Four-gene Prognostic Signature and Risk of Brain Metastasis of Lung Adenocarcinoma.

IF 3.2 2区 医学 Q3 BIOCHEMISTRY & MOLECULAR BIOLOGY
Molecular Carcinogenesis Pub Date : 2025-07-01 Epub Date: 2025-04-13 DOI:10.1002/mc.23922
Zheng Gong, Fengyuan Yu, Chen Li, Bingying Zhao, Miaowei Wen, Shanshan Zhang, Zhezhe Xu, Ailu Wu, Rukun Zang, Yuan Li, Hongwei Li, Yipeng Song
{"title":"Four-gene Prognostic Signature and Risk of Brain Metastasis of Lung Adenocarcinoma.","authors":"Zheng Gong, Fengyuan Yu, Chen Li, Bingying Zhao, Miaowei Wen, Shanshan Zhang, Zhezhe Xu, Ailu Wu, Rukun Zang, Yuan Li, Hongwei Li, Yipeng Song","doi":"10.1002/mc.23922","DOIUrl":null,"url":null,"abstract":"<p><p>Brain metastasis has a high incidence and poor prognosis in lung adenocarcinoma (LUAD). We sought to identify genes associated with LUAD brain metastasis and with the prognosis of patients with LUAD. Differential gene expression analysis was performed on LUAD patients with and without distant metastasis from the Cancer Genome Atlas (TCGA) database and LUAD patients with and without brain metastasis from the GEO GSE14108 and GSE10072 data sets. Subsequently, a LASSO model was constructed using the genes differentially expressed in both analyses to screen for prognostic genes. A risk model based on 11 genes was established by screening prognostic genes. Subsequently, a prognostic prediction model was developed based on the risk model. Expression and survival analysis of the identified genes in metastatic LUAD was assessed. As a result, differential gene expression analysis indicated that compared to primary lung cancer, the expression of CMAS, NEK2, and SHCBP1 was significantly upregulated in metastatic lung cancer, whereas the expression of IL2 was significantly downregulated. Additionally, these genes exhibited strong correlations with the overall survival of LUAD patients. Finally, compared with LUAD patients without brain metastasis, immunohistochemistry analysis verified CMAS, NEK2, and SHCBP1 exhibited increased expression in LUAD with brain metastasis.</p>","PeriodicalId":19003,"journal":{"name":"Molecular Carcinogenesis","volume":" ","pages":"1209-1221"},"PeriodicalIF":3.2000,"publicationDate":"2025-07-01","publicationTypes":"Journal Article","fieldsOfStudy":null,"isOpenAccess":false,"openAccessPdf":"https://www.ncbi.nlm.nih.gov/pmc/articles/PMC12183640/pdf/","citationCount":"0","resultStr":null,"platform":"Semanticscholar","paperid":null,"PeriodicalName":"Molecular Carcinogenesis","FirstCategoryId":"3","ListUrlMain":"https://doi.org/10.1002/mc.23922","RegionNum":2,"RegionCategory":"医学","ArticlePicture":[],"TitleCN":null,"AbstractTextCN":null,"PMCID":null,"EPubDate":"2025/4/13 0:00:00","PubModel":"Epub","JCR":"Q3","JCRName":"BIOCHEMISTRY & MOLECULAR BIOLOGY","Score":null,"Total":0}
引用次数: 0

Abstract

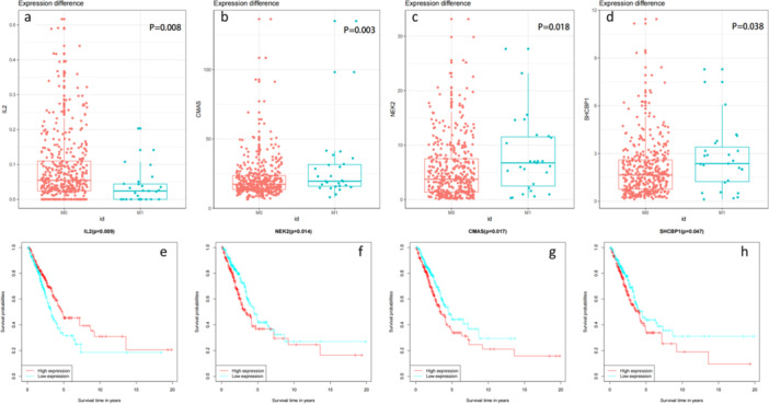
Brain metastasis has a high incidence and poor prognosis in lung adenocarcinoma (LUAD). We sought to identify genes associated with LUAD brain metastasis and with the prognosis of patients with LUAD. Differential gene expression analysis was performed on LUAD patients with and without distant metastasis from the Cancer Genome Atlas (TCGA) database and LUAD patients with and without brain metastasis from the GEO GSE14108 and GSE10072 data sets. Subsequently, a LASSO model was constructed using the genes differentially expressed in both analyses to screen for prognostic genes. A risk model based on 11 genes was established by screening prognostic genes. Subsequently, a prognostic prediction model was developed based on the risk model. Expression and survival analysis of the identified genes in metastatic LUAD was assessed. As a result, differential gene expression analysis indicated that compared to primary lung cancer, the expression of CMAS, NEK2, and SHCBP1 was significantly upregulated in metastatic lung cancer, whereas the expression of IL2 was significantly downregulated. Additionally, these genes exhibited strong correlations with the overall survival of LUAD patients. Finally, compared with LUAD patients without brain metastasis, immunohistochemistry analysis verified CMAS, NEK2, and SHCBP1 exhibited increased expression in LUAD with brain metastasis.

Abstract Image

Abstract Image

Abstract Image

肺腺癌脑转移的四基因预后特征及风险分析。
肺腺癌(LUAD)脑转移发生率高,预后差。我们试图确定与LUAD脑转移和LUAD患者预后相关的基因。对肿瘤基因组图谱(TCGA)数据库中伴有和不伴有远处转移的LUAD患者以及GEO GSE14108和GSE10072数据库中伴有和不伴有脑转移的LUAD患者进行差异基因表达分析。随后,使用两种分析中差异表达的基因构建LASSO模型以筛选预后基因。通过筛选预后基因,建立基于11个基因的风险模型。随后,在风险模型的基础上建立了预后预测模型。评估转移性LUAD中鉴定基因的表达和生存分析。因此,差异基因表达分析表明,与原发性肺癌相比,转移性肺癌中CMAS、NEK2和SHCBP1的表达显著上调,而IL2的表达显著下调。此外,这些基因与LUAD患者的总体生存率有很强的相关性。最后,与无脑转移的LUAD患者相比,免疫组织化学分析证实CMAS、NEK2和SHCBP1在LUAD脑转移患者中表达增加。
本文章由计算机程序翻译,如有差异,请以英文原文为准。
求助全文
约1分钟内获得全文 求助全文
来源期刊
Molecular Carcinogenesis
Molecular Carcinogenesis 医学-生化与分子生物学
CiteScore
7.30
自引率
2.20%
发文量
112
审稿时长
2 months
期刊介绍: Molecular Carcinogenesis publishes articles describing discoveries in basic and clinical science of the mechanisms involved in chemical-, environmental-, physical (e.g., radiation, trauma)-, infection and inflammation-associated cancer development, basic mechanisms of cancer prevention and therapy, the function of oncogenes and tumors suppressors, and the role of biomarkers for cancer risk prediction, molecular diagnosis and prognosis.
×
引用
GB/T 7714-2015
复制
MLA
复制
APA
复制
导出至
BibTeX EndNote RefMan NoteFirst NoteExpress
×
提示
您的信息不完整,为了账户安全,请先补充。
现在去补充
×
提示
您因"违规操作"
具体请查看互助需知
我知道了
×
提示
确定
请完成安全验证×
copy
已复制链接
快去分享给好友吧!
我知道了
右上角分享
点击右上角分享
0
联系我们:info@booksci.cn Book学术提供免费学术资源搜索服务,方便国内外学者检索中英文文献。致力于提供最便捷和优质的服务体验。 Copyright © 2023 布克学术 All rights reserved.
京ICP备2023020795号-1
ghs 京公网安备 11010802042870号
Book学术文献互助
Book学术文献互助群
群 号:604180095
Book学术官方微信