Comparison of Factors Affecting Quality of Life in Patients with Acute Ischemic Stroke Across Different Stroke Severities.

IF 4.8 3区 医学 Q1 CLINICAL NEUROLOGY
Neurology and Therapy Pub Date : 2025-06-01 Epub Date: 2025-04-29 DOI:10.1007/s40120-025-00743-9
Yuxuan Lu, Weiping Sun, Yining Huang, Zhaoxia Wang, Zhiyuan Shen, Wei Sun, Ran Liu, Fan Li, Junlong Shu, Qing Peng, Jingjing Jia, Peng Sun, Yijun Song, Haiqiang Jin
{"title":"Comparison of Factors Affecting Quality of Life in Patients with Acute Ischemic Stroke Across Different Stroke Severities.","authors":"Yuxuan Lu, Weiping Sun, Yining Huang, Zhaoxia Wang, Zhiyuan Shen, Wei Sun, Ran Liu, Fan Li, Junlong Shu, Qing Peng, Jingjing Jia, Peng Sun, Yijun Song, Haiqiang Jin","doi":"10.1007/s40120-025-00743-9","DOIUrl":null,"url":null,"abstract":"<p><strong>Introduction: </strong>Research investigating the differences in determinants affecting the quality of life (QoL) in patients with acute ischemic stroke (AIS) of varying severities remains limited, and how these factors influence QoL remains unclear. The aim of this study was to address this critical issue, refining treatments to enhance long-term QoL and optimize resource use.</p><p><strong>Methods: </strong>In this multicenter prospective study conducted in China, patients with AIS were assessed using the EuroQol-5 Dimension (EQ-5D) questionnaire at admission and 1 year later. Univariate and multivariate analyses were conducted to identify QoL determinants. Motor function-related outcomes (MFRO) and non-motor function-related outcomes (NMFRO) were defined based on the EQ-5D questionnaire to explore how factors influence outcomes through mediation analysis.</p><p><strong>Results: </strong>The study included 8598 patients with AIS (median age 64 years; 65.7% male), 3927 of whom had minor stroke severity (National Institutes of Health Stroke Scale [NIHSS] scores ≤ 3). The median QoL score improved from 0.597 at admission to 1.000 after 1 year. Compared to patients with minor stroke, more patients with non-minor stroke had non-motor function-related problems (NMFRP) at admission (78.2% vs. 56.6%). Age, stroke history, QoL at admission, infection, hospitalization costs, and discharge outcomes were found to be factors influencing QoL in both cohorts. In the non-minor stroke cohort, analysis revealed that additional factors include diabetes mellitus, geographical region, speech impairment, and thrombolysis, while in the minor stroke cohort, hypertension, coronary heart disease, cancer, prolonged length of stay, and hemorrhage were found to be relevant factors. The impact of most factors on QoL was mediated by MFRO, while the effects of age, speech impairment, and geographical region were also mediated by NMFRO. Hospitalization costs beyond 15,000 China Yuan (CNY) did not improve QoL for the patients with non-minor stroke, with a threshold of 10,000 CNY for the patients with minor stroke.</p><p><strong>Conclusions: </strong>Over half of the patients in the study population had NMFRP, necessitating greater medical attention. Patients with different stroke severities had distinct QoL determinants. Age, speech impairment, and geographical region may exert an impact partly mediated through NMFRO. Higher hospitalization costs did not consistently improve QoL beyond a certain threshold.</p><p><strong>Trial registration: </strong>ClinicalTrials.gov Identifier: NCT02470624.</p>","PeriodicalId":19216,"journal":{"name":"Neurology and Therapy","volume":" ","pages":"1023-1038"},"PeriodicalIF":4.8000,"publicationDate":"2025-06-01","publicationTypes":"Journal Article","fieldsOfStudy":null,"isOpenAccess":false,"openAccessPdf":"https://www.ncbi.nlm.nih.gov/pmc/articles/PMC12089634/pdf/","citationCount":"0","resultStr":null,"platform":"Semanticscholar","paperid":null,"PeriodicalName":"Neurology and Therapy","FirstCategoryId":"3","ListUrlMain":"https://doi.org/10.1007/s40120-025-00743-9","RegionNum":3,"RegionCategory":"医学","ArticlePicture":[],"TitleCN":null,"AbstractTextCN":null,"PMCID":null,"EPubDate":"2025/4/29 0:00:00","PubModel":"Epub","JCR":"Q1","JCRName":"CLINICAL NEUROLOGY","Score":null,"Total":0}
引用次数: 0

Abstract

Introduction: Research investigating the differences in determinants affecting the quality of life (QoL) in patients with acute ischemic stroke (AIS) of varying severities remains limited, and how these factors influence QoL remains unclear. The aim of this study was to address this critical issue, refining treatments to enhance long-term QoL and optimize resource use.

Methods: In this multicenter prospective study conducted in China, patients with AIS were assessed using the EuroQol-5 Dimension (EQ-5D) questionnaire at admission and 1 year later. Univariate and multivariate analyses were conducted to identify QoL determinants. Motor function-related outcomes (MFRO) and non-motor function-related outcomes (NMFRO) were defined based on the EQ-5D questionnaire to explore how factors influence outcomes through mediation analysis.

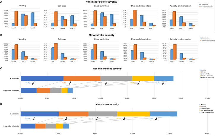
Results: The study included 8598 patients with AIS (median age 64 years; 65.7% male), 3927 of whom had minor stroke severity (National Institutes of Health Stroke Scale [NIHSS] scores ≤ 3). The median QoL score improved from 0.597 at admission to 1.000 after 1 year. Compared to patients with minor stroke, more patients with non-minor stroke had non-motor function-related problems (NMFRP) at admission (78.2% vs. 56.6%). Age, stroke history, QoL at admission, infection, hospitalization costs, and discharge outcomes were found to be factors influencing QoL in both cohorts. In the non-minor stroke cohort, analysis revealed that additional factors include diabetes mellitus, geographical region, speech impairment, and thrombolysis, while in the minor stroke cohort, hypertension, coronary heart disease, cancer, prolonged length of stay, and hemorrhage were found to be relevant factors. The impact of most factors on QoL was mediated by MFRO, while the effects of age, speech impairment, and geographical region were also mediated by NMFRO. Hospitalization costs beyond 15,000 China Yuan (CNY) did not improve QoL for the patients with non-minor stroke, with a threshold of 10,000 CNY for the patients with minor stroke.

Conclusions: Over half of the patients in the study population had NMFRP, necessitating greater medical attention. Patients with different stroke severities had distinct QoL determinants. Age, speech impairment, and geographical region may exert an impact partly mediated through NMFRO. Higher hospitalization costs did not consistently improve QoL beyond a certain threshold.

Trial registration: ClinicalTrials.gov Identifier: NCT02470624.

Abstract Image

Abstract Image

Abstract Image

不同脑卒中严重程度急性缺血性脑卒中患者生活质量影响因素的比较
前言:不同严重程度急性缺血性卒中(AIS)患者影响生活质量(QoL)的决定因素差异的研究仍然有限,这些因素如何影响生活质量仍不清楚。本研究的目的是解决这一关键问题,改进治疗方法以提高长期生活质量并优化资源利用。方法:在中国进行的这项多中心前瞻性研究中,AIS患者在入院时和1年后使用EuroQol-5维度(EQ-5D)问卷进行评估。进行单因素和多因素分析以确定生活质量的决定因素。基于EQ-5D问卷,定义运动功能相关结局(MFRO)和非运动功能相关结局(NMFRO),通过中介分析探讨因素对结局的影响。结果:研究纳入8598例AIS患者(中位年龄64岁;65.7%男性),其中3927例为轻度卒中严重程度(美国国立卫生研究院卒中量表[NIHSS]评分≤3分)。中位生活质量评分从入院时的0.597提高到1年后的1.000。与轻度卒中患者相比,更多的非轻度卒中患者在入院时出现非运动功能相关问题(NMFRP)(78.2%对56.6%)。年龄、卒中史、入院时生活质量、感染、住院费用和出院结局是影响两组患者生活质量的因素。在非轻微脑卒中队列中,分析发现附加因素包括糖尿病、地理区域、语言障碍和溶栓,而在轻微脑卒中队列中,高血压、冠心病、癌症、住院时间延长和出血是相关因素。大多数因素对生活质量的影响均由MFRO介导,年龄、语言障碍和地理区域的影响也由NMFRO介导。住院费用超过15,000元对非轻微脑卒中患者的生活质量没有改善,轻微脑卒中患者的生活质量阈值为10,000元。结论:研究人群中超过一半的患者有NMFRP,需要更多的医疗护理。不同脑卒中严重程度的患者有不同的生活质量决定因素。年龄、语言障碍和地理区域可能通过NMFRO部分介导产生影响。较高的住院费用并不能持续改善生活质量,超过一定的阈值。试验注册:ClinicalTrials.gov标识符:NCT02470624。
本文章由计算机程序翻译,如有差异,请以英文原文为准。
求助全文
约1分钟内获得全文 求助全文
来源期刊
Neurology and Therapy
Neurology and Therapy CLINICAL NEUROLOGY-
CiteScore
5.40
自引率
8.10%
发文量
103
审稿时长
6 weeks
期刊介绍: Aims and Scope Neurology and Therapy aims to provide reliable and inclusive, rapid publication for all therapy related research for neurological indications, supporting the timely dissemination of research with a global reach, to help advance scientific discovery and support clinical practice. Neurology and Therapy is an international, open access, peer reviewed, rapid publication journal dedicated to the publication of high-quality clinical (all phases), observational, real-world and health outcomes research around the discovery, development, and use of neurological and psychiatric therapies, (also covering surgery and devices). Studies relating to diagnosis, pharmacoeconomics, public health, quality of life, and patient care, management, and education are also welcomed. The journal is of interest to a broad audience of healthcare professionals and publishes original research, reviews, case reports, trial designs, communications and letters. The journal is read by a global audience and receives submissions from all over the world. Neurology and Therapy will consider all scientifically sound research be it positive, confirmatory or negative data. Submissions are welcomed whether they relate to an international and/or a country-specific audience, something that is crucially important when researchers are trying to target more specific patient populations. This inclusive approach allows the journal to assist in the dissemination of all scientifically and ethically sound research. Rapid Publication The journal’s rapid publication timelines aim for a peer review decision within 2 weeks of submission. If an article is accepted, it will be published online 3-4 weeks from acceptance. These rapid timelines are achieved through the combination of a dedicated in-house editorial team, who closely manage article workflow, and an extensive Editorial and Advisory Board who assist with rapid peer review. This allows the journal to support the rapid dissemination of research, whilst still providing robust peer review. Combined with the journal’s open access model, this allows for the rapid and efficient communication of the latest research and reviews to support scientific discovery and clinical practice. Open Access All articles published by Neurology and Therapy are open access. Personal Service The journal’s dedicated in-house editorial team offer a personal “concierge service” meaning that authors will always have a personal point of contact able to update them on the status of their manuscript. The editorial team check all manuscripts to ensure that articles conform to the most recent COPE and ICMJE publishing guidelines. This supports the publication of ethically sound and transparent research. We also encourage pre-submission enquiries and are always happy to provide a confidential assessment of manuscripts. Digital Features and Plain Language Summaries Neurology and Therapy offers a range of additional features designed to increase the visibility, readership and educational value of the journal’s content. Each article is accompanied by key summary points, giving a time-efficient overview of the content to a wide readership. Articles may be accompanied by plain language summaries to assist readers who have some knowledge of, but not in-depth expertise in, the area to understand the scientific content and overall implications of the article. The journal also provides the option to include various types of digital features including animated abstracts, video abstracts, slide decks, audio slides, instructional videos, infographics, podcasts and animations. All additional features are peer reviewed to the same high standard as the article itself. If you consider that your paper would benefit from the inclusion of a digital feature, please let us know. Our editorial team are able to create high-quality slide decks and infographics in-house, and video abstracts through our partner Research Square, and would be happy to assist in any way we can. For further information about digital features, please contact the journal editor (see ‘Contact the Journal’ for email address), and see the ‘Guidelines for digital features and plain language summaries’ document under ‘Submission guidelines’. For examples of digital features please visit our showcase page https://springerhealthcare.com/expertise/publishing-digital-features/ Publication Fees Upon acceptance of an article, authors will be required to pay the mandatory Rapid Service Fee of €5250/$6000/£4300. The journal will consider fee discounts and waivers for developing countries and this is decided on a case-by-case basis. Peer Review Process Upon submission, manuscripts are assessed by the editorial team to ensure they fit within the aims and scope of the journal and are also checked for plagiarism. All suitable submissions are then subject to a comprehensive single-blind peer review. Reviewers are selected based on their relevant expertise and publication history in the subject area. The journal has an extensive pool of editorial and advisory board members who have been selected to assist with peer review based on the afore-mentioned criteria. At least two extensive reviews are required to make the editorial decision, with the exception of some article types such as Commentaries, Editorials and Letters which are generally reviewed by one member of the Editorial Board. Where reviews conflict, an Editorial Board Member will be contacted for further advice and a presiding decision. Manuscripts are then either accepted, rejected or authors are required to make major or minor revisions (both reviewer comments and editorial comments may need to be addressed. Once a revised manuscript is re-submitted, it is assessed along with the responses to reviewer comments and if it has been adequately revised, it will be accepted for publication. Accepted manuscripts are then copyedited and typeset by the production team before online publication. Appeals against decisions following peer review are considered on a case-by-case basis and should be sent to the journal editor, and authors are welcome to make rebuttals against individual reviewer comments, if appropriate. Preprints We encourage posting of preprints of primary research manuscripts on preprint servers, authors'' or institutional websites, and open communications between researchers whether on community preprint servers or preprint commenting platforms. Posting of preprints is not considered prior publication and will not jeopardize consideration in our journals. Please see here for further information on preprint sharing: https://www.springer.com/gp/authors-editors/journal-author/journal-author-helpdesk/submission/1302#c16721550 Copyright Neurology and Therapy is published under the Creative Commons Attribution-Noncommercial License, which allows users to read, copy, distribute, and make derivative works for non-commercial purposes from the material, as long as the author of the original work is cited. The author assigns the exclusive right to any commercial use of the article to Springer. For more information about the Creative Commons Attribution-Noncommercial License, click here: http://creativecommons.org/licenses/by-nc/4.0. Contact For more information about the journal, including pre-submission enquiries, please contact managing editor Lydia Alborn at lydia.alborn@springer.com.
×
引用
GB/T 7714-2015
复制
MLA
复制
APA
复制
导出至
BibTeX EndNote RefMan NoteFirst NoteExpress
×
提示
您的信息不完整,为了账户安全,请先补充。
现在去补充
×
提示
您因"违规操作"
具体请查看互助需知
我知道了
×
提示
确定
请完成安全验证×
copy
已复制链接
快去分享给好友吧!
我知道了
右上角分享
点击右上角分享
0
联系我们:info@booksci.cn Book学术提供免费学术资源搜索服务,方便国内外学者检索中英文文献。致力于提供最便捷和优质的服务体验。 Copyright © 2023 布克学术 All rights reserved.
京ICP备2023020795号-1
ghs 京公网安备 11010802042870号
Book学术文献互助
Book学术文献互助群
群 号:604180095
Book学术官方微信