A cost and community perspective on the barriers to microbiome data reuse.

IF 3.9 Q2 MATHEMATICAL & COMPUTATIONAL BIOLOGY
Frontiers in bioinformatics Pub Date : 2025-04-09 eCollection Date: 2025-01-01 DOI:10.3389/fbinf.2025.1585717
Julia M Kelliher, Leah Y D Johnson, Francisca E Rodriguez, Jaclyn K Saunders, Marie E Kroeger, Buck Hanson, Aaron J Robinson, Winston E Anthony, Marc W Van Goethem, Anders Kiledal, Ahmed A Shibl, Amanda Araujo Serrao de Andrade, Cassandra L Ettinger, Chhedi Lal Gupta, Chris R P Robinson, Cristal Zuniga, Daniel Sprockett, Douglas Terra Machado, Emilie J Skoog, Iyanu Oduwole, Jason A Rothman, Kaelan Prime, Katherine R Lane, Leandro Nascimento Lemos, Lisa Karstens, Mark McCauley, Mitiku Mihiret Seyoum, Moamen M Elmassry, Mustafa Guzel, Reid Longley, Simon Roux, Thomas M Pitot, Emiley A Eloe-Fadrosh
{"title":"A cost and community perspective on the barriers to microbiome data reuse.","authors":"Julia M Kelliher, Leah Y D Johnson, Francisca E Rodriguez, Jaclyn K Saunders, Marie E Kroeger, Buck Hanson, Aaron J Robinson, Winston E Anthony, Marc W Van Goethem, Anders Kiledal, Ahmed A Shibl, Amanda Araujo Serrao de Andrade, Cassandra L Ettinger, Chhedi Lal Gupta, Chris R P Robinson, Cristal Zuniga, Daniel Sprockett, Douglas Terra Machado, Emilie J Skoog, Iyanu Oduwole, Jason A Rothman, Kaelan Prime, Katherine R Lane, Leandro Nascimento Lemos, Lisa Karstens, Mark McCauley, Mitiku Mihiret Seyoum, Moamen M Elmassry, Mustafa Guzel, Reid Longley, Simon Roux, Thomas M Pitot, Emiley A Eloe-Fadrosh","doi":"10.3389/fbinf.2025.1585717","DOIUrl":null,"url":null,"abstract":"<p><p>Microbiome research is becoming a mature field with a wealth of data amassed from diverse ecosystems, yet the ability to fully leverage multi-omics data for reuse remains challenging. To provide a view into researchers' behavior and attitudes towards data reuse, we surveyed over 700 microbiome researchers to evaluate data sharing and reuse challenges. We found that many researchers are impeded by difficulties with metadata records, challenges with processing and bioinformatics, and problems with data repository submissions. We also explored the cost constraints of data reuse at each step of the data reuse process to better understand \"pain points\" and to provide a more quantitative perspective from sixteen active researchers. The bioinformatics and data processing step was estimated to be the most time consuming, which aligns with some of the most frequently reported challenges from the community survey. From these two approaches, we present evidence-based recommendations for how to address data sharing and reuse challenges with concrete actions for future work.</p>","PeriodicalId":73066,"journal":{"name":"Frontiers in bioinformatics","volume":"5 ","pages":"1585717"},"PeriodicalIF":3.9000,"publicationDate":"2025-04-09","publicationTypes":"Journal Article","fieldsOfStudy":null,"isOpenAccess":false,"openAccessPdf":"https://www.ncbi.nlm.nih.gov/pmc/articles/PMC12015674/pdf/","citationCount":"0","resultStr":null,"platform":"Semanticscholar","paperid":null,"PeriodicalName":"Frontiers in bioinformatics","FirstCategoryId":"1085","ListUrlMain":"https://doi.org/10.3389/fbinf.2025.1585717","RegionNum":0,"RegionCategory":null,"ArticlePicture":[],"TitleCN":null,"AbstractTextCN":null,"PMCID":null,"EPubDate":"2025/1/1 0:00:00","PubModel":"eCollection","JCR":"Q2","JCRName":"MATHEMATICAL & COMPUTATIONAL BIOLOGY","Score":null,"Total":0}
引用次数: 0

Abstract

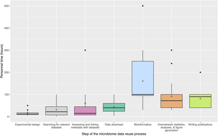
Microbiome research is becoming a mature field with a wealth of data amassed from diverse ecosystems, yet the ability to fully leverage multi-omics data for reuse remains challenging. To provide a view into researchers' behavior and attitudes towards data reuse, we surveyed over 700 microbiome researchers to evaluate data sharing and reuse challenges. We found that many researchers are impeded by difficulties with metadata records, challenges with processing and bioinformatics, and problems with data repository submissions. We also explored the cost constraints of data reuse at each step of the data reuse process to better understand "pain points" and to provide a more quantitative perspective from sixteen active researchers. The bioinformatics and data processing step was estimated to be the most time consuming, which aligns with some of the most frequently reported challenges from the community survey. From these two approaches, we present evidence-based recommendations for how to address data sharing and reuse challenges with concrete actions for future work.

Abstract Image

Abstract Image

微生物组数据重用障碍的成本和社区视角。
微生物组学研究正在成为一个成熟的领域,从不同的生态系统中积累了丰富的数据,但充分利用多组学数据进行再利用的能力仍然具有挑战性。为了了解研究人员对数据重用的行为和态度,我们调查了700多名微生物组研究人员,以评估数据共享和重用的挑战。我们发现许多研究人员被元数据记录的困难、处理和生物信息学的挑战以及数据存储库提交的问题所阻碍。我们还探讨了数据重用过程中每个步骤的成本约束,以更好地理解“痛点”,并从16位活跃的研究人员那里提供更定量的视角。生物信息学和数据处理步骤估计是最耗时的,这与社区调查中最常报告的一些挑战相一致。从这两种方法中,我们提出了基于证据的建议,以解决数据共享和重用的挑战,并为未来的工作采取具体行动。
本文章由计算机程序翻译,如有差异,请以英文原文为准。
求助全文
约1分钟内获得全文 求助全文
来源期刊
CiteScore
2.60
自引率
0.00%
发文量
0
×
引用
GB/T 7714-2015
复制
MLA
复制
APA
复制
导出至
BibTeX EndNote RefMan NoteFirst NoteExpress
×
提示
您的信息不完整,为了账户安全,请先补充。
现在去补充
×
提示
您因"违规操作"
具体请查看互助需知
我知道了
×
提示
确定
请完成安全验证×
copy
已复制链接
快去分享给好友吧!
我知道了
右上角分享
点击右上角分享
0
联系我们:info@booksci.cn Book学术提供免费学术资源搜索服务,方便国内外学者检索中英文文献。致力于提供最便捷和优质的服务体验。 Copyright © 2023 布克学术 All rights reserved.
京ICP备2023020795号-1
ghs 京公网安备 11010802042870号
Book学术文献互助
Book学术文献互助群
群 号:604180095
Book学术官方微信