First-in-Human Study to Evaluate the Safety and Efficacy of Anti-GDF15 Antibody AZD8853 in Patients with Advanced/Metastatic Solid Tumors.

IF 3.3 Q3 ONCOLOGY
Benedito A Carneiro, Olumide B Gbolahan, Albiruni Abdul Abdul Razak, John F Hilton, Arthur W Lambert, John Hood, Michael Pluta, Veronique Bragulat, Elhan Sanai, Rakesh Kumar, Duncan I Jodrell, Patricia M LoRusso
{"title":"First-in-Human Study to Evaluate the Safety and Efficacy of Anti-GDF15 Antibody AZD8853 in Patients with Advanced/Metastatic Solid Tumors.","authors":"Benedito A Carneiro, Olumide B Gbolahan, Albiruni Abdul Abdul Razak, John F Hilton, Arthur W Lambert, John Hood, Michael Pluta, Veronique Bragulat, Elhan Sanai, Rakesh Kumar, Duncan I Jodrell, Patricia M LoRusso","doi":"10.1158/2767-9764.CRC-24-0565","DOIUrl":null,"url":null,"abstract":"<p><strong>Purpose: </strong>Growth and differentiation factor 15 (GDF15) is overexpressed in multiple solid tumors and is thought to exert immunosuppressive effects in the tumor microenvironment. AZD8853 is an anti-GDF15 mAb.</p><p><strong>Patients and methods: </strong>This first-in-human, phase I/IIa, open-label study (NCT05397171) assessed AZD8853 monotherapy in previously treated patients with advanced/metastatic microsatellite-stable colorectal cancer and urothelial carcinoma. The primary objective was safety including dose-limiting toxicities. Secondary objectives included efficacy, pharmacokinetics, and pharmacodynamics (PD), including free serum GDF15. Exploratory objectives included biomarkers of clinical activity and effects on cancer cachexia.</p><p><strong>Results: </strong>During dose escalation, 16 patients received AZD8853 300 mg (n = 3), 1,000 mg (n = 6), or 3,000 mg (n = 7) intravenously every 3 weeks; 15 patients had microsatellite-stable colorectal cancer; and one patient had urothelial carcinoma. By June 6, 2023, all patients had discontinued treatment. Thirteen (81.3%) patients had treatment-emergent adverse events (TEAE); most commonly diarrhea (31.3%), abdominal pain (31.3%), and decreased appetite (25%). Eight (50.0%) patients had grade ≥3 TEAEs, and six (37.5%) had serious TEAEs, none treatment related. There were no dose-limiting toxicities. The best response per RECIST v1.1 was stable disease in five (31.3%) patients and disease progression in 11 (68.8%) patients. AZD8853 showed linear pharmacokinetics with a half-life of 5 to 10 days, supporting every 3 weeks dosing. AZD8853 suppression of GDF15 was transient. There was no evidence of ctDNA clearance or dose-dependent changes in peripheral T cells. Changes in body weight showed no apparent trends.</p><p><strong>Conclusions: </strong>AZD8853 was well tolerated; however, no objective responses or PD effects were seen, and GDF15 suppression was not sustained. The study was terminated after dose escalation.</p><p><strong>Significance: </strong>GDF15 is upregulated in the tumor microenvironment and suppresses antitumor immune responses. In this first-in-human trial, the anti-GDF15 antibody AZD8853 was well tolerated in previously treated patients with advanced/metastatic solid tumors, but no objective responses or PD effects were seen and GDF15 suppression was not sustained.</p>","PeriodicalId":72516,"journal":{"name":"Cancer research communications","volume":" ","pages":"896-905"},"PeriodicalIF":3.3000,"publicationDate":"2025-06-01","publicationTypes":"Journal Article","fieldsOfStudy":null,"isOpenAccess":false,"openAccessPdf":"https://www.ncbi.nlm.nih.gov/pmc/articles/PMC12127903/pdf/","citationCount":"0","resultStr":null,"platform":"Semanticscholar","paperid":null,"PeriodicalName":"Cancer research communications","FirstCategoryId":"1085","ListUrlMain":"https://doi.org/10.1158/2767-9764.CRC-24-0565","RegionNum":0,"RegionCategory":null,"ArticlePicture":[],"TitleCN":null,"AbstractTextCN":null,"PMCID":null,"EPubDate":"","PubModel":"","JCR":"Q3","JCRName":"ONCOLOGY","Score":null,"Total":0}
引用次数: 0

Abstract

Purpose: Growth and differentiation factor 15 (GDF15) is overexpressed in multiple solid tumors and is thought to exert immunosuppressive effects in the tumor microenvironment. AZD8853 is an anti-GDF15 mAb.

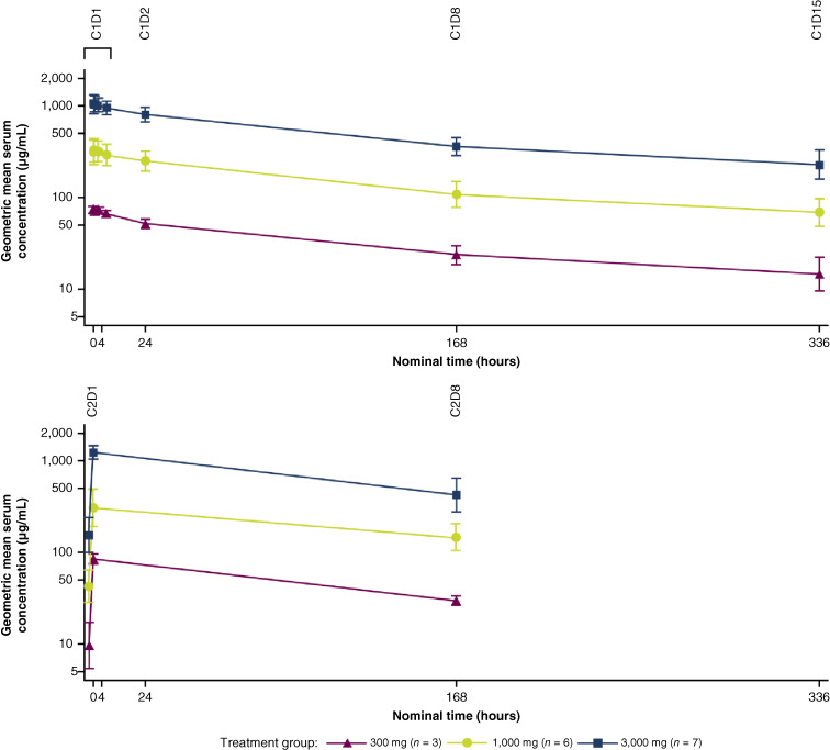
Patients and methods: This first-in-human, phase I/IIa, open-label study (NCT05397171) assessed AZD8853 monotherapy in previously treated patients with advanced/metastatic microsatellite-stable colorectal cancer and urothelial carcinoma. The primary objective was safety including dose-limiting toxicities. Secondary objectives included efficacy, pharmacokinetics, and pharmacodynamics (PD), including free serum GDF15. Exploratory objectives included biomarkers of clinical activity and effects on cancer cachexia.

Results: During dose escalation, 16 patients received AZD8853 300 mg (n = 3), 1,000 mg (n = 6), or 3,000 mg (n = 7) intravenously every 3 weeks; 15 patients had microsatellite-stable colorectal cancer; and one patient had urothelial carcinoma. By June 6, 2023, all patients had discontinued treatment. Thirteen (81.3%) patients had treatment-emergent adverse events (TEAE); most commonly diarrhea (31.3%), abdominal pain (31.3%), and decreased appetite (25%). Eight (50.0%) patients had grade ≥3 TEAEs, and six (37.5%) had serious TEAEs, none treatment related. There were no dose-limiting toxicities. The best response per RECIST v1.1 was stable disease in five (31.3%) patients and disease progression in 11 (68.8%) patients. AZD8853 showed linear pharmacokinetics with a half-life of 5 to 10 days, supporting every 3 weeks dosing. AZD8853 suppression of GDF15 was transient. There was no evidence of ctDNA clearance or dose-dependent changes in peripheral T cells. Changes in body weight showed no apparent trends.

Conclusions: AZD8853 was well tolerated; however, no objective responses or PD effects were seen, and GDF15 suppression was not sustained. The study was terminated after dose escalation.

Significance: GDF15 is upregulated in the tumor microenvironment and suppresses antitumor immune responses. In this first-in-human trial, the anti-GDF15 antibody AZD8853 was well tolerated in previously treated patients with advanced/metastatic solid tumors, but no objective responses or PD effects were seen and GDF15 suppression was not sustained.

Abstract Image

Abstract Image

Abstract Image

评估抗gdf15抗体AZD8853在晚期/转移性实体瘤患者中的安全性和有效性的首次人体研究。
目的:GDF15在多种实体肿瘤中过表达,被认为在肿瘤微环境中发挥免疫抑制作用。AZD8853是一种抗gdf15单克隆抗体。患者和方法:这项首次人体1/2a期开放标签研究(NCT05397171)评估了AZD8853单药治疗先前治疗过的晚期/转移性微卫星稳定型结直肠癌(MSS-CRC)和尿路上皮癌(UC)患者。主要目标是安全性,包括剂量限制性毒性(DLT)。次要目标包括疗效、药代动力学和药效学,包括游离血清GDF15。探索目标包括临床活性的生物标志物和对癌症恶病质的影响。结果:在剂量递增期间,16例患者每3周(Q3W)接受AZD8853 300 mg (n=3)、1000 mg (n=6)或3000 mg (n=7)静脉注射;MSS-CRC 15例,UC 1例。到2023年6月6日,所有患者都停止了治疗。13例患者(81.3%)出现治疗不良事件(TEAE);最常见的是腹泻(31.3%)、腹痛(31.3%)和食欲下降(25%)。8例(50.0%)患者teae≥3级,6例(37.5%)患者teae严重,与治疗无关。没有dlt。根据RECIST v1.1,最佳反应是5例患者(31.3%)病情稳定,11例患者(68.8%)病情进展。AZD8853呈线性药代动力学,半衰期为5 ~ 10天,支持Q3W给药。AZD8853对GDF15的抑制是短暂的。外周T细胞中没有ctDNA清除或剂量依赖性变化的证据。体重的变化没有明显的趋势。结论:AZD8853耐受性良好;然而,没有观察到客观反应或药效学效应,GDF15抑制不能持续。该研究在剂量增加后停止。
本文章由计算机程序翻译,如有差异,请以英文原文为准。
求助全文
约1分钟内获得全文 求助全文
来源期刊
自引率
0.00%
发文量
0
×
引用
GB/T 7714-2015
复制
MLA
复制
APA
复制
导出至
BibTeX EndNote RefMan NoteFirst NoteExpress
×
提示
您的信息不完整,为了账户安全,请先补充。
现在去补充
×
提示
您因"违规操作"
具体请查看互助需知
我知道了
×
提示
确定
请完成安全验证×
copy
已复制链接
快去分享给好友吧!
我知道了
右上角分享
点击右上角分享
0
联系我们:info@booksci.cn Book学术提供免费学术资源搜索服务,方便国内外学者检索中英文文献。致力于提供最便捷和优质的服务体验。 Copyright © 2023 布克学术 All rights reserved.
京ICP备2023020795号-1
ghs 京公网安备 11010802042870号
Book学术文献互助
Book学术文献互助群
群 号:604180095
Book学术官方微信