Effects of home-based integrated sensory stimulation program to preterm infants on parents' depression and anxiety: a randomized controlled trial.

IF 2.6 3区 医学 Q2 PUBLIC, ENVIRONMENTAL & OCCUPATIONAL HEALTH
Global Health Action Pub Date : 2025-12-01 Epub Date: 2025-05-02 DOI:10.1080/16549716.2025.2491848
Wenjing Zheng, Rassamee Chotipanvithayakul, Thammasin Ingviya, Fang Guo
{"title":"Effects of home-based integrated sensory stimulation program to preterm infants on parents' depression and anxiety: a randomized controlled trial.","authors":"Wenjing Zheng, Rassamee Chotipanvithayakul, Thammasin Ingviya, Fang Guo","doi":"10.1080/16549716.2025.2491848","DOIUrl":null,"url":null,"abstract":"<p><strong>Background: </strong>Preterm parents face higher risks of postpartum depression and anxiety, affecting bonding and infant development. Sensory stimulation shows promise, but its long-term impact on parental mental health needs further study.</p><p><strong>Objectives: </strong>This study aimed to evaluate whether a home-based integrated sensory stimulation program, administered to preterm infants by their parents, could alleviate parental mental health issues and enhance maternal bonding and parenting competence.</p><p><strong>Methods: </strong>The program, including tactile, auditory, visual, gustatory, and olfactory stimuli, was assessed in a block-randomized controlled trial from November 2018 to January 2020. A total of 200 parents of preterm infants were recruited, and the intervention continued at home until the infants reached six months corrected age. Parents' depression and anxiety were assessed using validated scales at baseline, and at first, third, and sixth month follow-ups.</p><p><strong>Results: </strong>The intervention group included 98 parents, and the control group comprised 102 parents. At the six-month follow-up, the intervention group demonstrated significant improvements in maternal depression, state anxiety, and trait anxiety compared to the control group. In the mixed linear model, the intervention was associated with reductions in maternal trait anxiety (d =-2.18; 95% CI: -4.30, -0.06), paternal trait anxiety (d =-3.37; 95% CI: -5.62, -1.11) and state anxiety (d =-4.63; 95% CI: -7.00, -2.26).</p><p><strong>Conclusion: </strong>The home-based integrated sensory stimulation program, when provided by parents to preterm infants, was effective in improving parents' mental health and can serve as an alternative treatment for postpartum depression and anxiety in parents of preterm infants at home.</p>","PeriodicalId":49197,"journal":{"name":"Global Health Action","volume":"18 1","pages":"2491848"},"PeriodicalIF":2.6000,"publicationDate":"2025-12-01","publicationTypes":"Journal Article","fieldsOfStudy":null,"isOpenAccess":false,"openAccessPdf":"https://www.ncbi.nlm.nih.gov/pmc/articles/PMC12051557/pdf/","citationCount":"0","resultStr":null,"platform":"Semanticscholar","paperid":null,"PeriodicalName":"Global Health Action","FirstCategoryId":"3","ListUrlMain":"https://doi.org/10.1080/16549716.2025.2491848","RegionNum":3,"RegionCategory":"医学","ArticlePicture":[],"TitleCN":null,"AbstractTextCN":null,"PMCID":null,"EPubDate":"2025/5/2 0:00:00","PubModel":"Epub","JCR":"Q2","JCRName":"PUBLIC, ENVIRONMENTAL & OCCUPATIONAL HEALTH","Score":null,"Total":0}
引用次数: 0

Abstract

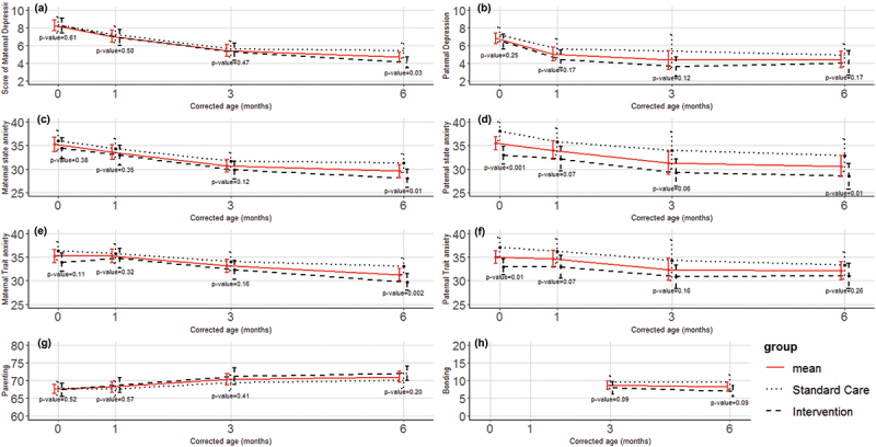
Background: Preterm parents face higher risks of postpartum depression and anxiety, affecting bonding and infant development. Sensory stimulation shows promise, but its long-term impact on parental mental health needs further study.

Objectives: This study aimed to evaluate whether a home-based integrated sensory stimulation program, administered to preterm infants by their parents, could alleviate parental mental health issues and enhance maternal bonding and parenting competence.

Methods: The program, including tactile, auditory, visual, gustatory, and olfactory stimuli, was assessed in a block-randomized controlled trial from November 2018 to January 2020. A total of 200 parents of preterm infants were recruited, and the intervention continued at home until the infants reached six months corrected age. Parents' depression and anxiety were assessed using validated scales at baseline, and at first, third, and sixth month follow-ups.

Results: The intervention group included 98 parents, and the control group comprised 102 parents. At the six-month follow-up, the intervention group demonstrated significant improvements in maternal depression, state anxiety, and trait anxiety compared to the control group. In the mixed linear model, the intervention was associated with reductions in maternal trait anxiety (d =-2.18; 95% CI: -4.30, -0.06), paternal trait anxiety (d =-3.37; 95% CI: -5.62, -1.11) and state anxiety (d =-4.63; 95% CI: -7.00, -2.26).

Conclusion: The home-based integrated sensory stimulation program, when provided by parents to preterm infants, was effective in improving parents' mental health and can serve as an alternative treatment for postpartum depression and anxiety in parents of preterm infants at home.

Abstract Image

Abstract Image

Abstract Image

家庭综合感觉刺激对早产儿父母抑郁和焦虑的影响:一项随机对照试验。
背景:早产父母产后抑郁和焦虑的风险较高,影响亲子关系和婴儿发育。感官刺激显示出希望,但其对父母心理健康的长期影响需要进一步研究。目的:本研究旨在评估父母对早产儿实施家庭综合感觉刺激是否能缓解父母心理健康问题,提高母亲关系和育儿能力。方法:在2018年11月至2020年1月的一项区域随机对照试验中,对包括触觉、听觉、视觉、味觉和嗅觉刺激的项目进行评估。总共招募了200名早产儿的父母,并在家中进行干预,直到婴儿达到6个月的矫正年龄。父母的抑郁和焦虑在基线、第一个月、第三个月和第六个月的随访中使用有效的量表进行评估。结果:干预组98名家长,对照组102名家长。在六个月的随访中,与对照组相比,干预组在母亲抑郁、状态焦虑和特质焦虑方面表现出显著改善。在混合线性模型中,干预与母亲特质焦虑的减少有关(d =-2.18;95% CI: -4.30, -0.06),父亲特质焦虑(d =-3.37;95% CI: -5.62, -1.11)和状态焦虑(d =-4.63;95% ci: -7.00, -2.26)。结论:父母对早产儿实施家庭综合感觉刺激治疗可有效改善父母的心理健康状况,可作为家中早产儿父母产后抑郁和焦虑的一种替代治疗方法。
本文章由计算机程序翻译,如有差异,请以英文原文为准。
求助全文
约1分钟内获得全文 求助全文
来源期刊
Global Health Action
Global Health Action PUBLIC, ENVIRONMENTAL & OCCUPATIONAL HEALTH-
CiteScore
5.10
自引率
3.80%
发文量
108
审稿时长
16 weeks
期刊介绍: Global Health Action is an international peer-reviewed Open Access journal affiliated with the Unit of Epidemiology and Global Health, Department of Public Health and Clinical Medicine at Umeå University, Sweden. The Unit hosts the Umeå International School of Public Health and the Umeå Centre for Global Health Research. Vision: Our vision is to be a leading journal in the global health field, narrowing health information gaps and contributing to the implementation of policies and actions that lead to improved global health. Aim: The widening gap between the winners and losers of globalisation presents major public health challenges. To meet these challenges, it is crucial to generate new knowledge and evidence in the field and in settings where the evidence is lacking, as well as to bridge the gaps between existing knowledge and implementation of relevant findings. Thus, the aim of Global Health Action is to contribute to fuelling a more concrete, hands-on approach to addressing global health challenges. Manuscripts suggesting strategies for practical interventions and research implementations where none already exist are specifically welcomed. Further, the journal encourages articles from low- and middle-income countries, while also welcoming articles originated from South-South and South-North collaborations. All articles are expected to address a global agenda and include a strong implementation or policy component.
×
引用
GB/T 7714-2015
复制
MLA
复制
APA
复制
导出至
BibTeX EndNote RefMan NoteFirst NoteExpress
×
提示
您的信息不完整,为了账户安全,请先补充。
现在去补充
×
提示
您因"违规操作"
具体请查看互助需知
我知道了
×
提示
确定
请完成安全验证×
copy
已复制链接
快去分享给好友吧!
我知道了
右上角分享
点击右上角分享
0
联系我们:info@booksci.cn Book学术提供免费学术资源搜索服务,方便国内外学者检索中英文文献。致力于提供最便捷和优质的服务体验。 Copyright © 2023 布克学术 All rights reserved.
京ICP备2023020795号-1
ghs 京公网安备 11010802042870号
Book学术文献互助
Book学术文献互助群
群 号:604180095
Book学术官方微信