Sexual Response Problems and Their Correlates Among Older Adults From the Sexual Well-Being (SWELL) Study in China: Multicenter Cross-Sectional Study.

IF 4.8 Q1 GERIATRICS & GERONTOLOGY
JMIR Aging Pub Date : 2025-05-01 DOI:10.2196/66772
Bingyu Liang, Chen Xu, Bingyi Wang, Xinyi Li, Xin Peng, Ying Wang, Hui Li, Yong Lu, Xiaopei Shen, Lin Ouyang, Guohui Wu, Maohe Yu, Jiewei Liu, Xiaojun Meng, Yong Cai, Huachun Zou
{"title":"Sexual Response Problems and Their Correlates Among Older Adults From the Sexual Well-Being (SWELL) Study in China: Multicenter Cross-Sectional Study.","authors":"Bingyu Liang, Chen Xu, Bingyi Wang, Xinyi Li, Xin Peng, Ying Wang, Hui Li, Yong Lu, Xiaopei Shen, Lin Ouyang, Guohui Wu, Maohe Yu, Jiewei Liu, Xiaojun Meng, Yong Cai, Huachun Zou","doi":"10.2196/66772","DOIUrl":null,"url":null,"abstract":"<p><strong>Background: </strong>Sexual response problems among older adults are not an inevitable consequence of aging but rather a response to sexual health. However, there is a lack of recent and multicenter data on this issue in China.</p><p><strong>Objective: </strong>This study aims to assess the prevalence of sexual response problems and their correlates among older adults.</p><p><strong>Methods: </strong>A multicenter cross-sectional study on sexual well-being was conducted among individuals aged more than 50 years in China between June 2020 and December 2022. Data on sociodemographics, physical health, psychological health, and sexual response problems were collected through face-to-face interviews. We included sexually active older adults who reported either vaginal, oral, or anal sex in the past 12 months for this study. Sexual response problems included a lack of interest or enjoyment in sex; feeling anxious, having pain, or no excitement during sex; no desire or orgasms; and the lack of lubrication in sex. The stepwise logistic regression models were used to examine the correlates of sexual response problems.</p><p><strong>Results: </strong>A total of 1317 sexually active older adults (842 men, 475 women) were included. Older women reported a higher prevalence of sexual response problems than older men (52.0% [247/475] vs 43.1% [363/842]). Common factors associated with at least one of the sexual response problems included living in rural areas (men: adjusted odds ratio [aOR]=0.31, 95% CI 0.22-0.43; women: aOR=0.29, 95% CI 0.19-0.43) and abnormal BMI (aOR=men: 1.52, 95% CI1.11-2.07; women: aOR=2.19, 95% CI 1.47-3.28). Among older men, sleep quality (aOR=1.87, 95% CI 1.30-2.68), emotional connection with sex partners during sexual intercourse (aOR=0.69, 95% CI 0.50-0.96), frequently experienced fatigue (aOR=2.47, 95% CI 1.59-3.90), anxiety (aOR=4.26, 95% CI 1.12-21.27), and seeking professional help for sex life (aOR=1.58, 95% CI 1.14-2.21) were associated with sexual response problems. Among older women, sexual response problems were associated with a lack of physical exercise (aOR=1.69, 95% CI 1.13-2.54), poor sex-partner relationships (aOR=1.70, 95% CI 1.12-2.60), and depressive symptoms (aOR=3.18, 95% CI 1.18-10.24).</p><p><strong>Conclusions: </strong>Sexual response problems are common among older adults. These problems were associated with adverse physical health, mental health, and poor sex-partner relationships. These findings highlight the importance for health care providers to take into account the physical and psychological health of older adults, as well as the quality of their relationships with sexual partners when diagnosing and addressing sexual response problems.</p>","PeriodicalId":36245,"journal":{"name":"JMIR Aging","volume":"8 ","pages":"e66772"},"PeriodicalIF":4.8000,"publicationDate":"2025-05-01","publicationTypes":"Journal Article","fieldsOfStudy":null,"isOpenAccess":false,"openAccessPdf":"https://www.ncbi.nlm.nih.gov/pmc/articles/PMC12061351/pdf/","citationCount":"0","resultStr":null,"platform":"Semanticscholar","paperid":null,"PeriodicalName":"JMIR Aging","FirstCategoryId":"1085","ListUrlMain":"https://doi.org/10.2196/66772","RegionNum":0,"RegionCategory":null,"ArticlePicture":[],"TitleCN":null,"AbstractTextCN":null,"PMCID":null,"EPubDate":"","PubModel":"","JCR":"Q1","JCRName":"GERIATRICS & GERONTOLOGY","Score":null,"Total":0}
引用次数: 0

Abstract

Background: Sexual response problems among older adults are not an inevitable consequence of aging but rather a response to sexual health. However, there is a lack of recent and multicenter data on this issue in China.

Objective: This study aims to assess the prevalence of sexual response problems and their correlates among older adults.

Methods: A multicenter cross-sectional study on sexual well-being was conducted among individuals aged more than 50 years in China between June 2020 and December 2022. Data on sociodemographics, physical health, psychological health, and sexual response problems were collected through face-to-face interviews. We included sexually active older adults who reported either vaginal, oral, or anal sex in the past 12 months for this study. Sexual response problems included a lack of interest or enjoyment in sex; feeling anxious, having pain, or no excitement during sex; no desire or orgasms; and the lack of lubrication in sex. The stepwise logistic regression models were used to examine the correlates of sexual response problems.

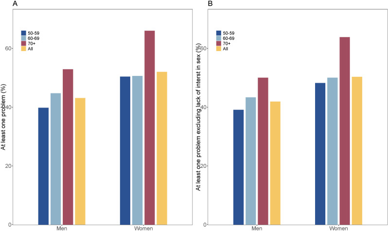
Results: A total of 1317 sexually active older adults (842 men, 475 women) were included. Older women reported a higher prevalence of sexual response problems than older men (52.0% [247/475] vs 43.1% [363/842]). Common factors associated with at least one of the sexual response problems included living in rural areas (men: adjusted odds ratio [aOR]=0.31, 95% CI 0.22-0.43; women: aOR=0.29, 95% CI 0.19-0.43) and abnormal BMI (aOR=men: 1.52, 95% CI1.11-2.07; women: aOR=2.19, 95% CI 1.47-3.28). Among older men, sleep quality (aOR=1.87, 95% CI 1.30-2.68), emotional connection with sex partners during sexual intercourse (aOR=0.69, 95% CI 0.50-0.96), frequently experienced fatigue (aOR=2.47, 95% CI 1.59-3.90), anxiety (aOR=4.26, 95% CI 1.12-21.27), and seeking professional help for sex life (aOR=1.58, 95% CI 1.14-2.21) were associated with sexual response problems. Among older women, sexual response problems were associated with a lack of physical exercise (aOR=1.69, 95% CI 1.13-2.54), poor sex-partner relationships (aOR=1.70, 95% CI 1.12-2.60), and depressive symptoms (aOR=3.18, 95% CI 1.18-10.24).

Conclusions: Sexual response problems are common among older adults. These problems were associated with adverse physical health, mental health, and poor sex-partner relationships. These findings highlight the importance for health care providers to take into account the physical and psychological health of older adults, as well as the quality of their relationships with sexual partners when diagnosing and addressing sexual response problems.

Abstract Image

Abstract Image

中国老年人性反应问题及其相关因素:多中心横断面研究
背景:老年人的性反应问题不是衰老的必然结果,而是对性健康的反应。然而,中国缺乏关于这一问题的近期和多中心数据。目的:本研究旨在评估老年人性反应问题的患病率及其相关因素。方法:在2020年6月至2022年12月期间,对中国50岁以上人群进行了多中心横断面研究。通过面对面访谈收集社会人口统计、身体健康、心理健康和性反应问题的数据。在这项研究中,我们纳入了在过去12个月内报告有阴道、口交或肛交的性生活活跃的老年人。性反应问题包括对性缺乏兴趣或享受;性爱时感到焦虑、疼痛或不兴奋的;没有欲望或性高潮;性生活中缺乏润滑。采用逐步逻辑回归模型检验性反应问题的相关因素。结果:共纳入1317名性活跃老年人(男性842人,女性475人)。老年女性报告的性反应问题患病率高于老年男性(52.0% [247/475]vs 43.1%[363/842])。与至少一种性反应问题相关的常见因素包括生活在农村地区(男性:调整后优势比[aOR]=0.31, 95% CI 0.22-0.43;女性:aOR=0.29, 95% CI 0.19-0.43)和异常BMI (aOR=男性:1.52,95% CI1.11-2.07;女性:aOR=2.19, 95% CI 1.47-3.28)。在老年男性中,睡眠质量(aOR=1.87, 95% CI 1.30-2.68)、性交时与性伴侣的情感联系(aOR=0.69, 95% CI 0.50-0.96)、经常感到疲劳(aOR=2.47, 95% CI 1.59-3.90)、焦虑(aOR=4.26, 95% CI 1.12-21.27)和寻求性生活专业帮助(aOR=1.58, 95% CI 1.14-2.21)与性反应问题相关。在老年妇女中,性反应问题与缺乏体育锻炼(aOR=1.69, 95% CI 1.13-2.54)、性伴侣关系不佳(aOR=1.70, 95% CI 1.12-2.60)和抑郁症状(aOR=3.18, 95% CI 1.18-10.24)相关。结论:性反应问题在老年人中较为常见。这些问题与不良的身体健康、精神健康和不良的性伴侣关系有关。这些发现强调了保健提供者在诊断和处理性反应问题时考虑老年人的身心健康以及他们与性伴侣关系的质量的重要性。
本文章由计算机程序翻译,如有差异,请以英文原文为准。
求助全文
约1分钟内获得全文 求助全文
来源期刊
JMIR Aging
JMIR Aging Social Sciences-Health (social science)
CiteScore
6.50
自引率
4.10%
发文量
71
审稿时长
12 weeks
×
引用
GB/T 7714-2015
复制
MLA
复制
APA
复制
导出至
BibTeX EndNote RefMan NoteFirst NoteExpress
×
提示
您的信息不完整,为了账户安全,请先补充。
现在去补充
×
提示
您因"违规操作"
具体请查看互助需知
我知道了
×
提示
确定
请完成安全验证×
copy
已复制链接
快去分享给好友吧!
我知道了
右上角分享
点击右上角分享
0
联系我们:info@booksci.cn Book学术提供免费学术资源搜索服务,方便国内外学者检索中英文文献。致力于提供最便捷和优质的服务体验。 Copyright © 2023 布克学术 All rights reserved.
京ICP备2023020795号-1
ghs 京公网安备 11010802042870号
Book学术文献互助
Book学术文献互助群
群 号:604180095
Book学术官方微信