Global burden of asthma among children and adolescents with projections to 2050: a comprehensive review and forecasted modeling study.

IF 3.6 Q1 PEDIATRICS
Clinical and Experimental Pediatrics Pub Date : 2025-05-01 Epub Date: 2025-04-22 DOI:10.3345/cep.2025.00423
Tae Hyeon Kim, Hyunjee Kim, Jiyeon Oh, Soeun Kim, Michael Miligkos, Dong Keon Yon, Nikolaos G Papadopoulos
{"title":"Global burden of asthma among children and adolescents with projections to 2050: a comprehensive review and forecasted modeling study.","authors":"Tae Hyeon Kim, Hyunjee Kim, Jiyeon Oh, Soeun Kim, Michael Miligkos, Dong Keon Yon, Nikolaos G Papadopoulos","doi":"10.3345/cep.2025.00423","DOIUrl":null,"url":null,"abstract":"<p><p>Understanding pediatric asthma is crucial to its effective diagnosis and intervention, as it may alleviate the adulthood disease burden. This epidemiological review describes the prevalence of asthma among individuals under 20 years of age by categorizing them into 3 age groups: 1-4, 5-9, and 10-19 years. Estimates were obtained from the Global Burden of Diseases, Injuries, and Risk Factors Study (GBD) 2021, which covered the prevalence of asthma from 1990 to 2021 across 21 GBD regions with 95% uncertainty intervals (UIs). We also projected the prevalence of pediatric asthma in 2050 by using a logistic regression predictive model from the existing literature and incorporating body mass index as a covariate with fixed coefficients over time. Overall, a continuous decline in asthma prevalence rates among children and adolescents was observed from 1990 to 2021, with higher rates in males and a peak prevalence rate in the 5-9 years group. Central Europe showed significantly increased prevalence rates compared to those of other regions. Our projection suggests that the prevalence rate of pediatric asthma will decline to approximately 2,608.05 per 100,000 population by 2050 (95% UI, 1,632.94-3,868.26), representing a 39.5% decrease from the 2021 figures. Despite these trends, asthma remains a substantial health burden for children and adolescents that may persist into adulthood. Therefore, proactive diagnosis and intervention are essential to mitigating the associated disease burden.</p>","PeriodicalId":36018,"journal":{"name":"Clinical and Experimental Pediatrics","volume":"68 5","pages":"329-343"},"PeriodicalIF":3.6000,"publicationDate":"2025-05-01","publicationTypes":"Journal Article","fieldsOfStudy":null,"isOpenAccess":false,"openAccessPdf":"https://www.ncbi.nlm.nih.gov/pmc/articles/PMC12062390/pdf/","citationCount":"0","resultStr":null,"platform":"Semanticscholar","paperid":null,"PeriodicalName":"Clinical and Experimental Pediatrics","FirstCategoryId":"1085","ListUrlMain":"https://doi.org/10.3345/cep.2025.00423","RegionNum":0,"RegionCategory":null,"ArticlePicture":[],"TitleCN":null,"AbstractTextCN":null,"PMCID":null,"EPubDate":"2025/4/22 0:00:00","PubModel":"Epub","JCR":"Q1","JCRName":"PEDIATRICS","Score":null,"Total":0}
引用次数: 0

Abstract

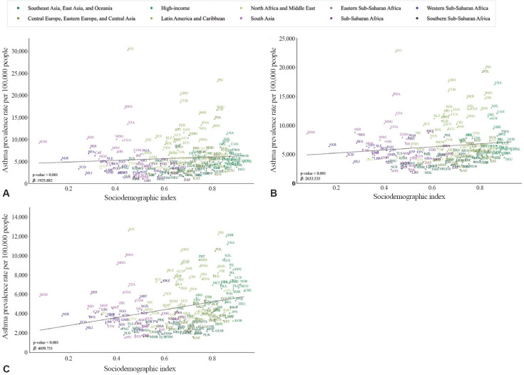
Understanding pediatric asthma is crucial to its effective diagnosis and intervention, as it may alleviate the adulthood disease burden. This epidemiological review describes the prevalence of asthma among individuals under 20 years of age by categorizing them into 3 age groups: 1-4, 5-9, and 10-19 years. Estimates were obtained from the Global Burden of Diseases, Injuries, and Risk Factors Study (GBD) 2021, which covered the prevalence of asthma from 1990 to 2021 across 21 GBD regions with 95% uncertainty intervals (UIs). We also projected the prevalence of pediatric asthma in 2050 by using a logistic regression predictive model from the existing literature and incorporating body mass index as a covariate with fixed coefficients over time. Overall, a continuous decline in asthma prevalence rates among children and adolescents was observed from 1990 to 2021, with higher rates in males and a peak prevalence rate in the 5-9 years group. Central Europe showed significantly increased prevalence rates compared to those of other regions. Our projection suggests that the prevalence rate of pediatric asthma will decline to approximately 2,608.05 per 100,000 population by 2050 (95% UI, 1,632.94-3,868.26), representing a 39.5% decrease from the 2021 figures. Despite these trends, asthma remains a substantial health burden for children and adolescents that may persist into adulthood. Therefore, proactive diagnosis and intervention are essential to mitigating the associated disease burden.

Abstract Image

Abstract Image

Abstract Image

到2050年全球儿童和青少年哮喘负担预测:一项综合回顾和预测模型研究。
了解儿童哮喘对其有效诊断和干预至关重要,因为它可以减轻成人的疾病负担。本流行病学综述描述了20岁以下个体的哮喘患病率,并将其分为3个年龄组:1-4岁、5-9岁和10-19岁。估计数据来自2021年全球疾病、伤害和风险因素负担研究(GBD),该研究涵盖了1990年至2021年21个GBD地区的哮喘患病率,不确定性区间(UIs)为95%。我们还通过使用现有文献中的逻辑回归预测模型,并将体重指数作为随时间固定系数的协变量,预测了2050年儿童哮喘的患病率。总体而言,从1990年到2021年,观察到儿童和青少年哮喘患病率持续下降,男性患病率较高,5-9岁年龄组患病率最高。与其他地区相比,中欧的患病率明显增加。我们的预测表明,到2050年,儿童哮喘患病率将下降到每10万人约2,608.05人(95% UI, 1,632.94-3,868.26),比2021年的数字下降39.5%。尽管有这些趋势,哮喘仍然是儿童和青少年的重大健康负担,并可能持续到成年。因此,主动诊断和干预对于减轻相关疾病负担至关重要。
本文章由计算机程序翻译,如有差异,请以英文原文为准。
求助全文
约1分钟内获得全文 求助全文
来源期刊
CiteScore
8.00
自引率
2.40%
发文量
88
审稿时长
60 weeks
×
引用
GB/T 7714-2015
复制
MLA
复制
APA
复制
导出至
BibTeX EndNote RefMan NoteFirst NoteExpress
×
提示
您的信息不完整,为了账户安全,请先补充。
现在去补充
×
提示
您因"违规操作"
具体请查看互助需知
我知道了
×
提示
确定
请完成安全验证×
copy
已复制链接
快去分享给好友吧!
我知道了
右上角分享
点击右上角分享
0
联系我们:info@booksci.cn Book学术提供免费学术资源搜索服务,方便国内外学者检索中英文文献。致力于提供最便捷和优质的服务体验。 Copyright © 2023 布克学术 All rights reserved.
京ICP备2023020795号-1
ghs 京公网安备 11010802042870号
Book学术文献互助
Book学术文献互助群
群 号:604180095
Book学术官方微信