Physical Activity, Sleep, and Quality of Life in Pulmonary Arterial Hypertension: Novel Insights From Wearable Devices.

IF 2.5 4区 医学 Q2 CARDIAC & CARDIOVASCULAR SYSTEMS
Pulmonary Circulation Pub Date : 2025-04-16 eCollection Date: 2025-04-01 DOI:10.1002/pul2.70069
Andrew M Hughes, Alisha Lindsey, Jeffrey Annis, Kelly Burke, Hiral Master, Luke G Silverman-Lloyd, Jonah D Garry, Michael J Blaha, Erika S Berman Rosenzweig, Robert P Frantz, Paul M Hassoun, Evelyn M Horn, Jane A Leopold, Franz P Rischard, Brett Larive, Nicholas S Hill, Serpil C Erzurum, Gerald J Beck, Anna R Hemnes, Evan L Brittain
{"title":"Physical Activity, Sleep, and Quality of Life in Pulmonary Arterial Hypertension: Novel Insights From Wearable Devices.","authors":"Andrew M Hughes, Alisha Lindsey, Jeffrey Annis, Kelly Burke, Hiral Master, Luke G Silverman-Lloyd, Jonah D Garry, Michael J Blaha, Erika S Berman Rosenzweig, Robert P Frantz, Paul M Hassoun, Evelyn M Horn, Jane A Leopold, Franz P Rischard, Brett Larive, Nicholas S Hill, Serpil C Erzurum, Gerald J Beck, Anna R Hemnes, Evan L Brittain","doi":"10.1002/pul2.70069","DOIUrl":null,"url":null,"abstract":"<p><p>Reduced functional capacity and poor sleep quality are common in pulmonary arterial hypertension (PAH). Wearable devices are an emerging, user-friendly tool to capture activity and sleep information. We aimed to determine whether Fitbit-derived activity and sleep trends provide clinically meaningful information in patients with PAH. Our prospective observational study recruited patients with PAH from across the United States using remote enrollment strategies and in-person efforts. Participants wore a Fitbit device for 12 weeks at baseline and a subgroup with 1-year follow-up. A matched control cohort was generated from the <i>All of Us</i> Research Program and we evaluated changes in patients with PAH compared to matched controls. Among 110 patients with baseline monitoring, average daily steps correlated with 6MWD (<i>r</i> = 0.61, <i>p</i> < 0.001) and percent rapid eye movement (REM) sleep (<i>r</i> = 0.28, <i>p</i> = 0.008). In 44 PAH participants who completed baseline and 1-year monitoring, there was a group-time interaction for percent light sleep (<i>p</i> = 0.024) and percent REM sleep (<i>p</i> = 0.034), which demonstrated that sleep quality worsened in patients with PAH over 1 year compared to matched controls. Average daily steps decreased in patients with PAH from 5200 [IQR 3212-7458] at baseline to 4651 [IQR 2912-6827] at 1 year (<i>p</i> = 0.008). In conclusion, our study demonstrated the potential clinical value of wearable devices by showing that activity and sleep quality are reduced in PAH compared to matched controls and these measures decline over time. Future studies should investigate if monitoring these health behaviors detects early functional decline and whether targeted interventions may improve outcomes.</p>","PeriodicalId":20927,"journal":{"name":"Pulmonary Circulation","volume":"15 2","pages":"e70069"},"PeriodicalIF":2.5000,"publicationDate":"2025-04-16","publicationTypes":"Journal Article","fieldsOfStudy":null,"isOpenAccess":false,"openAccessPdf":"https://www.ncbi.nlm.nih.gov/pmc/articles/PMC12003557/pdf/","citationCount":"0","resultStr":null,"platform":"Semanticscholar","paperid":null,"PeriodicalName":"Pulmonary Circulation","FirstCategoryId":"3","ListUrlMain":"https://doi.org/10.1002/pul2.70069","RegionNum":4,"RegionCategory":"医学","ArticlePicture":[],"TitleCN":null,"AbstractTextCN":null,"PMCID":null,"EPubDate":"2025/4/1 0:00:00","PubModel":"eCollection","JCR":"Q2","JCRName":"CARDIAC & CARDIOVASCULAR SYSTEMS","Score":null,"Total":0}
引用次数: 0

Abstract

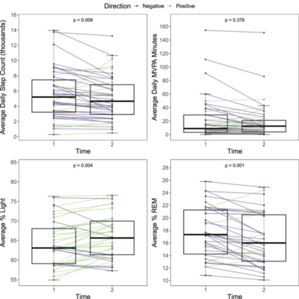
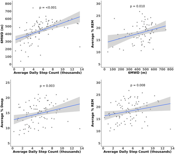
Reduced functional capacity and poor sleep quality are common in pulmonary arterial hypertension (PAH). Wearable devices are an emerging, user-friendly tool to capture activity and sleep information. We aimed to determine whether Fitbit-derived activity and sleep trends provide clinically meaningful information in patients with PAH. Our prospective observational study recruited patients with PAH from across the United States using remote enrollment strategies and in-person efforts. Participants wore a Fitbit device for 12 weeks at baseline and a subgroup with 1-year follow-up. A matched control cohort was generated from the All of Us Research Program and we evaluated changes in patients with PAH compared to matched controls. Among 110 patients with baseline monitoring, average daily steps correlated with 6MWD (r = 0.61, p < 0.001) and percent rapid eye movement (REM) sleep (r = 0.28, p = 0.008). In 44 PAH participants who completed baseline and 1-year monitoring, there was a group-time interaction for percent light sleep (p = 0.024) and percent REM sleep (p = 0.034), which demonstrated that sleep quality worsened in patients with PAH over 1 year compared to matched controls. Average daily steps decreased in patients with PAH from 5200 [IQR 3212-7458] at baseline to 4651 [IQR 2912-6827] at 1 year (p = 0.008). In conclusion, our study demonstrated the potential clinical value of wearable devices by showing that activity and sleep quality are reduced in PAH compared to matched controls and these measures decline over time. Future studies should investigate if monitoring these health behaviors detects early functional decline and whether targeted interventions may improve outcomes.

Abstract Image

Abstract Image

Abstract Image

肺动脉高压的身体活动、睡眠和生活质量:来自可穿戴设备的新见解。
功能能力下降和睡眠质量差是肺动脉高压(PAH)的常见症状。可穿戴设备是一种新兴的、用户友好的工具,用于捕捉活动和睡眠信息。我们的目的是确定fitbit衍生的活动和睡眠趋势是否为PAH患者提供有临床意义的信息。我们的前瞻性观察性研究采用远程注册策略和面对面的努力从美国各地招募PAH患者。参与者在基线时佩戴Fitbit设备12周,亚组随访1年。从“我们所有人”研究项目中产生了一个匹配的对照队列,我们评估了与匹配对照相比,PAH患者的变化。110例基线监测患者中,日均步数与6MWD相关(r = 0.61, p r = 0.28, p = 0.008)。在44名完成基线和1年监测的PAH参与者中,有轻度睡眠百分比(p = 0.024)和快速眼动睡眠百分比(p = 0.034)的组时间相互作用,这表明与匹配的对照组相比,PAH患者的睡眠质量在1年内恶化。PAH患者的平均每日步数从基线时的5200 [IQR 3212-7458]降至1年后的4651 [IQR 2912-6827] (p = 0.008)。总之,我们的研究表明,与匹配的对照组相比,PAH患者的活动和睡眠质量降低,这些指标随着时间的推移而下降,从而证明了可穿戴设备的潜在临床价值。未来的研究应该调查监测这些健康行为是否能发现早期功能衰退,以及有针对性的干预是否能改善结果。
本文章由计算机程序翻译,如有差异,请以英文原文为准。
求助全文
约1分钟内获得全文 求助全文
来源期刊
Pulmonary Circulation
Pulmonary Circulation Medicine-Pulmonary and Respiratory Medicine
CiteScore
4.20
自引率
11.50%
发文量
153
审稿时长
15 weeks
期刊介绍: Pulmonary Circulation''s main goal is to encourage basic, translational, and clinical research by investigators, physician-scientists, and clinicans, in the hope of increasing survival rates for pulmonary hypertension and other pulmonary vascular diseases worldwide, and developing new therapeutic approaches for the diseases. Freely available online, Pulmonary Circulation allows diverse knowledge of research, techniques, and case studies to reach a wide readership of specialists in order to improve patient care and treatment outcomes.
×
引用
GB/T 7714-2015
复制
MLA
复制
APA
复制
导出至
BibTeX EndNote RefMan NoteFirst NoteExpress
×
提示
您的信息不完整,为了账户安全,请先补充。
现在去补充
×
提示
您因"违规操作"
具体请查看互助需知
我知道了
×
提示
确定
请完成安全验证×
copy
已复制链接
快去分享给好友吧!
我知道了
右上角分享
点击右上角分享
0
联系我们:info@booksci.cn Book学术提供免费学术资源搜索服务,方便国内外学者检索中英文文献。致力于提供最便捷和优质的服务体验。 Copyright © 2023 布克学术 All rights reserved.
京ICP备2023020795号-1
ghs 京公网安备 11010802042870号
Book学术文献互助
Book学术文献互助群
群 号:604180095
Book学术官方微信