Argon plasma coagulation versus endoscopic resection for the treatment of gastric adenomas: A systematic review and meta-analysis.

IF 2 4区 医学 Q3 GASTROENTEROLOGY & HEPATOLOGY
Saudi Journal of Gastroenterology Pub Date : 2025-05-01 Epub Date: 2025-04-18 DOI:10.4103/sjg.sjg_418_24
Jae Gon Lee, Jin Hwa Park, Sang Pyo Lee, Kang Nyeong Lee
{"title":"Argon plasma coagulation versus endoscopic resection for the treatment of gastric adenomas: A systematic review and meta-analysis.","authors":"Jae Gon Lee, Jin Hwa Park, Sang Pyo Lee, Kang Nyeong Lee","doi":"10.4103/sjg.sjg_418_24","DOIUrl":null,"url":null,"abstract":"<p><strong>Background: </strong>Endoscopic resection (ER) is regarded as the treatment of choice for gastric adenoma. Argon plasma coagulation (APC) is also widely used, but its efficacy and safety have not been fully established. We performed a systematic review and meta-analysis to assess the efficacy and safety of APC compared with ER in treating gastric adenoma.</p><p><strong>Methods: </strong>PubMed, EMBASE, and the Cochrane Library were searched up to April 2024. All studies that evaluated the clinical outcomes of APC or ER for treating gastric adenomas were included. The primary outcome was the local recurrence rates of APC versus ER. Secondary outcomes included procedure time, length of hospital stay, and complications.</p><p><strong>Results: </strong>A total of seven studies were included, of which four were retrospective studies that compared the outcomes of APC and ER, and three were retrospective single-arm studies that reported only outcomes of APC. APC was associated with a higher local recurrence rate in treating gastric adenoma than ER [risk ratio (RR) 4.378, 95% CI 1.995-9.607] but involved shorter procedure times (MD -45.228, 95% CI -49.436 to -41.021), shorter hospital stays (MD -2.684, 95% CI -2.932 to -2.437), and fewer complications (RR 0.329, 95% CI 0.124-0.869).</p><p><strong>Conclusions: </strong>APC results in more local recurrence but involved a lower risk of complications than ER. APC may be considered an alternative to ER in treating gastric adenomas.</p>","PeriodicalId":48881,"journal":{"name":"Saudi Journal of Gastroenterology","volume":" ","pages":"137-145"},"PeriodicalIF":2.0000,"publicationDate":"2025-05-01","publicationTypes":"Journal Article","fieldsOfStudy":null,"isOpenAccess":false,"openAccessPdf":"https://www.ncbi.nlm.nih.gov/pmc/articles/PMC12155460/pdf/","citationCount":"0","resultStr":null,"platform":"Semanticscholar","paperid":null,"PeriodicalName":"Saudi Journal of Gastroenterology","FirstCategoryId":"3","ListUrlMain":"https://doi.org/10.4103/sjg.sjg_418_24","RegionNum":4,"RegionCategory":"医学","ArticlePicture":[],"TitleCN":null,"AbstractTextCN":null,"PMCID":null,"EPubDate":"2025/4/18 0:00:00","PubModel":"Epub","JCR":"Q3","JCRName":"GASTROENTEROLOGY & HEPATOLOGY","Score":null,"Total":0}
引用次数: 0

Abstract

Background: Endoscopic resection (ER) is regarded as the treatment of choice for gastric adenoma. Argon plasma coagulation (APC) is also widely used, but its efficacy and safety have not been fully established. We performed a systematic review and meta-analysis to assess the efficacy and safety of APC compared with ER in treating gastric adenoma.

Methods: PubMed, EMBASE, and the Cochrane Library were searched up to April 2024. All studies that evaluated the clinical outcomes of APC or ER for treating gastric adenomas were included. The primary outcome was the local recurrence rates of APC versus ER. Secondary outcomes included procedure time, length of hospital stay, and complications.

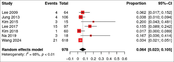
Results: A total of seven studies were included, of which four were retrospective studies that compared the outcomes of APC and ER, and three were retrospective single-arm studies that reported only outcomes of APC. APC was associated with a higher local recurrence rate in treating gastric adenoma than ER [risk ratio (RR) 4.378, 95% CI 1.995-9.607] but involved shorter procedure times (MD -45.228, 95% CI -49.436 to -41.021), shorter hospital stays (MD -2.684, 95% CI -2.932 to -2.437), and fewer complications (RR 0.329, 95% CI 0.124-0.869).

Conclusions: APC results in more local recurrence but involved a lower risk of complications than ER. APC may be considered an alternative to ER in treating gastric adenomas.

Abstract Image

Abstract Image

Abstract Image

氩等离子凝血与内镜切除治疗胃腺瘤:系统回顾和荟萃分析。
背景:内镜切除(ER)被认为是治疗胃腺瘤的首选方法。氩等离子体凝固(APC)也被广泛应用,但其有效性和安全性尚未完全确定。我们进行了一项系统回顾和荟萃分析,以评估APC与ER治疗胃腺瘤的疗效和安全性。方法:检索截至2024年4月的PubMed、EMBASE和Cochrane Library。所有评估APC或ER治疗胃腺瘤临床结果的研究均被纳入。主要结果是APC与ER的局部复发率。次要结局包括手术时间、住院时间和并发症。结果:共纳入7项研究,其中4项为回顾性研究,比较APC和ER的结果,3项为回顾性单臂研究,仅报道APC的结果。APC治疗胃腺瘤的局部复发率高于ER[风险比(RR) 4.378, 95% CI 1.995-9.607],但手术时间较短(MD -45.228, 95% CI -49.436至-41.021),住院时间较短(MD -2.684, 95% CI -2.932至-2.437),并发症较少(RR 0.329, 95% CI 0.124-0.869)。结论:APC的局部复发率高于ER,但并发症发生率低于ER。APC可能被认为是治疗胃腺瘤的替代ER。
本文章由计算机程序翻译,如有差异,请以英文原文为准。
求助全文
约1分钟内获得全文 求助全文
来源期刊
Saudi Journal of Gastroenterology
Saudi Journal of Gastroenterology GASTROENTEROLOGY & HEPATOLOGY-
CiteScore
4.40
自引率
3.70%
发文量
63
审稿时长
28 weeks
期刊介绍: The Saudi Journal of Gastroenterology (SJG) is an open access peer-reviewed publication. Authors are invited to submit articles in the field of gastroenterology, hepatology and nutrition, with a wide spectrum of coverage including basic science, epidemiology, diagnostics, therapeutics, public health, and standards of health care in relation to the concerned specialty. Review articles are usually by invitation. However review articles of current interest and a high standard of scientific value could also be considered for publication.
×
引用
GB/T 7714-2015
复制
MLA
复制
APA
复制
导出至
BibTeX EndNote RefMan NoteFirst NoteExpress
×
提示
您的信息不完整,为了账户安全,请先补充。
现在去补充
×
提示
您因"违规操作"
具体请查看互助需知
我知道了
×
提示
确定
请完成安全验证×
copy
已复制链接
快去分享给好友吧!
我知道了
右上角分享
点击右上角分享
0
联系我们:info@booksci.cn Book学术提供免费学术资源搜索服务,方便国内外学者检索中英文文献。致力于提供最便捷和优质的服务体验。 Copyright © 2023 布克学术 All rights reserved.
京ICP备2023020795号-1
ghs 京公网安备 11010802042870号
Book学术文献互助
Book学术文献互助群
群 号:604180095
Book学术官方微信