Impact of Enhanced Recovery After Surgery (ERAS) guidelines implementation in deep infiltrating endometriosis surgery. A systematic review and meta-analysis.

IF 1.4 Q3 OBSTETRICS & GYNECOLOGY
Athanasios Douligeris, Nikolaos Kathopoulis, Christina Karasmani, Konstantinos Kypriotis, Dimitrios Zacharakis, Anastasia Mortaki, Anastasia Prodromidou, Ioannis K Chatzipapas, Themos Grigoriadis, Athanasios Protopapas
{"title":"Impact of Enhanced Recovery After Surgery (ERAS) guidelines implementation in deep infiltrating endometriosis surgery. A systematic review and meta-analysis.","authors":"Athanasios Douligeris, Nikolaos Kathopoulis, Christina Karasmani, Konstantinos Kypriotis, Dimitrios Zacharakis, Anastasia Mortaki, Anastasia Prodromidou, Ioannis K Chatzipapas, Themos Grigoriadis, Athanasios Protopapas","doi":"10.52054/FVVO.2024.13599","DOIUrl":null,"url":null,"abstract":"<p><strong>Background: </strong>The complexity of surgical management in women with deep infiltrating endometriosis (DIE) demands the optimisation of perioperative care protocols to ensure optimal postoperative outcomes.</p><p><strong>Objectives: </strong>This meta-analysis evaluates the effectiveness of Enhanced Recovery After Surgery (ERAS) protocols compared to conventional perioperative care in patients undergoing surgery for DIE.</p><p><strong>Methods: </strong>A systematic literature search was conducted in Medline, Scopus, Google Scholar, Cochrane CENTRAL, and ClinicalTrials.gov databases from inception till August 2024. Meta-analysis was performed with RevMan 5.4 software (Copenhagen: The Nordic Cochrane Centre, The Cochrane Collaboration, 2020), with mean differences (MDs), pooled risk ratios (RR) and random-effects model. Quality assessment was performed using the Risk of Bias in Non-randomised Studies of Interventions and Risk of Bias tools.</p><p><strong>Main outcome measures: </strong>Primary outcomes assessed were postoperative length of hospital stay and readmission rates. Secondary outcomes included Clavien-Dindo grade I-II and grade III or higher complication rates.</p><p><strong>Results: </strong>Four comparative studies were included, encompassing a total of 1,662 patients. ERAS protocols significantly reduced the mean length of hospital stay [MD: -2.88 days; 95% confidence interval (CI): -5.34 to -0.41; <i>P</i>=0.02] without increasing readmission rates (RR: 1.13; 95% CI: 0.75-1.73; <i>P</i>=0.55). No significant differences were observed in Clavien-Dindo grade I-II complications (RR: 0.75; 95% CI: 0.49-1.16; <i>P</i>=0.20) or grade III or higher complications rates (RR: 0.60; 95% CI: 0.27-1.33; <i>P</i>=0.21).</p><p><strong>Conclusions: </strong>ERAS protocols appear to reduce the length of hospital stay without increasing complications or readmissions in DIE surgery. However, further large-scale randomised studies still needed to be conducted to confirm these findings.</p><p><strong>What is new?: </strong>The application of ERAS protocols is associated with better postoperative outcomes in patients undergoing major surgeries for DIE.</p>","PeriodicalId":46400,"journal":{"name":"Facts Views and Vision in ObGyn","volume":"17 1","pages":"15-29"},"PeriodicalIF":1.4000,"publicationDate":"2025-03-28","publicationTypes":"Journal Article","fieldsOfStudy":null,"isOpenAccess":false,"openAccessPdf":"https://www.ncbi.nlm.nih.gov/pmc/articles/PMC12042144/pdf/","citationCount":"0","resultStr":null,"platform":"Semanticscholar","paperid":null,"PeriodicalName":"Facts Views and Vision in ObGyn","FirstCategoryId":"1085","ListUrlMain":"https://doi.org/10.52054/FVVO.2024.13599","RegionNum":0,"RegionCategory":null,"ArticlePicture":[],"TitleCN":null,"AbstractTextCN":null,"PMCID":null,"EPubDate":"","PubModel":"","JCR":"Q3","JCRName":"OBSTETRICS & GYNECOLOGY","Score":null,"Total":0}
引用次数: 0

Abstract

Background: The complexity of surgical management in women with deep infiltrating endometriosis (DIE) demands the optimisation of perioperative care protocols to ensure optimal postoperative outcomes.

Objectives: This meta-analysis evaluates the effectiveness of Enhanced Recovery After Surgery (ERAS) protocols compared to conventional perioperative care in patients undergoing surgery for DIE.

Methods: A systematic literature search was conducted in Medline, Scopus, Google Scholar, Cochrane CENTRAL, and ClinicalTrials.gov databases from inception till August 2024. Meta-analysis was performed with RevMan 5.4 software (Copenhagen: The Nordic Cochrane Centre, The Cochrane Collaboration, 2020), with mean differences (MDs), pooled risk ratios (RR) and random-effects model. Quality assessment was performed using the Risk of Bias in Non-randomised Studies of Interventions and Risk of Bias tools.

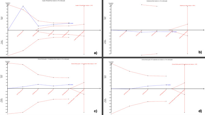
Main outcome measures: Primary outcomes assessed were postoperative length of hospital stay and readmission rates. Secondary outcomes included Clavien-Dindo grade I-II and grade III or higher complication rates.

Results: Four comparative studies were included, encompassing a total of 1,662 patients. ERAS protocols significantly reduced the mean length of hospital stay [MD: -2.88 days; 95% confidence interval (CI): -5.34 to -0.41; P=0.02] without increasing readmission rates (RR: 1.13; 95% CI: 0.75-1.73; P=0.55). No significant differences were observed in Clavien-Dindo grade I-II complications (RR: 0.75; 95% CI: 0.49-1.16; P=0.20) or grade III or higher complications rates (RR: 0.60; 95% CI: 0.27-1.33; P=0.21).

Conclusions: ERAS protocols appear to reduce the length of hospital stay without increasing complications or readmissions in DIE surgery. However, further large-scale randomised studies still needed to be conducted to confirm these findings.

What is new?: The application of ERAS protocols is associated with better postoperative outcomes in patients undergoing major surgeries for DIE.

Abstract Image

Abstract Image

Abstract Image

加强术后恢复(ERAS)指南在深度浸润性子宫内膜异位症手术中实施的影响。系统回顾和荟萃分析。
背景:深浸润性子宫内膜异位症(DIE)手术治疗的复杂性要求优化围手术期护理方案,以确保最佳的术后效果。目的:本荟萃分析评估了与传统围手术期护理相比,手术后增强恢复(ERAS)方案在DIE手术患者中的有效性。方法:系统检索Medline、Scopus、谷歌Scholar、Cochrane CENTRAL和ClinicalTrials.gov数据库自成立至2024年8月的文献。采用RevMan 5.4软件(Copenhagen: The Nordic Cochrane Centre, The Cochrane Collaboration, 2020)进行meta分析,采用平均差异(md)、合并风险比(RR)和随机效应模型。使用非随机干预研究的偏倚风险和偏倚风险工具进行质量评估。主要结局指标:评估的主要结局是术后住院时间和再入院率。次要结局包括Clavien-Dindo I-II级和III级或更高的并发症发生率。结果:纳入4项比较研究,共纳入1662例患者。ERAS方案显著缩短了平均住院时间[MD: -2.88天;95%置信区间(CI): -5.34 ~ -0.41;P=0.02]未增加再入院率(RR: 1.13;95% ci: 0.75-1.73;P = 0.55)。Clavien-Dindo I-II级并发症无显著性差异(RR: 0.75;95% ci: 0.49-1.16;P=0.20)或III级及以上并发症发生率(RR: 0.60;95% ci: 0.27-1.33;P = 0.21)。结论:ERAS方案似乎减少了死亡手术的住院时间,而没有增加并发症或再入院率。然而,仍需要进行进一步的大规模随机研究来证实这些发现。有什么新鲜事吗?ERAS方案的应用与接受DIE大手术的患者术后预后较好相关。
本文章由计算机程序翻译,如有差异,请以英文原文为准。
求助全文
约1分钟内获得全文 求助全文
来源期刊
Facts Views and Vision in ObGyn
Facts Views and Vision in ObGyn OBSTETRICS & GYNECOLOGY-
自引率
15.00%
发文量
59
×
引用
GB/T 7714-2015
复制
MLA
复制
APA
复制
导出至
BibTeX EndNote RefMan NoteFirst NoteExpress
×
提示
您的信息不完整,为了账户安全,请先补充。
现在去补充
×
提示
您因"违规操作"
具体请查看互助需知
我知道了
×
提示
确定
请完成安全验证×
copy
已复制链接
快去分享给好友吧!
我知道了
右上角分享
点击右上角分享
0
联系我们:info@booksci.cn Book学术提供免费学术资源搜索服务,方便国内外学者检索中英文文献。致力于提供最便捷和优质的服务体验。 Copyright © 2023 布克学术 All rights reserved.
京ICP备2023020795号-1
ghs 京公网安备 11010802042870号
Book学术文献互助
Book学术文献互助群
群 号:604180095
Book学术官方微信