Identifying Optimal Wearable Devices for Monitoring Mobility in Hospitalized Older Adults: Feasibility, Acceptability, and Validity Study.

IF 4.8 Q1 GERIATRICS & GERONTOLOGY
JMIR Aging Pub Date : 2025-05-12 DOI:10.2196/64372
Paulo Nascimento, Renata Kirkwood, Lauren E Griffith, Mylinh Duong, Cody Cooper, Yujiao Hao, Rong Zheng, Samir Raza, Marla Beauchamp
{"title":"Identifying Optimal Wearable Devices for Monitoring Mobility in Hospitalized Older Adults: Feasibility, Acceptability, and Validity Study.","authors":"Paulo Nascimento, Renata Kirkwood, Lauren E Griffith, Mylinh Duong, Cody Cooper, Yujiao Hao, Rong Zheng, Samir Raza, Marla Beauchamp","doi":"10.2196/64372","DOIUrl":null,"url":null,"abstract":"<p><strong>Background: </strong>Hospitalized, frail older adults have an increased risk of developing hospital-acquired disability associated with hospital practices of restricted physical activity and immobilization. The use of activity tracking wearable devices may allow identification and prevention of mobility decline, reducing hospital-acquired disability.</p><p><strong>Objective: </strong>This study aimed to identify the optimal wearable device and wear location for monitoring mobility in older hospitalized patients. Specific objectives included (1) comparison of the feasibility and acceptability of ActiGraph wGT3X-BT (ActiGraph LLC), MOX1 (Maastricht Instruments), MetaMotionC (mBientLab), and Fitbit Versa (Google) for continuous mobility monitoring and (2) determination of the concurrent validity of the selected device for detecting body posture and step count.</p><p><strong>Methods: </strong>Participants were recruited for this observational study in the acute medical care unit of an academic hospital in Hamilton, Ontario, Canada. Eligible patients were aged 60 years and older, able to undertake the mobility protocol, and had an anticipated length of stay greater than 4 days. The study was divided into 2 experiments. Experiment 1 evaluated the feasibility of 4 wearable devices and validated the derived data for body posture and step count. Experiment 2 involved a mobility assessment session and a 24-hour monitoring and feasibility period with the selected device from experiment 1.</p><p><strong>Results: </strong>The ActiGraph wGT3X-BT emerged as the most feasible device, demonstrating superior usability, data acquisition, and management. The thigh-worn ActiGraph accurately detected sedentary behavior, while the ankle-worn device provided detailed information on step counts and body postures. Bland-Altman plots and intraclass correlation coefficients indicated that the ankle-worn ActiGraph showed excellent reliability for step counting, with minimal bias and narrow limits of agreement. Patients expressed a high willingness to wear a continuous mobility tracking device at the hospital and at home.</p><p><strong>Conclusions: </strong>Thigh- and ankle-worn ActiGraph are optimal for assessing and monitoring mobility in older hospitalized patients. Challenges such as discomfort and device removal observed during the 24-hour monitoring period highlight areas for future studies. Overall, our findings support the integration of wearable technology in hospital settings to enhance mobility monitoring and early intervention strategies. Further research is warranted to evaluate the long-term use of wearable data for predicting health outcomes post hospitalization and informing clinical decision-making to promote early mobility.</p>","PeriodicalId":36245,"journal":{"name":"JMIR Aging","volume":"8 ","pages":"e64372"},"PeriodicalIF":4.8000,"publicationDate":"2025-05-12","publicationTypes":"Journal Article","fieldsOfStudy":null,"isOpenAccess":false,"openAccessPdf":"https://www.ncbi.nlm.nih.gov/pmc/articles/PMC12088621/pdf/","citationCount":"0","resultStr":null,"platform":"Semanticscholar","paperid":null,"PeriodicalName":"JMIR Aging","FirstCategoryId":"1085","ListUrlMain":"https://doi.org/10.2196/64372","RegionNum":0,"RegionCategory":null,"ArticlePicture":[],"TitleCN":null,"AbstractTextCN":null,"PMCID":null,"EPubDate":"","PubModel":"","JCR":"Q1","JCRName":"GERIATRICS & GERONTOLOGY","Score":null,"Total":0}
引用次数: 0

Abstract

Background: Hospitalized, frail older adults have an increased risk of developing hospital-acquired disability associated with hospital practices of restricted physical activity and immobilization. The use of activity tracking wearable devices may allow identification and prevention of mobility decline, reducing hospital-acquired disability.

Objective: This study aimed to identify the optimal wearable device and wear location for monitoring mobility in older hospitalized patients. Specific objectives included (1) comparison of the feasibility and acceptability of ActiGraph wGT3X-BT (ActiGraph LLC), MOX1 (Maastricht Instruments), MetaMotionC (mBientLab), and Fitbit Versa (Google) for continuous mobility monitoring and (2) determination of the concurrent validity of the selected device for detecting body posture and step count.

Methods: Participants were recruited for this observational study in the acute medical care unit of an academic hospital in Hamilton, Ontario, Canada. Eligible patients were aged 60 years and older, able to undertake the mobility protocol, and had an anticipated length of stay greater than 4 days. The study was divided into 2 experiments. Experiment 1 evaluated the feasibility of 4 wearable devices and validated the derived data for body posture and step count. Experiment 2 involved a mobility assessment session and a 24-hour monitoring and feasibility period with the selected device from experiment 1.

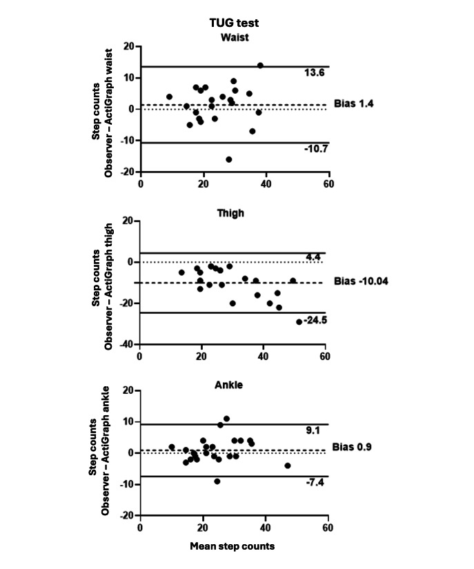
Results: The ActiGraph wGT3X-BT emerged as the most feasible device, demonstrating superior usability, data acquisition, and management. The thigh-worn ActiGraph accurately detected sedentary behavior, while the ankle-worn device provided detailed information on step counts and body postures. Bland-Altman plots and intraclass correlation coefficients indicated that the ankle-worn ActiGraph showed excellent reliability for step counting, with minimal bias and narrow limits of agreement. Patients expressed a high willingness to wear a continuous mobility tracking device at the hospital and at home.

Conclusions: Thigh- and ankle-worn ActiGraph are optimal for assessing and monitoring mobility in older hospitalized patients. Challenges such as discomfort and device removal observed during the 24-hour monitoring period highlight areas for future studies. Overall, our findings support the integration of wearable technology in hospital settings to enhance mobility monitoring and early intervention strategies. Further research is warranted to evaluate the long-term use of wearable data for predicting health outcomes post hospitalization and informing clinical decision-making to promote early mobility.

Abstract Image

Abstract Image

Abstract Image

确定监测住院老年人活动的最佳可穿戴设备:可行性、可接受性和有效性研究。
背景:住院的体弱老年人发生医院获得性残疾的风险增加,这与医院限制身体活动和固定的做法有关。使用活动跟踪可穿戴设备可以识别和预防行动能力下降,减少医院获得性残疾。目的:本研究旨在确定监测老年住院患者活动能力的最佳可穿戴设备和佩戴位置。具体目标包括(1)比较ActiGraph wgt3g - bt (ActiGraph LLC)、MOX1 (Maastricht Instruments)、MetaMotionC (mBientLab)和Fitbit Versa(谷歌)用于连续移动监测的可行性和可接受性;(2)确定所选设备用于检测身体姿势和步数的同时有效性。方法:在加拿大安大略省汉密尔顿的一家学术医院的急症医疗护理单元招募参与者进行这项观察性研究。符合条件的患者年龄为60岁及以上,能够接受活动方案,预计住院时间大于4天。本研究分为2个实验。实验1评估了4种可穿戴设备的可行性,并验证了导出的身体姿势和步数数据。实验2包括一个活动能力评估环节和一个24小时的监测和可行性期,使用实验1中选择的设备。结果:ActiGraph wGT3X-BT成为最可行的设备,展示了优越的可用性、数据采集和管理。戴在大腿上的ActiGraph可以准确检测久坐行为,而戴在脚踝上的设备则可以提供步数和身体姿势的详细信息。Bland-Altman图和类内相关系数表明,踝关节佩戴的ActiGraph在计算步数方面具有极好的可靠性,偏差最小,一致性范围窄。患者表示非常愿意在医院和家中佩戴连续移动跟踪设备。结论:大腿和脚踝佩戴的ActiGraph是评估和监测老年住院患者活动能力的最佳选择。在24小时监测期间观察到的不适和设备移除等挑战是未来研究的重点领域。总的来说,我们的研究结果支持在医院环境中集成可穿戴技术,以加强移动监测和早期干预策略。需要进一步的研究来评估可穿戴数据在预测住院后健康结果和为临床决策提供信息以促进早期活动方面的长期使用。
本文章由计算机程序翻译,如有差异,请以英文原文为准。
求助全文
约1分钟内获得全文 求助全文
来源期刊
JMIR Aging
JMIR Aging Social Sciences-Health (social science)
CiteScore
6.50
自引率
4.10%
发文量
71
审稿时长
12 weeks
×
引用
GB/T 7714-2015
复制
MLA
复制
APA
复制
导出至
BibTeX EndNote RefMan NoteFirst NoteExpress
×
提示
您的信息不完整,为了账户安全,请先补充。
现在去补充
×
提示
您因"违规操作"
具体请查看互助需知
我知道了
×
提示
确定
请完成安全验证×
copy
已复制链接
快去分享给好友吧!
我知道了
右上角分享
点击右上角分享
0
联系我们:info@booksci.cn Book学术提供免费学术资源搜索服务,方便国内外学者检索中英文文献。致力于提供最便捷和优质的服务体验。 Copyright © 2023 布克学术 All rights reserved.
京ICP备2023020795号-1
ghs 京公网安备 11010802042870号
Book学术文献互助
Book学术文献互助群
群 号:604180095
Book学术官方微信