Putting the health in hidden Markov models: incorporating allostatic load indices into movement ecology analyses.

IF 2.5 3区 环境科学与生态学 Q2 BIODIVERSITY CONSERVATION
Conservation Physiology Pub Date : 2025-04-11 eCollection Date: 2025-01-01 DOI:10.1093/conphys/coaf022
Courtney R Shuert, Marie Auger-Méthé, Karine Béland, Nigel E Hussey, Marion R Desmarchelier, Marianne Marcoux
{"title":"Putting the health in hidden Markov models: incorporating allostatic load indices into movement ecology analyses.","authors":"Courtney R Shuert, Marie Auger-Méthé, Karine Béland, Nigel E Hussey, Marion R Desmarchelier, Marianne Marcoux","doi":"10.1093/conphys/coaf022","DOIUrl":null,"url":null,"abstract":"<p><p>Individual animal health assessments are a key consideration for conservation initiatives. Environmental shifts associated with climate change, such as documented rises in pathogen emergence, predation pressures and human activities, create an increasingly stressful world for many species and have been linked with marked changes in movement behaviour. Even in healthy individuals, variations in allostatic load, the cumulative effects of long-term stress, may alter behavioural priorities over time. Here, we aimed to build links between animal health assessment information and movement ecology, using narwhals in the Canadian Arctic as a case study. A composite stress index was developed to incorporate multiple available health (e.g. health assessments), stress (e.g. hormones) and body condition metrics from clinically healthy individuals, and applied within the framework of widely used hidden Markov modelling of animal movement data. Individuals with a higher composite stress index tended to prioritize behaviours indicative of a stress response, including increasing the probability of transitioning to transiting behaviour as compared to those with a lower stress index. By incorporating a composite stress index that synthesizes multiple health indices in a flexible framework, we highlight that including information indicative of allostatic load may be important in explaining variation in behaviour, even for seemingly healthy animals. The modelling framework presented here highlights a flexible approach to incorporate health assessment information and provides an approach that is widely applicable to existing and future work on a range of species.</p>","PeriodicalId":54331,"journal":{"name":"Conservation Physiology","volume":"13 1","pages":"coaf022"},"PeriodicalIF":2.5000,"publicationDate":"2025-04-11","publicationTypes":"Journal Article","fieldsOfStudy":null,"isOpenAccess":false,"openAccessPdf":"https://www.ncbi.nlm.nih.gov/pmc/articles/PMC11991693/pdf/","citationCount":"0","resultStr":null,"platform":"Semanticscholar","paperid":null,"PeriodicalName":"Conservation Physiology","FirstCategoryId":"93","ListUrlMain":"https://doi.org/10.1093/conphys/coaf022","RegionNum":3,"RegionCategory":"环境科学与生态学","ArticlePicture":[],"TitleCN":null,"AbstractTextCN":null,"PMCID":null,"EPubDate":"2025/1/1 0:00:00","PubModel":"eCollection","JCR":"Q2","JCRName":"BIODIVERSITY CONSERVATION","Score":null,"Total":0}
引用次数: 0

Abstract

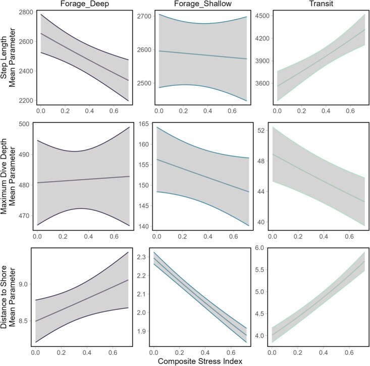
Individual animal health assessments are a key consideration for conservation initiatives. Environmental shifts associated with climate change, such as documented rises in pathogen emergence, predation pressures and human activities, create an increasingly stressful world for many species and have been linked with marked changes in movement behaviour. Even in healthy individuals, variations in allostatic load, the cumulative effects of long-term stress, may alter behavioural priorities over time. Here, we aimed to build links between animal health assessment information and movement ecology, using narwhals in the Canadian Arctic as a case study. A composite stress index was developed to incorporate multiple available health (e.g. health assessments), stress (e.g. hormones) and body condition metrics from clinically healthy individuals, and applied within the framework of widely used hidden Markov modelling of animal movement data. Individuals with a higher composite stress index tended to prioritize behaviours indicative of a stress response, including increasing the probability of transitioning to transiting behaviour as compared to those with a lower stress index. By incorporating a composite stress index that synthesizes multiple health indices in a flexible framework, we highlight that including information indicative of allostatic load may be important in explaining variation in behaviour, even for seemingly healthy animals. The modelling framework presented here highlights a flexible approach to incorporate health assessment information and provides an approach that is widely applicable to existing and future work on a range of species.

Abstract Image

Abstract Image

Abstract Image

将健康纳入隐马尔可夫模型:将适应负荷指标纳入运动生态学分析。
动物个体健康评估是保护倡议的关键考虑因素。与气候变化相关的环境变化,如有记录的病原体出现、捕食压力和人类活动的增加,为许多物种创造了一个日益紧张的世界,并与运动行为的显着变化有关。即使在健康个体中,适应负荷的变化,长期压力的累积效应,也可能随着时间的推移改变行为优先顺序。在这里,我们的目标是建立动物健康评估信息和运动生态学之间的联系,以加拿大北极地区的独角鲸为例进行研究。开发了一个复合压力指数,将临床健康个体的多种可用健康(如健康评估)、压力(如激素)和身体状况指标纳入其中,并在广泛使用的动物运动数据隐马尔可夫建模框架内应用。与压力指数较低的个体相比,复合压力指数较高的个体倾向于优先考虑反映压力反应的行为,包括增加过渡到过渡性行为的可能性。通过在一个灵活的框架中整合综合多种健康指数的复合应激指数,我们强调,包括指示适应负荷的信息在解释行为变化方面可能很重要,即使对看似健康的动物也是如此。这里提出的建模框架突出了一种纳入健康评估信息的灵活方法,并提供了一种广泛适用于一系列物种的现有和未来工作的方法。
本文章由计算机程序翻译,如有差异,请以英文原文为准。
求助全文
约1分钟内获得全文 求助全文
来源期刊
Conservation Physiology
Conservation Physiology Environmental Science-Management, Monitoring, Policy and Law
CiteScore
5.10
自引率
3.70%
发文量
71
审稿时长
11 weeks
期刊介绍: Conservation Physiology is an online only, fully open access journal published on behalf of the Society for Experimental Biology. Biodiversity across the globe faces a growing number of threats associated with human activities. Conservation Physiology will publish research on all taxa (microbes, plants and animals) focused on understanding and predicting how organisms, populations, ecosystems and natural resources respond to environmental change and stressors. Physiology is considered in the broadest possible terms to include functional and mechanistic responses at all scales. We also welcome research towards developing and refining strategies to rebuild populations, restore ecosystems, inform conservation policy, and manage living resources. We define conservation physiology broadly and encourage potential authors to contact the editorial team if they have any questions regarding the remit of the journal.
×
引用
GB/T 7714-2015
复制
MLA
复制
APA
复制
导出至
BibTeX EndNote RefMan NoteFirst NoteExpress
×
提示
您的信息不完整,为了账户安全,请先补充。
现在去补充
×
提示
您因"违规操作"
具体请查看互助需知
我知道了
×
提示
确定
请完成安全验证×
copy
已复制链接
快去分享给好友吧!
我知道了
右上角分享
点击右上角分享
0
联系我们:info@booksci.cn Book学术提供免费学术资源搜索服务,方便国内外学者检索中英文文献。致力于提供最便捷和优质的服务体验。 Copyright © 2023 布克学术 All rights reserved.
京ICP备2023020795号-1
ghs 京公网安备 11010802042870号
Book学术文献互助
Book学术文献互助群
群 号:604180095
Book学术官方微信