Perioperative Intravenous Lidocaine Infusion Therapy as an Adjunct to Multimodal Analgesia for Adolescent Idiopathic Scoliosis Surgical Correction: A Double-Blind Randomized Controlled Trial.

IF 1.7 4区 医学 Q2 ANESTHESIOLOGY
Pediatric Anesthesia Pub Date : 2025-07-01 Epub Date: 2025-05-06 DOI:10.1111/pan.15124
Jessica Luo, Nicholas West, Samantha Pang, Aanisah Golam, Erin Adams, Matthias Görges, Roxane R Carr, Firoz Miyanji, Gillian R Lauder
{"title":"Perioperative Intravenous Lidocaine Infusion Therapy as an Adjunct to Multimodal Analgesia for Adolescent Idiopathic Scoliosis Surgical Correction: A Double-Blind Randomized Controlled Trial.","authors":"Jessica Luo, Nicholas West, Samantha Pang, Aanisah Golam, Erin Adams, Matthias Görges, Roxane R Carr, Firoz Miyanji, Gillian R Lauder","doi":"10.1111/pan.15124","DOIUrl":null,"url":null,"abstract":"<p><strong>Background: </strong>Posterior spinal instrumentation and fusion is a common surgical correction for adolescent idiopathic scoliosis. Preventative multimodal analgesia, including opioids, is required to minimize postoperative pain, but opioids are associated with dose-dependent side effects that may disrupt recovery.</p><p><strong>Aims: </strong>We hypothesized that the addition of 48-h perioperative intravenous lidocaine therapy to a multimodal analgesia regimen would reduce morphine utilization.</p><p><strong>Method: </strong>We conducted a double-blinded randomized controlled trial in 10-19 years old, ASA I-III, undergoing single-stage scoliosis correction. Participants were randomly allocated to the Intervention group (intravenous lidocaine 1 mg kg<sup>-1</sup> bolus at anesthesia start, followed by 2 mg kg<sup>-1</sup> h<sup>-1</sup> infusion for 8 h, followed by 1 mg kg<sup>-1</sup> h<sup>-1</sup> for 40 h) or Control (normal saline). Participants received standardized perioperative multimodal analgesia, including a postoperative morphine infusion with titration rules protocolized to self-reported pain scores. The primary outcome was 48-h morphine utilization; secondary outcomes were median and worst pain scores, and times to first stand, first walk > 15 steps, urinary catheter removal, termination of morphine infusion, and hospital discharge.</p><p><strong>Results: </strong>Data were available from 38 participants: 32 (84%) female; median (IQR) age 16.3 (14.9-17.2) years, with curve magnitude (Cobb angle) 62 (56-70) degrees. The 48-h morphine utilization did not differ between groups: Intervention median (IQR) 0.86 (0.73-1.05) mg kg<sup>-1</sup> versus Control 1.00 (0.77-1.18) mg kg<sup>-1</sup>; median difference -0.11 (95% CI -0.30 to 0.13) mg kg<sup>-1</sup>; p = 0.264. There were similarly no differences in morphine utilization at 12, 24, or 36 h or any secondary outcome, except the first postoperative pain score: Intervention 3/10 (1.75-5) versus Control 5/10 (3-7); median difference -2 (95% CI 0 to -3); p = 0.035. Three cases with mild symptoms of suspected local anesthetic systemic toxicity were observed in the Intervention group.</p><p><strong>Conclusions: </strong>We found no evidence to support the adjunctive use of 48-h perioperative intravenous lidocaine therapy in adolescents undergoing scoliosis correction in which effective multimodal analgesia was adopted.</p><p><strong>Trial registration: </strong>ClinicalTrials.gov identifier: NCT04069169.</p>","PeriodicalId":19745,"journal":{"name":"Pediatric Anesthesia","volume":" ","pages":"552-561"},"PeriodicalIF":1.7000,"publicationDate":"2025-07-01","publicationTypes":"Journal Article","fieldsOfStudy":null,"isOpenAccess":false,"openAccessPdf":"https://www.ncbi.nlm.nih.gov/pmc/articles/PMC12149479/pdf/","citationCount":"0","resultStr":null,"platform":"Semanticscholar","paperid":null,"PeriodicalName":"Pediatric Anesthesia","FirstCategoryId":"3","ListUrlMain":"https://doi.org/10.1111/pan.15124","RegionNum":4,"RegionCategory":"医学","ArticlePicture":[],"TitleCN":null,"AbstractTextCN":null,"PMCID":null,"EPubDate":"2025/5/6 0:00:00","PubModel":"Epub","JCR":"Q2","JCRName":"ANESTHESIOLOGY","Score":null,"Total":0}
引用次数: 0

Abstract

Background: Posterior spinal instrumentation and fusion is a common surgical correction for adolescent idiopathic scoliosis. Preventative multimodal analgesia, including opioids, is required to minimize postoperative pain, but opioids are associated with dose-dependent side effects that may disrupt recovery.

Aims: We hypothesized that the addition of 48-h perioperative intravenous lidocaine therapy to a multimodal analgesia regimen would reduce morphine utilization.

Method: We conducted a double-blinded randomized controlled trial in 10-19 years old, ASA I-III, undergoing single-stage scoliosis correction. Participants were randomly allocated to the Intervention group (intravenous lidocaine 1 mg kg-1 bolus at anesthesia start, followed by 2 mg kg-1 h-1 infusion for 8 h, followed by 1 mg kg-1 h-1 for 40 h) or Control (normal saline). Participants received standardized perioperative multimodal analgesia, including a postoperative morphine infusion with titration rules protocolized to self-reported pain scores. The primary outcome was 48-h morphine utilization; secondary outcomes were median and worst pain scores, and times to first stand, first walk > 15 steps, urinary catheter removal, termination of morphine infusion, and hospital discharge.

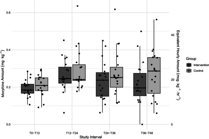
Results: Data were available from 38 participants: 32 (84%) female; median (IQR) age 16.3 (14.9-17.2) years, with curve magnitude (Cobb angle) 62 (56-70) degrees. The 48-h morphine utilization did not differ between groups: Intervention median (IQR) 0.86 (0.73-1.05) mg kg-1 versus Control 1.00 (0.77-1.18) mg kg-1; median difference -0.11 (95% CI -0.30 to 0.13) mg kg-1; p = 0.264. There were similarly no differences in morphine utilization at 12, 24, or 36 h or any secondary outcome, except the first postoperative pain score: Intervention 3/10 (1.75-5) versus Control 5/10 (3-7); median difference -2 (95% CI 0 to -3); p = 0.035. Three cases with mild symptoms of suspected local anesthetic systemic toxicity were observed in the Intervention group.

Conclusions: We found no evidence to support the adjunctive use of 48-h perioperative intravenous lidocaine therapy in adolescents undergoing scoliosis correction in which effective multimodal analgesia was adopted.

Trial registration: ClinicalTrials.gov identifier: NCT04069169.

Abstract Image

Abstract Image

Abstract Image

围手术期静脉输注利多卡因辅助多模式镇痛治疗青少年特发性脊柱侧凸手术矫正:一项双盲随机对照试验。
背景:后路脊柱内固定融合是青少年特发性脊柱侧凸常见的手术矫正方法。预防性多模式镇痛,包括阿片类药物,是必要的,以尽量减少术后疼痛,但阿片类药物与剂量依赖性副作用相关,可能会破坏恢复。目的:我们假设在多模式镇痛方案中增加48小时围手术期静脉利多卡因治疗可以减少吗啡的使用。方法:我们进行了一项双盲随机对照试验,10-19岁,ASA I-III,接受单期脊柱侧凸矫正。参与者被随机分配到干预组(麻醉开始时静脉注射利多卡因1mg kg-1,随后2mg kg-1 h-1输注8小时,随后1mg kg-1 h-1输注40小时)或对照组(生理盐水)。参与者接受了标准化的围手术期多模式镇痛,包括术后吗啡滴注,滴注规则与自我报告的疼痛评分一致。主要观察指标为48小时吗啡使用情况;次要结局是中位和最严重疼痛评分、首次站立时间、首次行走时间(bbb15步)、尿管拔除、吗啡输注终止和出院。结果:来自38名参与者的数据:32名(84%)女性;中位(IQR)年龄16.3(14.9 ~ 17.2)岁,Cobb角(Cobb角)62(56 ~ 70)度。48小时吗啡使用组间无差异:干预中位数(IQR)为0.86 (0.73-1.05)mg kg-1,对照组为1.00 (0.77-1.18)mg kg-1;中位差-0.11 (95% CI -0.30 ~ 0.13) mg kg-1;p = 0.264。同样,在12、24和36小时吗啡使用或任何次要结局方面也没有差异,除了第一次术后疼痛评分:干预3/10(1.75-5)与对照组5/10 (3-7);中位差-2 (95% CI 0 ~ -3);p = 0.035。干预组有3例疑似局麻全身毒性的轻度症状。结论:我们没有发现证据支持青少年脊柱侧凸矫正术围手术期48小时静脉注射利多卡因辅助治疗,其中采用了有效的多模式镇痛。试验注册:ClinicalTrials.gov标识符:NCT04069169。
本文章由计算机程序翻译,如有差异,请以英文原文为准。
求助全文
约1分钟内获得全文 求助全文
来源期刊
Pediatric Anesthesia
Pediatric Anesthesia 医学-麻醉学
CiteScore
3.20
自引率
11.80%
发文量
222
审稿时长
3-8 weeks
期刊介绍: Devoted to the dissemination of research of interest and importance to practising anesthetists everywhere, the scientific and clinical content of Pediatric Anesthesia covers a wide selection of medical disciplines in all areas relevant to paediatric anaesthesia, pain management and peri-operative medicine. The International Editorial Board is supported by the Editorial Advisory Board and a team of Senior Advisors, to ensure that the journal is publishing the best work from the front line of research in the field. The journal publishes high-quality, relevant scientific and clinical research papers, reviews, commentaries, pro-con debates, historical vignettes, correspondence, case presentations and book reviews.
×
引用
GB/T 7714-2015
复制
MLA
复制
APA
复制
导出至
BibTeX EndNote RefMan NoteFirst NoteExpress
×
提示
您的信息不完整,为了账户安全,请先补充。
现在去补充
×
提示
您因"违规操作"
具体请查看互助需知
我知道了
×
提示
确定
请完成安全验证×
copy
已复制链接
快去分享给好友吧!
我知道了
右上角分享
点击右上角分享
0
联系我们:info@booksci.cn Book学术提供免费学术资源搜索服务,方便国内外学者检索中英文文献。致力于提供最便捷和优质的服务体验。 Copyright © 2023 布克学术 All rights reserved.
京ICP备2023020795号-1
ghs 京公网安备 11010802042870号
Book学术文献互助
Book学术文献互助群
群 号:604180095
Book学术官方微信