PSYSCAN multi-centre study: baseline characteristics and clinical outcomes of the clinical high risk for psychosis sample.

IF 4.1 Q2 PSYCHIATRY
Stefania Tognin, Sandra Vieira, Dominic Oliver, Alexis E Cullen, Mathew J Kempton, Paolo Fusar-Poli, Andrea Mechelli, Paola Dazzan, Kate Merritt, Arija Maat, Lieuwe de Haan, Stephen M Lawrie, Thérèse van Amelsvoort, Celso Arango, Barnaby Nelson, Silvana Galderisi, Rodrigo Bressan, Jun Soo Kwon, Romina Mizrahi, Rene S Kahn, Philip McGuire
{"title":"PSYSCAN multi-centre study: baseline characteristics and clinical outcomes of the clinical high risk for psychosis sample.","authors":"Stefania Tognin, Sandra Vieira, Dominic Oliver, Alexis E Cullen, Mathew J Kempton, Paolo Fusar-Poli, Andrea Mechelli, Paola Dazzan, Kate Merritt, Arija Maat, Lieuwe de Haan, Stephen M Lawrie, Thérèse van Amelsvoort, Celso Arango, Barnaby Nelson, Silvana Galderisi, Rodrigo Bressan, Jun Soo Kwon, Romina Mizrahi, Rene S Kahn, Philip McGuire","doi":"10.1038/s41537-025-00598-x","DOIUrl":null,"url":null,"abstract":"<p><p>Predicting outcomes in individuals at clinical high risk (CHR) of developing psychosis remains challenging using clinical metrics alone. The PSYSCAN project aimed to enhance predictive value by integrating data across clinical, environmental, neuroimaging, cognitive, and peripheral blood biomarkers. PSYSCAN employed a naturalistic, prospective design across 12 sites (Europe, Australia, Asia, Americas). Assessments were conducted at baseline, 3, 6, and 12 months, with follow-ups at 18 and 24 months to evaluate clinical and functional outcomes. The study included 238 CHR individuals and 134 healthy controls (HC). At baseline, CHR and HC groups differed significantly in age, education, IQ, and vocational and relationship status. Cannabis and tobacco use did not significantly differ between groups, however CHR individuals had higher proportion of moderate to high risk of tobacco abuse. A substantial portion of the CHR sample met DSM criteria for anxiety (53.4%) and/or mood disorders (52.9%), with some prescribed antidepressants (38.7%), antipsychotics (13.9%), or benzodiazepines (16.4%). Over the follow-up period, 25 CHR individuals (10.5%) transitioned to psychosis. However, the CHR group as a whole showed improvements in functioning and attenuated psychotic symptoms. Similar to other recent multi-centre studies, the CHR cohort exhibits high comorbidity rates and relatively low psychosis transition rates. These findings highlight the clinical heterogeneity within CHR populations and suggest that outcomes extend beyond psychosis onset, reinforcing the need for broader prognostic models that consider functional and transdiagnostic outcomes.</p>","PeriodicalId":74758,"journal":{"name":"Schizophrenia (Heidelberg, Germany)","volume":"11 1","pages":"66"},"PeriodicalIF":4.1000,"publicationDate":"2025-04-17","publicationTypes":"Journal Article","fieldsOfStudy":null,"isOpenAccess":false,"openAccessPdf":"https://www.ncbi.nlm.nih.gov/pmc/articles/PMC12006469/pdf/","citationCount":"0","resultStr":null,"platform":"Semanticscholar","paperid":null,"PeriodicalName":"Schizophrenia (Heidelberg, Germany)","FirstCategoryId":"1085","ListUrlMain":"https://doi.org/10.1038/s41537-025-00598-x","RegionNum":0,"RegionCategory":null,"ArticlePicture":[],"TitleCN":null,"AbstractTextCN":null,"PMCID":null,"EPubDate":"","PubModel":"","JCR":"Q2","JCRName":"PSYCHIATRY","Score":null,"Total":0}
引用次数: 0

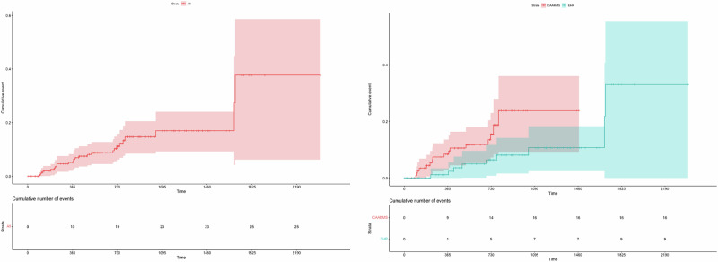
Abstract

Predicting outcomes in individuals at clinical high risk (CHR) of developing psychosis remains challenging using clinical metrics alone. The PSYSCAN project aimed to enhance predictive value by integrating data across clinical, environmental, neuroimaging, cognitive, and peripheral blood biomarkers. PSYSCAN employed a naturalistic, prospective design across 12 sites (Europe, Australia, Asia, Americas). Assessments were conducted at baseline, 3, 6, and 12 months, with follow-ups at 18 and 24 months to evaluate clinical and functional outcomes. The study included 238 CHR individuals and 134 healthy controls (HC). At baseline, CHR and HC groups differed significantly in age, education, IQ, and vocational and relationship status. Cannabis and tobacco use did not significantly differ between groups, however CHR individuals had higher proportion of moderate to high risk of tobacco abuse. A substantial portion of the CHR sample met DSM criteria for anxiety (53.4%) and/or mood disorders (52.9%), with some prescribed antidepressants (38.7%), antipsychotics (13.9%), or benzodiazepines (16.4%). Over the follow-up period, 25 CHR individuals (10.5%) transitioned to psychosis. However, the CHR group as a whole showed improvements in functioning and attenuated psychotic symptoms. Similar to other recent multi-centre studies, the CHR cohort exhibits high comorbidity rates and relatively low psychosis transition rates. These findings highlight the clinical heterogeneity within CHR populations and suggest that outcomes extend beyond psychosis onset, reinforcing the need for broader prognostic models that consider functional and transdiagnostic outcomes.

Abstract Image

Abstract Image

Abstract Image

PSYSCAN多中心研究:精神病临床高危样本的基线特征和临床结果。
仅使用临床指标预测临床高风险(CHR)发展为精神病的个体的预后仍然具有挑战性。PSYSCAN项目旨在通过整合临床、环境、神经成像、认知和外周血生物标志物的数据来提高预测价值。PSYSCAN在12个地点(欧洲、澳大利亚、亚洲、美洲)采用了自然主义的前瞻性设计。在基线、3个月、6个月和12个月进行评估,并在18个月和24个月随访以评估临床和功能结果。本研究纳入238例CHR个体和134例健康对照(HC)。在基线时,CHR组和HC组在年龄、教育程度、智商、职业和关系状况方面存在显著差异。大麻和烟草的使用在组间没有显著差异,但CHR个体有较高比例的中度至高风险烟草滥用。相当一部分CHR样本符合DSM焦虑(53.4%)和/或情绪障碍(52.9%)的标准,还有一些处方抗抑郁药(38.7%)、抗精神病药(13.9%)或苯二氮卓类药物(16.4%)。在随访期间,25名CHR患者(10.5%)转变为精神病。然而,CHR组整体表现出功能改善和精神病症状减轻。与其他最近的多中心研究类似,CHR队列显示出较高的合并症发生率和相对较低的精神病转化率。这些发现突出了CHR人群的临床异质性,并表明结果超出了精神病发作,因此需要考虑功能和跨诊断结果的更广泛的预后模型。
本文章由计算机程序翻译,如有差异,请以英文原文为准。
求助全文
约1分钟内获得全文 求助全文
来源期刊
自引率
0.00%
发文量
0
×
引用
GB/T 7714-2015
复制
MLA
复制
APA
复制
导出至
BibTeX EndNote RefMan NoteFirst NoteExpress
×
提示
您的信息不完整,为了账户安全,请先补充。
现在去补充
×
提示
您因"违规操作"
具体请查看互助需知
我知道了
×
提示
确定
请完成安全验证×
copy
已复制链接
快去分享给好友吧!
我知道了
右上角分享
点击右上角分享
0
联系我们:info@booksci.cn Book学术提供免费学术资源搜索服务,方便国内外学者检索中英文文献。致力于提供最便捷和优质的服务体验。 Copyright © 2023 布克学术 All rights reserved.
京ICP备2023020795号-1
ghs 京公网安备 11010802042870号
Book学术文献互助
Book学术文献互助群
群 号:604180095
Book学术官方微信