Establishing the content validity of patient-reported outcome measures used in neuro-oncology based on the WHO ICF framework: Part of the RANO-PRO initiative.

IF 13.4 1区 医学 Q1 CLINICAL NEUROLOGY
Ogechukwu A Asogwa, Linda Dirven, Tobias Walbert, Terri S Armstrong, David Arons, Martin J van den Bent, Jaishri Blakeley, Marijke B Coomans, Paul D Brown, Helen Bulbeck, Susan M Chang, Corneel Coens, Mark R Gilbert, Robin Grant, Rakesh Jalali, Johan A F Koekkoek, Pankaj Kumar Panda, Danielle Leach, Heather Leeper, Tito Mendoza, Lakshmi Nayak, Kathy Oliver, Jaap C Reijneveld, Emilie Le Rhun, Larry Rubinstein, Jennie W Taylor, Michael Weller, Patrick Y Wen, Martin J B Taphoorn
{"title":"Establishing the content validity of patient-reported outcome measures used in neuro-oncology based on the WHO ICF framework: Part of the RANO-PRO initiative.","authors":"Ogechukwu A Asogwa, Linda Dirven, Tobias Walbert, Terri S Armstrong, David Arons, Martin J van den Bent, Jaishri Blakeley, Marijke B Coomans, Paul D Brown, Helen Bulbeck, Susan M Chang, Corneel Coens, Mark R Gilbert, Robin Grant, Rakesh Jalali, Johan A F Koekkoek, Pankaj Kumar Panda, Danielle Leach, Heather Leeper, Tito Mendoza, Lakshmi Nayak, Kathy Oliver, Jaap C Reijneveld, Emilie Le Rhun, Larry Rubinstein, Jennie W Taylor, Michael Weller, Patrick Y Wen, Martin J B Taphoorn","doi":"10.1093/neuonc/noaf108","DOIUrl":null,"url":null,"abstract":"<p><strong>Background: </strong>Instruments to assess patient-reported outcomes (PRO) should generate high-quality evidence. Reliable PRO evidence is essential to policymakers, in conjunction with outcomes such as survival and radiological response, to understand the net clinical benefit of antitumor treatments. This study aimed to establish the content validity of 215 identified PRO measures used in patients with brain tumors.</p><p><strong>Methods: </strong>A survey (n = 148 items) was developed reflecting aspects of the WHO International Classification of Functioning, Disability, and Health (ICF) framework. Patients with brain tumors, their proxies, and healthcare professionals (HCPs) were asked to rate each survey item on relevance. An item was considered a relevant issue if ≥25% of the patients or proxies or ≥50% of the HCPs considered that item to be an issue. Next, all items in the identified PRO measures were linked to ICF and relevant items in the survey, and the percentage of content coverage was calculated.</p><p><strong>Results: </strong>In total, 114 patients, 71 proxies, and 65 HCPs from different countries completed the survey. Fifty-six of 148 (37.8%) items in the survey were considered relevant. The most important aspects mentioned by both patients and proxies were difficulty concentrating, difficulty remembering, multitasking, and handling stress. Depending on the definition, between 35% and 49% of PRO measures were considered to have sufficient content validity (≥80% coverage).</p><p><strong>Conclusion: </strong>The content validity was insufficient in more than half of the identified PRO measures, particularly multidimensional measures. Future research should investigate whether different approaches to PRO assessment better meet the needs of all stakeholders.</p>","PeriodicalId":19377,"journal":{"name":"Neuro-oncology","volume":" ","pages":"2399-2414"},"PeriodicalIF":13.4000,"publicationDate":"2025-10-14","publicationTypes":"Journal Article","fieldsOfStudy":null,"isOpenAccess":false,"openAccessPdf":"https://www.ncbi.nlm.nih.gov/pmc/articles/PMC12526050/pdf/","citationCount":"0","resultStr":null,"platform":"Semanticscholar","paperid":null,"PeriodicalName":"Neuro-oncology","FirstCategoryId":"3","ListUrlMain":"https://doi.org/10.1093/neuonc/noaf108","RegionNum":1,"RegionCategory":"医学","ArticlePicture":[],"TitleCN":null,"AbstractTextCN":null,"PMCID":null,"EPubDate":"","PubModel":"","JCR":"Q1","JCRName":"CLINICAL NEUROLOGY","Score":null,"Total":0}
引用次数: 0

Abstract

Background: Instruments to assess patient-reported outcomes (PRO) should generate high-quality evidence. Reliable PRO evidence is essential to policymakers, in conjunction with outcomes such as survival and radiological response, to understand the net clinical benefit of antitumor treatments. This study aimed to establish the content validity of 215 identified PRO measures used in patients with brain tumors.

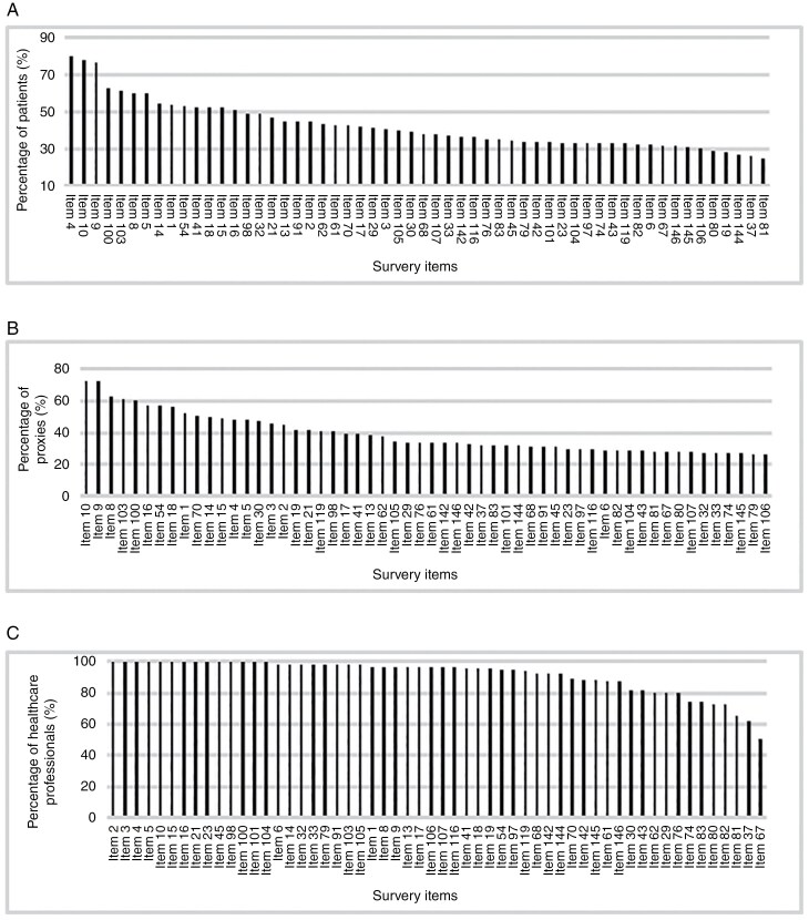
Methods: A survey (n = 148 items) was developed reflecting aspects of the WHO International Classification of Functioning, Disability, and Health (ICF) framework. Patients with brain tumors, their proxies, and healthcare professionals (HCPs) were asked to rate each survey item on relevance. An item was considered a relevant issue if ≥25% of the patients or proxies or ≥50% of the HCPs considered that item to be an issue. Next, all items in the identified PRO measures were linked to ICF and relevant items in the survey, and the percentage of content coverage was calculated.

Results: In total, 114 patients, 71 proxies, and 65 HCPs from different countries completed the survey. Fifty-six of 148 (37.8%) items in the survey were considered relevant. The most important aspects mentioned by both patients and proxies were difficulty concentrating, difficulty remembering, multitasking, and handling stress. Depending on the definition, between 35% and 49% of PRO measures were considered to have sufficient content validity (≥80% coverage).

Conclusion: The content validity was insufficient in more than half of the identified PRO measures, particularly multidimensional measures. Future research should investigate whether different approaches to PRO assessment better meet the needs of all stakeholders.

Abstract Image

Abstract Image

Abstract Image

基于WHO ICF框架建立神经肿瘤学中使用的患者报告结果测量的内容有效性:RANO-PRO倡议的一部分。
背景:评估患者报告结果(PRO)的工具应该产生高质量的证据。可靠的PRO证据对决策者至关重要,与生存和放射反应等结果相结合,以了解抗肿瘤治疗的净临床效益。本研究旨在建立215个已确定的用于脑肿瘤患者的PRO测量的内容效度。方法:制定了一项调查(n = 148项),反映了世界卫生组织国际功能、残疾和健康分类(ICF)框架的各个方面。脑肿瘤患者、他们的代理人和医疗保健提供者(HCPs)被要求对每个调查项目的相关性进行评分。如果≥25%的患者、代理人或≥50%的HCPs认为该项目是一个问题,则该项目被认为是一个相关问题。接下来,将确定的PRO测量中的所有项目与ICF和调查中的相关项目联系起来,并计算内容覆盖率的百分比。结果:来自不同国家的114名患者、71名代理人和65名HCPs完成了调查。在148项调查中,56项(37.8%)被认为是相关的。患者和代理人提到的最重要的方面是难以集中注意力、记忆困难、多任务处理和处理压力。根据定义,35%至49%的PRO测量被认为具有足够的内容效度(≥80%覆盖率)。结论:半数以上的PRO量表存在内容效度不足的问题,尤其是多维度量表。未来的研究应探讨不同的PRO评估方法是否能更好地满足所有利益相关者的需求。
本文章由计算机程序翻译,如有差异,请以英文原文为准。
求助全文
约1分钟内获得全文 求助全文
来源期刊
Neuro-oncology
Neuro-oncology 医学-临床神经学
CiteScore
27.20
自引率
6.30%
发文量
1434
审稿时长
3-8 weeks
期刊介绍: Neuro-Oncology, the official journal of the Society for Neuro-Oncology, has been published monthly since January 2010. Affiliated with the Japan Society for Neuro-Oncology and the European Association of Neuro-Oncology, it is a global leader in the field. The journal is committed to swiftly disseminating high-quality information across all areas of neuro-oncology. It features peer-reviewed articles, reviews, symposia on various topics, abstracts from annual meetings, and updates from neuro-oncology societies worldwide.
×
引用
GB/T 7714-2015
复制
MLA
复制
APA
复制
导出至
BibTeX EndNote RefMan NoteFirst NoteExpress
×
提示
您的信息不完整,为了账户安全,请先补充。
现在去补充
×
提示
您因"违规操作"
具体请查看互助需知
我知道了
×
提示
确定
请完成安全验证×
copy
已复制链接
快去分享给好友吧!
我知道了
右上角分享
点击右上角分享
0
联系我们:info@booksci.cn Book学术提供免费学术资源搜索服务,方便国内外学者检索中英文文献。致力于提供最便捷和优质的服务体验。 Copyright © 2023 布克学术 All rights reserved.
京ICP备2023020795号-1
ghs 京公网安备 11010802042870号
Book学术文献互助
Book学术文献互助群
群 号:604180095
Book学术官方微信