Strength of parrot flight feathers is a function of position on the wing.

IF 2 2区 生物学 Q2 ZOOLOGY
Current Zoology Pub Date : 2024-08-07 eCollection Date: 2025-04-01 DOI:10.1093/cz/zoae041
Denis Charles Deeming, Connor J Hutchings, Fern G Seaward, Adrian M Goodman
{"title":"Strength of parrot flight feathers is a function of position on the wing.","authors":"Denis Charles Deeming, Connor J Hutchings, Fern G Seaward, Adrian M Goodman","doi":"10.1093/cz/zoae041","DOIUrl":null,"url":null,"abstract":"<p><p>Powered flight in birds is reliant on feathers forming an aerodynamic surface that resists air pressures. Many basic aspects of feather functionality are unknown, which hampers our understanding of wing function in birds. This study measured the dimensions of primary and secondary flight feathers of 19 species of parrots. The maximum force the feathers could withstand from below was also measured to mimic the pressures experienced during a downstroke. The analysis tested whether: (1) feather dimensions differed along the wing and among secondary and primary remiges; (2) the force that feathers could withstand varied among the remiges; and (3) there would be isometric relationships with body mass for feather characteristics. The results show that body mass significantly affected vane width, rachis thickness, maximum force, and ultimate bending moment, but the relationship for feather length only approached significance. Many of the proximal secondary feathers showed significantly lower values relative to the first primary, whereas for distal primaries the values were greater. There were isometric relationships for force measurements of primary and secondary feathers with body mass, but there was positive allometry for feather lengths and vane widths. The forces feathers can withstand vary along the wing may be a proxy for the aerodynamic properties of the feathers in situ. Broader taxonomic studies that explore these topics are required for other species representing a range of different orders. A better understanding of the functionality of feathers will improve our understanding of how avian flight works particularly considering the variety in flight style and wing shape in birds.</p>","PeriodicalId":50599,"journal":{"name":"Current Zoology","volume":"71 2","pages":"212-222"},"PeriodicalIF":2.0000,"publicationDate":"2024-08-07","publicationTypes":"Journal Article","fieldsOfStudy":null,"isOpenAccess":false,"openAccessPdf":"https://www.ncbi.nlm.nih.gov/pmc/articles/PMC12011481/pdf/","citationCount":"0","resultStr":null,"platform":"Semanticscholar","paperid":null,"PeriodicalName":"Current Zoology","FirstCategoryId":"99","ListUrlMain":"https://doi.org/10.1093/cz/zoae041","RegionNum":2,"RegionCategory":"生物学","ArticlePicture":[],"TitleCN":null,"AbstractTextCN":null,"PMCID":null,"EPubDate":"2025/4/1 0:00:00","PubModel":"eCollection","JCR":"Q2","JCRName":"ZOOLOGY","Score":null,"Total":0}
引用次数: 0

Abstract

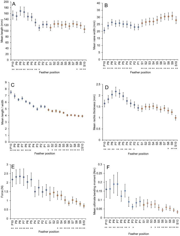
Powered flight in birds is reliant on feathers forming an aerodynamic surface that resists air pressures. Many basic aspects of feather functionality are unknown, which hampers our understanding of wing function in birds. This study measured the dimensions of primary and secondary flight feathers of 19 species of parrots. The maximum force the feathers could withstand from below was also measured to mimic the pressures experienced during a downstroke. The analysis tested whether: (1) feather dimensions differed along the wing and among secondary and primary remiges; (2) the force that feathers could withstand varied among the remiges; and (3) there would be isometric relationships with body mass for feather characteristics. The results show that body mass significantly affected vane width, rachis thickness, maximum force, and ultimate bending moment, but the relationship for feather length only approached significance. Many of the proximal secondary feathers showed significantly lower values relative to the first primary, whereas for distal primaries the values were greater. There were isometric relationships for force measurements of primary and secondary feathers with body mass, but there was positive allometry for feather lengths and vane widths. The forces feathers can withstand vary along the wing may be a proxy for the aerodynamic properties of the feathers in situ. Broader taxonomic studies that explore these topics are required for other species representing a range of different orders. A better understanding of the functionality of feathers will improve our understanding of how avian flight works particularly considering the variety in flight style and wing shape in birds.

Abstract Image

Abstract Image

Abstract Image

鹦鹉飞行羽毛的强度是其在翅膀上位置的函数。
鸟类的动力飞行依赖于羽毛形成的空气动力学表面来抵抗空气压力。羽毛功能的许多基本方面是未知的,这阻碍了我们对鸟类翅膀功能的理解。本研究测量了19种鹦鹉的初级和次级飞行羽毛的尺寸。他们还测量了羽毛所能承受的来自下方的最大压力,以模拟下划时所经历的压力。分析结果表明:(1)羽毛尺寸沿翅方向及次生和原生鸟类之间是否存在差异;(2)羽毛所能承受的力量因迁徙而异;(3)羽毛特征与体重之间存在等长关系。结果表明,体质量对叶片宽度、轴厚、最大力和极限弯矩有显著影响,而对羽毛长度的影响接近显著。许多近端次生羽毛的值明显低于初生羽毛,而远端初生羽毛的值则更高。主羽和次羽力测量值与体质量呈等距关系,而羽长和叶片宽度呈正异速关系。羽毛可以承受的力沿着翅膀变化,这可能是羽毛在原位的空气动力学特性的代表。对于代表一系列不同目的其他物种,需要更广泛的分类学研究来探索这些主题。更好地了解羽毛的功能将提高我们对鸟类飞行如何工作的理解,特别是考虑到鸟类飞行风格和翅膀形状的多样性。
本文章由计算机程序翻译,如有差异,请以英文原文为准。
求助全文
约1分钟内获得全文 求助全文
来源期刊
Current Zoology
Current Zoology Agricultural and Biological Sciences-Animal Science and Zoology
CiteScore
3.20
自引率
9.10%
发文量
111
审稿时长
6 weeks
期刊介绍: About the Journal Current Zoology (formerly Acta Zoologica Sinica, founded in 1935) is an open access, bimonthly, peer-reviewed international journal of zoology. It publishes review articles and research papers in the fields of ecology, evolution and behaviour. Current Zoology is sponsored by Institute of Zoology, Chinese Academy of Sciences, along with the China Zoological Society.
×
引用
GB/T 7714-2015
复制
MLA
复制
APA
复制
导出至
BibTeX EndNote RefMan NoteFirst NoteExpress
×
提示
您的信息不完整,为了账户安全,请先补充。
现在去补充
×
提示
您因"违规操作"
具体请查看互助需知
我知道了
×
提示
确定
请完成安全验证×
copy
已复制链接
快去分享给好友吧!
我知道了
右上角分享
点击右上角分享
0
联系我们:info@booksci.cn Book学术提供免费学术资源搜索服务,方便国内外学者检索中英文文献。致力于提供最便捷和优质的服务体验。 Copyright © 2023 布克学术 All rights reserved.
京ICP备2023020795号-1
ghs 京公网安备 11010802042870号
Book学术文献互助
Book学术文献互助群
群 号:604180095
Book学术官方微信