Capillary Glycated Hemoglobin A1c Percentiles and the Risk Factors Associated with Abnormal HbA1c among Chinese Children Aged 3-12 Years.

IF 5.6 3区 医学 Q2 ENDOCRINOLOGY & METABOLISM
Pediatric Diabetes Pub Date : 2024-07-29 eCollection Date: 2024-01-01 DOI:10.1155/2024/8333590
Longbing Ren, Jing Yang, Lezhou Wu, Yan Gao, Zhitong Zhou, Pin Li, Zhiping Shen, Juanli Wu, Jue Li, Lijuan Zhang
{"title":"Capillary Glycated Hemoglobin A1c Percentiles and the Risk Factors Associated with Abnormal HbA1c among Chinese Children Aged 3-12 Years.","authors":"Longbing Ren, Jing Yang, Lezhou Wu, Yan Gao, Zhitong Zhou, Pin Li, Zhiping Shen, Juanli Wu, Jue Li, Lijuan Zhang","doi":"10.1155/2024/8333590","DOIUrl":null,"url":null,"abstract":"<p><strong>Objective: </strong>Capillary glycated hemoglobin (HbA1c) may enhance screening for childhood prediabetes and diabetes, but variations in this parameter remain unclear. We aimed to develop percentiles of HbA1c and explore the influence of various variables on HbA1c level among Chinese children. <i>Study Design and Methods</i>. The data were derived from the Shanghai Children's Health and Nutrition Community-based Epidemiologic Survey (CHANCE). A total of 4,615 children aged 3-12 years were included. The capillary HbA1c level was measured using point-of-care (POC) testing analyzers. Abnormal HbA1c level was identified as HbA1c (%) value equal to or above the 95th percentile of the nomograms.</p><p><strong>Results: </strong>The mean HbA1c value was 5.30% (SD = 0.50%). The age-specific 95th percentile thresholds of HbA1c (%) ranged from 5.9 to 6.2 among all children. In the whole participants, body mass index (BMI), total cholesterol (TC), outdoor activity frequency, and daily sleep duration were positively associated with high HbA1c. Among preschool-aged children, TC and sleep duration ≥10 hr per day were associated with increased risk of being in the higher HbA1c (both <i>P</i> < 0.05). Among the school-aged group, positive associations with HbA1c levels were identified for TC, living with grandparents, frequency of outdoor activity, and sleep duration (all <i>P</i> < 0.05).</p><p><strong>Conclusions: </strong>The present study established capillary HbA1c percentiles based on a large sample of Chinese children among aged 3-12 years. Daily sleep duration and frequency of outdoor activity, BMI, and TC were found to be associated with high HbA1c. Actions of successful public strategies that focus on promoting a healthy lifestyle, including regular physical exercise to reduce weight among children, are needed. <i>Key Points</i>. We used POC testing for capillary HbA1c with a finger-stick sample which may offer an opportunity to enhance screening and early diagnosis for childhood and adolescent diabetes, which was suggested as an essential premise to determine the subject's glycemic status by the American Diabetes Association (ADA). Capillary HbA1c levels fluctuate during childhood, while there has been no population-based study on HbA1c reference values in Chinese youths.</p>","PeriodicalId":19797,"journal":{"name":"Pediatric Diabetes","volume":"2024 ","pages":"8333590"},"PeriodicalIF":5.6000,"publicationDate":"2024-07-29","publicationTypes":"Journal Article","fieldsOfStudy":null,"isOpenAccess":false,"openAccessPdf":"https://www.ncbi.nlm.nih.gov/pmc/articles/PMC12017142/pdf/","citationCount":"0","resultStr":null,"platform":"Semanticscholar","paperid":null,"PeriodicalName":"Pediatric Diabetes","FirstCategoryId":"3","ListUrlMain":"https://doi.org/10.1155/2024/8333590","RegionNum":3,"RegionCategory":"医学","ArticlePicture":[],"TitleCN":null,"AbstractTextCN":null,"PMCID":null,"EPubDate":"2024/1/1 0:00:00","PubModel":"eCollection","JCR":"Q2","JCRName":"ENDOCRINOLOGY & METABOLISM","Score":null,"Total":0}
引用次数: 0

Abstract

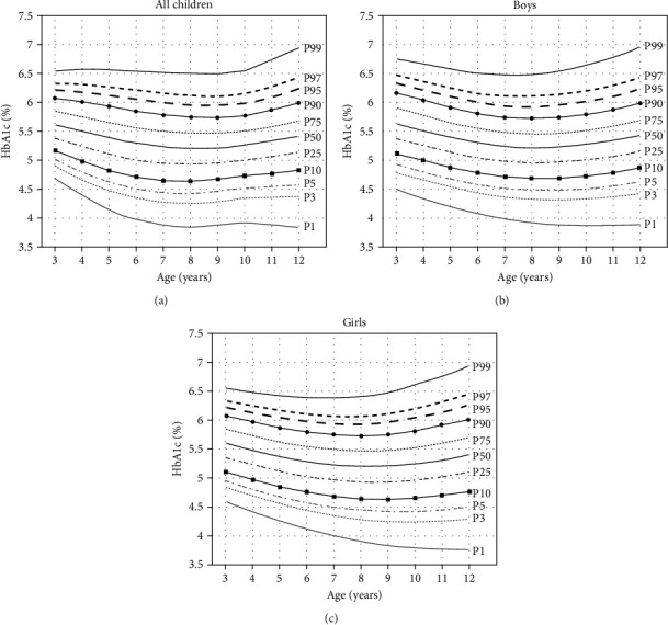
Objective: Capillary glycated hemoglobin (HbA1c) may enhance screening for childhood prediabetes and diabetes, but variations in this parameter remain unclear. We aimed to develop percentiles of HbA1c and explore the influence of various variables on HbA1c level among Chinese children. Study Design and Methods. The data were derived from the Shanghai Children's Health and Nutrition Community-based Epidemiologic Survey (CHANCE). A total of 4,615 children aged 3-12 years were included. The capillary HbA1c level was measured using point-of-care (POC) testing analyzers. Abnormal HbA1c level was identified as HbA1c (%) value equal to or above the 95th percentile of the nomograms.

Results: The mean HbA1c value was 5.30% (SD = 0.50%). The age-specific 95th percentile thresholds of HbA1c (%) ranged from 5.9 to 6.2 among all children. In the whole participants, body mass index (BMI), total cholesterol (TC), outdoor activity frequency, and daily sleep duration were positively associated with high HbA1c. Among preschool-aged children, TC and sleep duration ≥10 hr per day were associated with increased risk of being in the higher HbA1c (both P < 0.05). Among the school-aged group, positive associations with HbA1c levels were identified for TC, living with grandparents, frequency of outdoor activity, and sleep duration (all P < 0.05).

Conclusions: The present study established capillary HbA1c percentiles based on a large sample of Chinese children among aged 3-12 years. Daily sleep duration and frequency of outdoor activity, BMI, and TC were found to be associated with high HbA1c. Actions of successful public strategies that focus on promoting a healthy lifestyle, including regular physical exercise to reduce weight among children, are needed. Key Points. We used POC testing for capillary HbA1c with a finger-stick sample which may offer an opportunity to enhance screening and early diagnosis for childhood and adolescent diabetes, which was suggested as an essential premise to determine the subject's glycemic status by the American Diabetes Association (ADA). Capillary HbA1c levels fluctuate during childhood, while there has been no population-based study on HbA1c reference values in Chinese youths.

Abstract Image

Abstract Image

Abstract Image

中国3-12岁儿童毛细血管糖化血红蛋白A1c百分位数及与HbA1c异常相关的危险因素
目的:毛细管糖化血红蛋白(HbA1c)可以增强儿童糖尿病前期和糖尿病的筛查,但该参数的变化尚不清楚。我们的目的是建立HbA1c的百分位数,并探讨各种变量对中国儿童HbA1c水平的影响。研究设计与方法。数据来源于上海市儿童健康与营养社区流行病学调查(CHANCE)。共包括4,615名3-12岁的儿童。采用即时护理(POC)检测分析仪检测毛细血管HbA1c水平。当HbA1c(%)值等于或高于nomogram第95百分位时,判定HbA1c水平异常。结果:HbA1c平均值为5.30% (SD = 0.50%)。在所有儿童中,HbA1c的年龄特异性95百分位阈值(%)从5.9到6.2不等。在所有参与者中,身体质量指数(BMI)、总胆固醇(TC)、户外活动频率和每日睡眠时间与高HbA1c呈正相关。在学龄前儿童中,TC和每天睡眠时间≥10小时与HbA1c升高的风险增加相关(均P < 0.05)。在学龄组中,TC、与祖父母同住、户外活动频率和睡眠时间与HbA1c水平呈正相关(均P < 0.05)。结论:本研究基于中国3-12岁儿童的大样本建立了毛细管HbA1c百分位数。发现每日睡眠时间和户外活动频率、BMI和TC与高HbA1c有关。需要采取成功的公共战略,重点是促进健康的生活方式,包括定期进行体育锻炼以减轻儿童的体重。要点。我们采用手指棒取样的POC检测毛细血管HbA1c,这可能为加强儿童和青少年糖尿病的筛查和早期诊断提供机会,这是美国糖尿病协会(ADA)建议的确定受试者血糖状态的必要前提。儿童时期毛细血管HbA1c水平波动,而中国青少年HbA1c参考值尚未有基于人群的研究。
本文章由计算机程序翻译,如有差异,请以英文原文为准。
求助全文
约1分钟内获得全文 求助全文
来源期刊
Pediatric Diabetes
Pediatric Diabetes 医学-内分泌学与代谢
CiteScore
6.60
自引率
14.70%
发文量
141
审稿时长
4-8 weeks
期刊介绍: Pediatric Diabetes is a bi-monthly journal devoted to disseminating new knowledge relating to the epidemiology, etiology, pathogenesis, management, complications and prevention of diabetes in childhood and adolescence. The aim of the journal is to become the leading vehicle for international dissemination of research and practice relating to diabetes in youth. Papers are considered for publication based on the rigor of scientific approach, novelty, and importance for understanding mechanisms involved in the epidemiology and etiology of this disease, especially its molecular, biochemical and physiological aspects. Work relating to the clinical presentation, course, management and outcome of diabetes, including its physical and emotional sequelae, is considered. In vitro studies using animal or human tissues, whole animal and clinical studies in humans are also considered. The journal reviews full-length papers, preliminary communications with important new information, clinical reports, and reviews of major topics. Invited editorials, commentaries, and perspectives are a regular feature. The editors, based in the USA, Europe, and Australasia, maintain regular communications to assure rapid turnaround time of submitted manuscripts.
×
引用
GB/T 7714-2015
复制
MLA
复制
APA
复制
导出至
BibTeX EndNote RefMan NoteFirst NoteExpress
×
提示
您的信息不完整,为了账户安全,请先补充。
现在去补充
×
提示
您因"违规操作"
具体请查看互助需知
我知道了
×
提示
确定
请完成安全验证×
copy
已复制链接
快去分享给好友吧!
我知道了
右上角分享
点击右上角分享
0
联系我们:info@booksci.cn Book学术提供免费学术资源搜索服务,方便国内外学者检索中英文文献。致力于提供最便捷和优质的服务体验。 Copyright © 2023 布克学术 All rights reserved.
京ICP备2023020795号-1
ghs 京公网安备 11010802042870号
Book学术文献互助
Book学术文献互助群
群 号:604180095
Book学术官方微信