Using Machine Learning to Predict Cognitive Decline in Older Adults From the Chinese Longitudinal Healthy Longevity Survey: Model Development and Validation Study.

IF 4.8 Q1 GERIATRICS & GERONTOLOGY
JMIR Aging Pub Date : 2025-04-30 DOI:10.2196/67437
Hao Ren, Yiying Zheng, Changjin Li, Fengshi Jing, Qiting Wang, Zeyu Luo, Dongxiao Li, Deyi Liang, Weiming Tang, Li Liu, Weibin Cheng
{"title":"Using Machine Learning to Predict Cognitive Decline in Older Adults From the Chinese Longitudinal Healthy Longevity Survey: Model Development and Validation Study.","authors":"Hao Ren, Yiying Zheng, Changjin Li, Fengshi Jing, Qiting Wang, Zeyu Luo, Dongxiao Li, Deyi Liang, Weiming Tang, Li Liu, Weibin Cheng","doi":"10.2196/67437","DOIUrl":null,"url":null,"abstract":"<p><strong>Background: </strong>Cognitive impairment, indicative of Alzheimer disease and other forms of dementia, significantly deteriorates the quality of life of older adult populations and imposes considerable burdens on families and health care systems worldwide. The early identification of individuals at risk for cognitive impairment through a convenient and rapid method is crucial for the timely implementation of interventions.</p><p><strong>Objective: </strong>The objective of this study was to explore the application of machine learning (ML) to integrate blood biomarkers, life behaviors, and disease history to predict the decline in cognitive function.</p><p><strong>Methods: </strong>This approach uses data from the Chinese Longitudinal Healthy Longevity Survey. A total of 2688 participants aged 65 years or older from the 2008-2009, 2011-2012, and 2014 Chinese Longitudinal Healthy Longevity Survey waves were included, with cognitive impairment defined as a Mini-Mental State Examination (MMSE) score below 18. The dataset was divided into a training set (n=1331), an internal test set (n=333), and a prospective validation set (n=1024). Participants with a baseline MMSE score of less than 18 were excluded from the cohort to ensure a more accurate assessment of cognitive function. We developed ML models that integrate demographic information, health behaviors, disease history, and blood biomarkers to predict cognitive function at the 3-year follow-up point, specifically identifying individuals who are at risk of experiencing significant declines in cognitive function by that time. Specifically, the models aimed to identify individuals who would experience a significant decline in their MMSE scores (less than 18) by the end of the follow-up period. The performance of these models was evaluated using metrics including accuracy, sensitivity, and the area under the receiver operating characteristic curve.</p><p><strong>Results: </strong>All ML models outperformed the MMSE alone. The balanced random forest achieved the highest accuracy (88.5% in the internal test set and 88.7% in the prospective validation set), albeit with a lower sensitivity, while logistic regression recorded the highest sensitivity. SHAP (Shapley Additive Explanations) analysis identified instrumental activities of daily living, age, and baseline MMSE scores as the most influential predictors for cognitive impairment.</p><p><strong>Conclusions: </strong>The incorporation of blood biomarkers, along with demographic, life behavior, and disease history into ML models offers a convenient, rapid, and accurate approach for the early identification of older adult individuals at risk of cognitive impairment. This method presents a valuable tool for health care professionals to facilitate timely interventions and underscores the importance of integrating diverse data types in predictive health models.</p>","PeriodicalId":36245,"journal":{"name":"JMIR Aging","volume":"8 ","pages":"e67437"},"PeriodicalIF":4.8000,"publicationDate":"2025-04-30","publicationTypes":"Journal Article","fieldsOfStudy":null,"isOpenAccess":false,"openAccessPdf":"https://www.ncbi.nlm.nih.gov/pmc/articles/PMC12058036/pdf/","citationCount":"0","resultStr":null,"platform":"Semanticscholar","paperid":null,"PeriodicalName":"JMIR Aging","FirstCategoryId":"1085","ListUrlMain":"https://doi.org/10.2196/67437","RegionNum":0,"RegionCategory":null,"ArticlePicture":[],"TitleCN":null,"AbstractTextCN":null,"PMCID":null,"EPubDate":"","PubModel":"","JCR":"Q1","JCRName":"GERIATRICS & GERONTOLOGY","Score":null,"Total":0}
引用次数: 0

Abstract

Background: Cognitive impairment, indicative of Alzheimer disease and other forms of dementia, significantly deteriorates the quality of life of older adult populations and imposes considerable burdens on families and health care systems worldwide. The early identification of individuals at risk for cognitive impairment through a convenient and rapid method is crucial for the timely implementation of interventions.

Objective: The objective of this study was to explore the application of machine learning (ML) to integrate blood biomarkers, life behaviors, and disease history to predict the decline in cognitive function.

Methods: This approach uses data from the Chinese Longitudinal Healthy Longevity Survey. A total of 2688 participants aged 65 years or older from the 2008-2009, 2011-2012, and 2014 Chinese Longitudinal Healthy Longevity Survey waves were included, with cognitive impairment defined as a Mini-Mental State Examination (MMSE) score below 18. The dataset was divided into a training set (n=1331), an internal test set (n=333), and a prospective validation set (n=1024). Participants with a baseline MMSE score of less than 18 were excluded from the cohort to ensure a more accurate assessment of cognitive function. We developed ML models that integrate demographic information, health behaviors, disease history, and blood biomarkers to predict cognitive function at the 3-year follow-up point, specifically identifying individuals who are at risk of experiencing significant declines in cognitive function by that time. Specifically, the models aimed to identify individuals who would experience a significant decline in their MMSE scores (less than 18) by the end of the follow-up period. The performance of these models was evaluated using metrics including accuracy, sensitivity, and the area under the receiver operating characteristic curve.

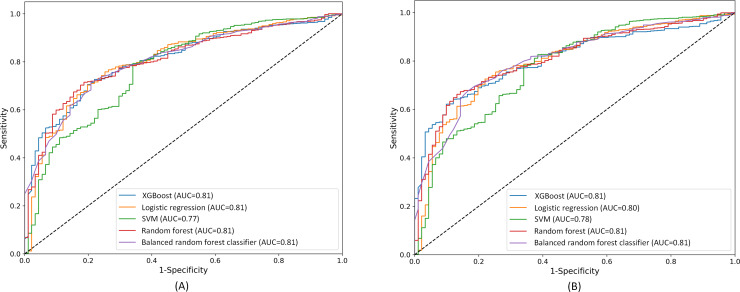
Results: All ML models outperformed the MMSE alone. The balanced random forest achieved the highest accuracy (88.5% in the internal test set and 88.7% in the prospective validation set), albeit with a lower sensitivity, while logistic regression recorded the highest sensitivity. SHAP (Shapley Additive Explanations) analysis identified instrumental activities of daily living, age, and baseline MMSE scores as the most influential predictors for cognitive impairment.

Conclusions: The incorporation of blood biomarkers, along with demographic, life behavior, and disease history into ML models offers a convenient, rapid, and accurate approach for the early identification of older adult individuals at risk of cognitive impairment. This method presents a valuable tool for health care professionals to facilitate timely interventions and underscores the importance of integrating diverse data types in predictive health models.

Abstract Image

Abstract Image

Abstract Image

利用机器学习预测中国纵向健康寿命调查中老年人的认知能力下降:模型开发和验证研究。
背景:认知障碍是阿尔茨海默病和其他形式痴呆的标志,它显著降低了老年人口的生活质量,并给全世界的家庭和卫生保健系统带来了相当大的负担。通过一种方便快捷的方法早期识别认知障碍风险个体对于及时实施干预措施至关重要。目的:本研究的目的是探索机器学习(ML)的应用,整合血液生物标志物、生活行为和疾病史来预测认知功能的下降。方法:本方法采用中国健康长寿纵向调查的数据。在2008-2009年、2011-2012年和2014年中国纵向健康寿命调查中,共有2688名年龄在65岁及以上的参与者被纳入研究,认知障碍被定义为最小精神状态检查(MMSE)得分低于18分。数据集分为训练集(n=1331)、内部测试集(n=333)和前瞻性验证集(n=1024)。基线MMSE评分低于18分的参与者被排除在队列之外,以确保更准确地评估认知功能。我们开发了ML模型,整合了人口统计信息、健康行为、疾病史和血液生物标志物,以预测3年随访时的认知功能,特别是识别到那时有认知功能显著下降风险的个体。具体来说,这些模型旨在识别那些在随访期结束时MMSE分数(低于18分)会显著下降的个体。这些模型的性能使用包括精度、灵敏度和接收器工作特性曲线下的面积等指标进行评估。结果:所有ML模型都优于单独的MMSE。尽管灵敏度较低,但平衡随机森林的准确度最高(内部测试集为88.5%,前瞻性验证集为88.7%),而逻辑回归的灵敏度最高。SHAP (Shapley Additive Explanations)分析确定日常生活的工具活动、年龄和基线MMSE评分是认知障碍最具影响力的预测因素。结论:将血液生物标志物、人口统计学、生活行为和病史纳入ML模型,为早期识别有认知障碍风险的老年人提供了一种方便、快速和准确的方法。这种方法为卫生保健专业人员提供了一种有价值的工具,以促进及时干预,并强调了在预测健康模型中集成各种数据类型的重要性。
本文章由计算机程序翻译,如有差异,请以英文原文为准。
求助全文
约1分钟内获得全文 求助全文
来源期刊
JMIR Aging
JMIR Aging Social Sciences-Health (social science)
CiteScore
6.50
自引率
4.10%
发文量
71
审稿时长
12 weeks
×
引用
GB/T 7714-2015
复制
MLA
复制
APA
复制
导出至
BibTeX EndNote RefMan NoteFirst NoteExpress
×
提示
您的信息不完整,为了账户安全,请先补充。
现在去补充
×
提示
您因"违规操作"
具体请查看互助需知
我知道了
×
提示
确定
请完成安全验证×
copy
已复制链接
快去分享给好友吧!
我知道了
右上角分享
点击右上角分享
0
联系我们:info@booksci.cn Book学术提供免费学术资源搜索服务,方便国内外学者检索中英文文献。致力于提供最便捷和优质的服务体验。 Copyright © 2023 布克学术 All rights reserved.
京ICP备2023020795号-1
ghs 京公网安备 11010802042870号
Book学术文献互助
Book学术文献互助群
群 号:604180095
Book学术官方微信