https://www.ncbi.nlm.nih.gov/pmc/articles/PMC12076016/pdf/","citationCount":"0","resultStr":null,"platform":"Semanticscholar","paperid":null,"PeriodicalName":"Acta orthopaedica et traumatologica turcica","FirstCategoryId":"1085","ListUrlMain":"https://doi.org/10.5152/j.aott.2025.24033","RegionNum":0,"RegionCategory":null,"ArticlePicture":[],"TitleCN":null,"AbstractTextCN":null,"PMCID":null,"EPubDate":"","PubModel":"","JCR":"","JCRName":"","Score":null,"Total":0}
引用次数: 0

Abstract

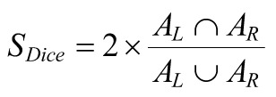
Objective: A pelvic X-ray examination might not be accomplished accurately if the images are not acquired properly. In this study, the aim was to develop an automated model using artificial intelligence capable of accurately quantifying the symmetry of the obturator foramen in a pelvic anteroposterior X-ray and determining its suitability for evaluation. Methods: After applying the exclusion criteria, the study included 513 pelvic X-rays. An automated model was developed in the second stage to identify the iliac wings and obturator foramen. After that, calculations were performed to evaluate the obturator foramen's symmetry using the Dice, Jaccard, and Cosine similarity indices. Finally, the symmetry values determined by the physician and the suggested system were compared statistically. Results: The symmetry values found using the suggested model varied from 0.58 to 0.89. There was no statistically significant difference in the symmetry values of the obturator foramen as determined by the automated approach and the observer physician, as indicated by 3 distinct similarity indices (P=.68, P=.6, and P=.96). Conclusion: The artificial intelligence model successfully evaluated the appropriateness of the pelvic X-ray in terms of obturator foramen symmetry. Level of Evidence: Level III, Diagnostic Study.

Abstract Image

Abstract Image

Abstract Image

标准骨盆正位x线片对称性的定量分析。
目的:骨盆x线检查如果图像获取不正确,可能无法准确完成。在这项研究中,目的是利用人工智能开发一个自动化模型,能够准确量化骨盆正位x光片中闭孔的对称性,并确定其评估的适用性。方法:应用排除标准,纳入513例盆腔x线片。在第二阶段开发了一个自动模型来识别髂翼和闭孔。之后,使用Dice, Jaccard和Cosine相似指数进行计算以评估闭孔的对称性。最后,将医生确定的对称性值与建议的系统进行统计比较。结果:使用建议模型发现的对称性值在0.58到0.89之间变化。3个不同的相似指数表明,自动入路和观察医师确定的闭孔对称值无统计学差异(P=。68, P =。6, P=.96)。结论:人工智能模型成功地评估了骨盆x线片在闭孔对称方面的适当性。证据等级:III级,诊断性研究。
本文章由计算机程序翻译,如有差异,请以英文原文为准。
求助全文
约1分钟内获得全文 求助全文
来源期刊
自引率
0.00%
发文量
0
×
引用
GB/T 7714-2015
复制
MLA
复制
APA
复制
导出至
BibTeX EndNote RefMan NoteFirst NoteExpress
×
提示
您的信息不完整,为了账户安全,请先补充。
现在去补充
×
提示
您因"违规操作"
具体请查看互助需知
我知道了
×
提示
确定
请完成安全验证×
copy
已复制链接
快去分享给好友吧!
我知道了
右上角分享
点击右上角分享
0
联系我们:info@booksci.cn Book学术提供免费学术资源搜索服务,方便国内外学者检索中英文文献。致力于提供最便捷和优质的服务体验。 Copyright © 2023 布克学术 All rights reserved.
京ICP备2023020795号-1
ghs 京公网安备 11010802042870号
Book学术文献互助
Book学术文献互助群
群 号:604180095
Book学术官方微信