The Role of GPX1 (rs1050450) Variants in Ovarian Cancer Susceptibility Within a Turkish Population.

IF 2.6 4区 医学 Q3 ONCOLOGY
Cancer Control Pub Date : 2025-01-01 Epub Date: 2025-04-14 DOI:10.1177/10732748251332441
Baker Alsheikh, Rukset Attar, Seda Güleç Yilmaz, Sara Yaser Barham, Selvi Duman Bakırezer
{"title":"The Role of GPX1 (rs1050450) Variants in Ovarian Cancer Susceptibility Within a Turkish Population.","authors":"Baker Alsheikh, Rukset Attar, Seda Güleç Yilmaz, Sara Yaser Barham, Selvi Duman Bakırezer","doi":"10.1177/10732748251332441","DOIUrl":null,"url":null,"abstract":"<p><p>IntroductionOvarian cancer (OC) remains one of the most lethal gynecological malignancies, primarily due to challenges in early detection and the consequent poor prognosis. Genetic predisposition plays a critical role in OC development, with the Glutathione Peroxidase 1 (GPX1) gene receiving increasing attention. The GPX1 gene polymorphism rs1050450 has been implicated in various cancers, potentially through its impact on oxidative stress mechanisms.ObjectiveThis study aimed to investigate the association between the GPX1 (rs1050450) polymorphism and the risk of developing OC in a Turkish population.MethodsA retrospective case-control study was conducted involving 90 women diagnosed with OC and 90 healthy controls. Genotyping of the GPX1 (rs1050450) polymorphism was performed using real-time PCR (RT-PCR). Statistical analyses were conducted using the SPSS software, with chi-square and t-tests applied where appropriate.ResultsThe CC genotype of the GPX1 (rs1050450) polymorphism was significantly associated with a reduced risk of OC (<i>P</i> = 0.002; OR = 0.304; 95% CI = 0.161-0.577), whereas the TT genotype was linked to an increased risk, demonstrating a threefold elevation in susceptibility (<i>P</i> = 0.036; OR = 3.308; 95% CI = 1.024-10.682). Additionally, the T allele was associated with an approximately threefold increased risk of developing OC (<i>P</i> = 0.0002).ConclusionThese findings suggest that the GPX1 (rs1050450) polymorphism may play a significant role in OC susceptibility, with the CC genotype offering potential protective effects and the TT genotype indicating increased risk. This genetic variant may serve as a useful marker for assessing OC risk; however, further studies involving larger and more diverse populations are needed to validate these results.</p>","PeriodicalId":49093,"journal":{"name":"Cancer Control","volume":"32 ","pages":"10732748251332441"},"PeriodicalIF":2.6000,"publicationDate":"2025-01-01","publicationTypes":"Journal Article","fieldsOfStudy":null,"isOpenAccess":false,"openAccessPdf":"https://www.ncbi.nlm.nih.gov/pmc/articles/PMC12033509/pdf/","citationCount":"0","resultStr":null,"platform":"Semanticscholar","paperid":null,"PeriodicalName":"Cancer Control","FirstCategoryId":"3","ListUrlMain":"https://doi.org/10.1177/10732748251332441","RegionNum":4,"RegionCategory":"医学","ArticlePicture":[],"TitleCN":null,"AbstractTextCN":null,"PMCID":null,"EPubDate":"2025/4/14 0:00:00","PubModel":"Epub","JCR":"Q3","JCRName":"ONCOLOGY","Score":null,"Total":0}
引用次数: 0

Abstract

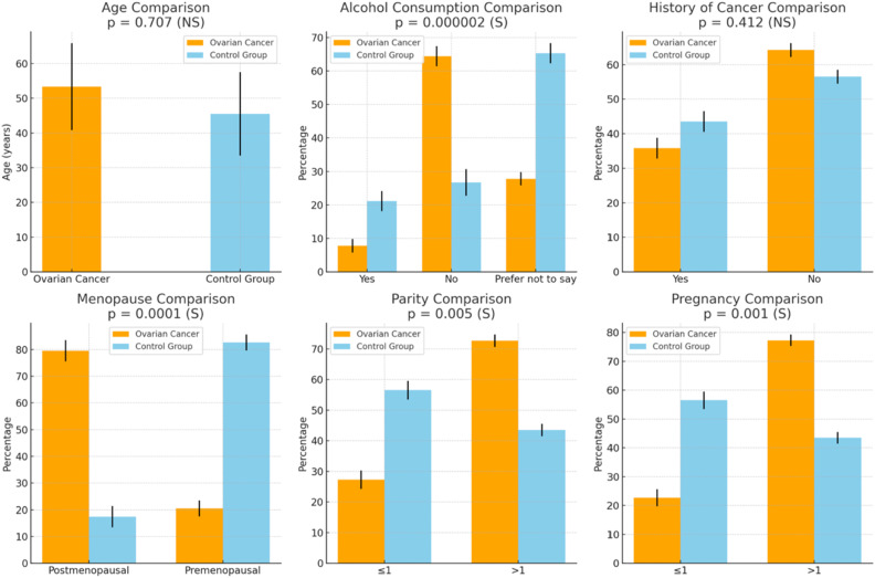
IntroductionOvarian cancer (OC) remains one of the most lethal gynecological malignancies, primarily due to challenges in early detection and the consequent poor prognosis. Genetic predisposition plays a critical role in OC development, with the Glutathione Peroxidase 1 (GPX1) gene receiving increasing attention. The GPX1 gene polymorphism rs1050450 has been implicated in various cancers, potentially through its impact on oxidative stress mechanisms.ObjectiveThis study aimed to investigate the association between the GPX1 (rs1050450) polymorphism and the risk of developing OC in a Turkish population.MethodsA retrospective case-control study was conducted involving 90 women diagnosed with OC and 90 healthy controls. Genotyping of the GPX1 (rs1050450) polymorphism was performed using real-time PCR (RT-PCR). Statistical analyses were conducted using the SPSS software, with chi-square and t-tests applied where appropriate.ResultsThe CC genotype of the GPX1 (rs1050450) polymorphism was significantly associated with a reduced risk of OC (P = 0.002; OR = 0.304; 95% CI = 0.161-0.577), whereas the TT genotype was linked to an increased risk, demonstrating a threefold elevation in susceptibility (P = 0.036; OR = 3.308; 95% CI = 1.024-10.682). Additionally, the T allele was associated with an approximately threefold increased risk of developing OC (P = 0.0002).ConclusionThese findings suggest that the GPX1 (rs1050450) polymorphism may play a significant role in OC susceptibility, with the CC genotype offering potential protective effects and the TT genotype indicating increased risk. This genetic variant may serve as a useful marker for assessing OC risk; however, further studies involving larger and more diverse populations are needed to validate these results.

Abstract Image

Abstract Image

Abstract Image

GPX1 (rs1050450)变异在土耳其人群卵巢癌易感性中的作用
卵巢癌(OC)仍然是最致命的妇科恶性肿瘤之一,主要是由于早期发现的挑战和随之而来的预后不良。随着谷胱甘肽过氧化物酶1 (GPX1)基因受到越来越多的关注,遗传易感性在卵巢癌的发展中起着关键作用。GPX1基因多态性rs1050450与多种癌症有关,可能是通过其对氧化应激机制的影响。目的:本研究旨在探讨GPX1 (rs1050450)多态性与土耳其人群发生OC风险之间的关系。方法采用回顾性病例-对照研究,对90名确诊为慢性阻塞性肺病的女性和90名健康对照者进行研究。采用实时荧光定量PCR (RT-PCR)对GPX1 (rs1050450)多态性进行基因分型。采用SPSS软件进行统计分析,适当时采用卡方检验和t检验。结果GPX1 (rs1050450) CC基因型多态性与OC风险降低显著相关(P = 0.002;Or = 0.304;95% CI = 0.161-0.577),而TT基因型与风险增加有关,表明易感性增加了三倍(P = 0.036;Or = 3.308;95% ci = 1.024-10.682)。此外,T等位基因与发生OC的风险增加约三倍相关(P = 0.0002)。结论GPX1 (rs1050450)多态性可能在卵巢癌易感性中起重要作用,其中CC基因型具有潜在的保护作用,TT基因型具有增加卵巢癌易感性的作用。这种基因变异可以作为评估卵巢癌风险的有用标记;然而,需要对更大、更多样化的人群进行进一步的研究来验证这些结果。
本文章由计算机程序翻译,如有差异,请以英文原文为准。
求助全文
约1分钟内获得全文 求助全文
来源期刊
Cancer Control
Cancer Control ONCOLOGY-
CiteScore
3.80
自引率
0.00%
发文量
148
审稿时长
>12 weeks
期刊介绍: Cancer Control is a JCR-ranked, peer-reviewed open access journal whose mission is to advance the prevention, detection, diagnosis, treatment, and palliative care of cancer by enabling researchers, doctors, policymakers, and other healthcare professionals to freely share research along the cancer control continuum. Our vision is a world where gold-standard cancer care is the norm, not the exception.
×
引用
GB/T 7714-2015
复制
MLA
复制
APA
复制
导出至
BibTeX EndNote RefMan NoteFirst NoteExpress
×
提示
您的信息不完整,为了账户安全,请先补充。
现在去补充
×
提示
您因"违规操作"
具体请查看互助需知
我知道了
×
提示
确定
请完成安全验证×
copy
已复制链接
快去分享给好友吧!
我知道了
右上角分享
点击右上角分享
0
联系我们:info@booksci.cn Book学术提供免费学术资源搜索服务,方便国内外学者检索中英文文献。致力于提供最便捷和优质的服务体验。 Copyright © 2023 布克学术 All rights reserved.
京ICP备2023020795号-1
ghs 京公网安备 11010802042870号
Book学术文献互助
Book学术文献互助群
群 号:604180095
Book学术官方微信