Comparison of methods for faecal hormone preservation and analysis in African savanna elephants under field conditions.

IF 2.5 3区 环境科学与生态学 Q2 BIODIVERSITY CONSERVATION
Conservation Physiology Pub Date : 2025-04-23 eCollection Date: 2025-01-01 DOI:10.1093/conphys/coaf026
Daniella E Chusyd, Emily Chester, Tessa Steiniche, Stephanie Dickinson, Bailey Ortyl, Steve Paris, Nicole Boisseau, Michael Wasserman, Janine L Brown
{"title":"Comparison of methods for faecal hormone preservation and analysis in African savanna elephants under field conditions.","authors":"Daniella E Chusyd, Emily Chester, Tessa Steiniche, Stephanie Dickinson, Bailey Ortyl, Steve Paris, Nicole Boisseau, Michael Wasserman, Janine L Brown","doi":"10.1093/conphys/coaf026","DOIUrl":null,"url":null,"abstract":"<p><p>Noninvasive faecal hormone analyses can provide valuable information on the physiological state of wild animals and how they respond to ecological changes or anthropogenic disturbances. However, preservation techniques to prevent hormone alteration can be problematic, and not all are field friendly. We compared five processing methodologies to preserve samples for faecal glucocorticoid, progestagen and thyroid hormone metabolites. Samples were collected from adult zoo Africa savanna elephants (<i>Loxodonta africana)</i> (one male, four females) immediately after defecation. Subsamples were then subjected to five preservation methods: lyophilisation (LYO) (considered the gold standard), dehydration, solid-phase extraction (SPE) and two ethanol extraction methods-with and without being immediately dried down. Faecal glucocorticoid, progestagen and thyroid hormone metabolites were quantified by validated enzyme immunoassays. After 7 days at room temperature (to emulate shipping conditions), faecal glucocorticoid metabolite concentrations were lower for all methods compared to LYO. For thyroid hormone metabolite concentrations, the dehydration process resulted in higher concentrations compared to LYO, whereas with SPE, concentrations were lower. For faecal progestagen metabolite concentrations, there were no discernible differences across methods. Based on these results, we recommend ethanol extraction followed by immediate sample desiccation, a method that combines technical simplicity with the advantage of ambient temperature sample storage and transportation. Nevertheless, each investigator should consider the best method for the research question, field conditions, budget, equipment accessibility and shipping requirements, especially as results can vary by species and assay used. With growing interest in assessing animal welfare, validating field methods for noninvasive hormone monitoring is essential.</p>","PeriodicalId":54331,"journal":{"name":"Conservation Physiology","volume":"13 1","pages":"coaf026"},"PeriodicalIF":2.5000,"publicationDate":"2025-04-23","publicationTypes":"Journal Article","fieldsOfStudy":null,"isOpenAccess":false,"openAccessPdf":"https://www.ncbi.nlm.nih.gov/pmc/articles/PMC12060003/pdf/","citationCount":"0","resultStr":null,"platform":"Semanticscholar","paperid":null,"PeriodicalName":"Conservation Physiology","FirstCategoryId":"93","ListUrlMain":"https://doi.org/10.1093/conphys/coaf026","RegionNum":3,"RegionCategory":"环境科学与生态学","ArticlePicture":[],"TitleCN":null,"AbstractTextCN":null,"PMCID":null,"EPubDate":"2025/1/1 0:00:00","PubModel":"eCollection","JCR":"Q2","JCRName":"BIODIVERSITY CONSERVATION","Score":null,"Total":0}
引用次数: 0

Abstract

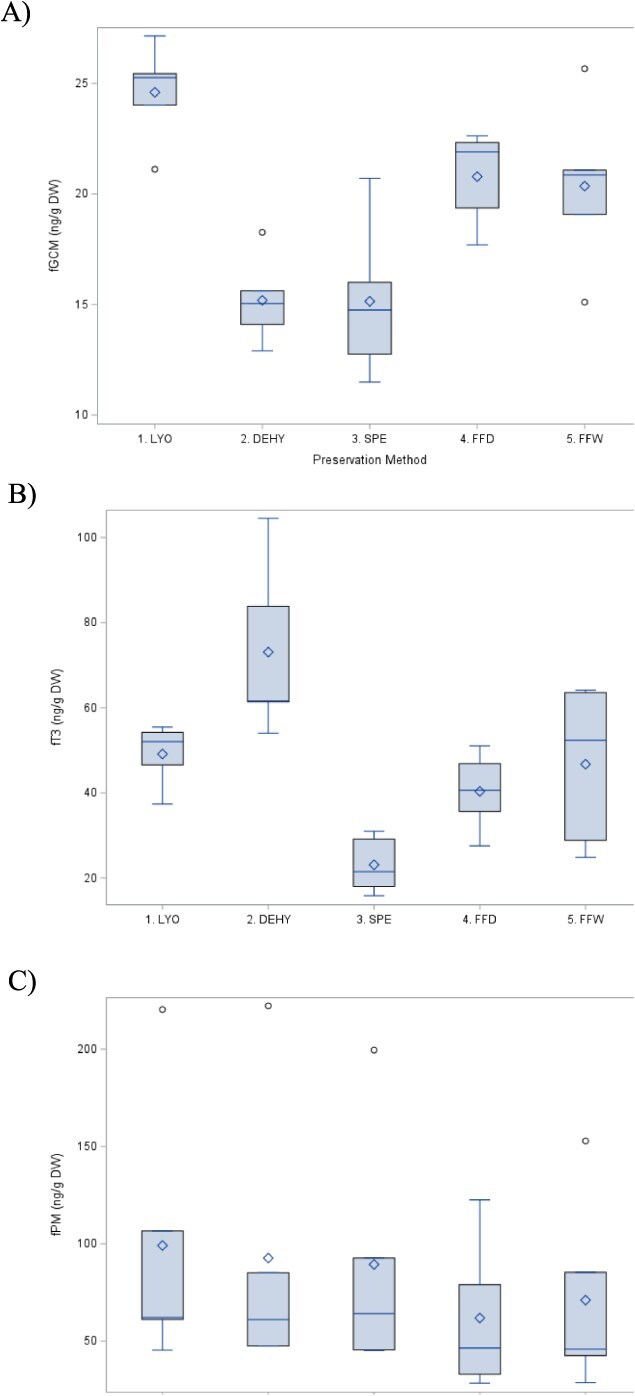
Noninvasive faecal hormone analyses can provide valuable information on the physiological state of wild animals and how they respond to ecological changes or anthropogenic disturbances. However, preservation techniques to prevent hormone alteration can be problematic, and not all are field friendly. We compared five processing methodologies to preserve samples for faecal glucocorticoid, progestagen and thyroid hormone metabolites. Samples were collected from adult zoo Africa savanna elephants (Loxodonta africana) (one male, four females) immediately after defecation. Subsamples were then subjected to five preservation methods: lyophilisation (LYO) (considered the gold standard), dehydration, solid-phase extraction (SPE) and two ethanol extraction methods-with and without being immediately dried down. Faecal glucocorticoid, progestagen and thyroid hormone metabolites were quantified by validated enzyme immunoassays. After 7 days at room temperature (to emulate shipping conditions), faecal glucocorticoid metabolite concentrations were lower for all methods compared to LYO. For thyroid hormone metabolite concentrations, the dehydration process resulted in higher concentrations compared to LYO, whereas with SPE, concentrations were lower. For faecal progestagen metabolite concentrations, there were no discernible differences across methods. Based on these results, we recommend ethanol extraction followed by immediate sample desiccation, a method that combines technical simplicity with the advantage of ambient temperature sample storage and transportation. Nevertheless, each investigator should consider the best method for the research question, field conditions, budget, equipment accessibility and shipping requirements, especially as results can vary by species and assay used. With growing interest in assessing animal welfare, validating field methods for noninvasive hormone monitoring is essential.

Abstract Image

Abstract Image

Abstract Image

野外条件下非洲草原象粪便激素保存与分析方法的比较。
无创粪便激素分析可以为野生动物的生理状态以及它们对生态变化或人为干扰的反应提供有价值的信息。然而,防止激素改变的保存技术可能存在问题,而且并非所有技术都适合实地使用。我们比较了保存粪便糖皮质激素、孕激素和甲状腺激素代谢物样品的五种处理方法。从成年动物园非洲热带草原象(Loxodonta africana)(1公4母)排便后立即采集样本。然后,亚样品采用五种保存方法:冻干(LYO)(被认为是金标准)、脱水、固相萃取(SPE)和两种乙醇萃取方法——有或没有立即干燥。粪便糖皮质激素、孕激素和甲状腺激素代谢物通过验证的酶免疫分析法定量。在室温下(模拟运输条件)7天后,与LYO相比,所有方法的粪便糖皮质激素代谢物浓度都较低。对于甲状腺激素代谢物浓度,脱水过程导致的浓度高于LYO,而SPE的浓度较低。对于粪便孕激素代谢物浓度,不同方法之间没有明显差异。基于这些结果,我们推荐乙醇提取,然后立即将样品干燥,这种方法结合了技术简单和常温样品储存和运输的优势。然而,每个研究者都应该考虑研究问题的最佳方法、现场条件、预算、设备可及性和运输要求,特别是因为结果可能因物种和使用的测定而异。随着人们对评估动物福利的兴趣日益浓厚,验证非侵入性激素监测的现场方法至关重要。
本文章由计算机程序翻译,如有差异,请以英文原文为准。
求助全文
约1分钟内获得全文 求助全文
来源期刊
Conservation Physiology
Conservation Physiology Environmental Science-Management, Monitoring, Policy and Law
CiteScore
5.10
自引率
3.70%
发文量
71
审稿时长
11 weeks
期刊介绍: Conservation Physiology is an online only, fully open access journal published on behalf of the Society for Experimental Biology. Biodiversity across the globe faces a growing number of threats associated with human activities. Conservation Physiology will publish research on all taxa (microbes, plants and animals) focused on understanding and predicting how organisms, populations, ecosystems and natural resources respond to environmental change and stressors. Physiology is considered in the broadest possible terms to include functional and mechanistic responses at all scales. We also welcome research towards developing and refining strategies to rebuild populations, restore ecosystems, inform conservation policy, and manage living resources. We define conservation physiology broadly and encourage potential authors to contact the editorial team if they have any questions regarding the remit of the journal.
×
引用
GB/T 7714-2015
复制
MLA
复制
APA
复制
导出至
BibTeX EndNote RefMan NoteFirst NoteExpress
×
提示
您的信息不完整,为了账户安全,请先补充。
现在去补充
×
提示
您因"违规操作"
具体请查看互助需知
我知道了
×
提示
确定
请完成安全验证×
copy
已复制链接
快去分享给好友吧!
我知道了
右上角分享
点击右上角分享
0
联系我们:info@booksci.cn Book学术提供免费学术资源搜索服务,方便国内外学者检索中英文文献。致力于提供最便捷和优质的服务体验。 Copyright © 2023 布克学术 All rights reserved.
京ICP备2023020795号-1
ghs 京公网安备 11010802042870号
Book学术文献互助
Book学术文献互助群
群 号:604180095
Book学术官方微信