Associations Between Arterial Stiffness and Metabolic Target in Children and Adolescents With Type 1 Diabetes Treated in a Modern Setting.

IF 5.6 3区 医学 Q2 ENDOCRINOLOGY & METABOLISM
Pediatric Diabetes Pub Date : 2024-10-26 eCollection Date: 2024-01-01 DOI:10.1155/2024/5528717
Julie A Damm, Amalie Dalgas-Madsen, Agnes M K Bech, Kasper A Pilgaard, Flemming Pociot, Tine W Hansen, Jesper Johannesen
{"title":"Associations Between Arterial Stiffness and Metabolic Target in Children and Adolescents With Type 1 Diabetes Treated in a Modern Setting.","authors":"Julie A Damm, Amalie Dalgas-Madsen, Agnes M K Bech, Kasper A Pilgaard, Flemming Pociot, Tine W Hansen, Jesper Johannesen","doi":"10.1155/2024/5528717","DOIUrl":null,"url":null,"abstract":"<p><p><b>Objective:</b> To investigate the prevalence of elevated arterial stiffness and associations to known and potentially novel risk factors in a modern European technology-based cohort of children and adolescents with type 1 diabetes. <b>Research Design and Methods:</b> Cross-sectional study, including 127 children recruited from Pediatric Diabetes Departments across Eastern Denmark between May 2022 and January 2024. Arterial stiffness was assessed as carotid-femoral pulse-wave-velocity (cfPWV) using the Sphygmocor XCEL system. Unadjusted and adjusted linear regression models explored associations between cfPWV and other risk factors. Adjustments included age, sex, diabetes duration, time-in-range, hemoglobin A1c (HbA1c), body mass index (BMI) <i>z</i>-score, low-density lipoprotein (LDL)-cholesterol, and mean arterial pressure (MAP). <b>Results:</b> Median (interquartile range [IQR]) age was 14.2 years (12.0, 16.4), diabetes duration was 4.7 years (2.7, 8.4), HbA1c level was 7.0% (6.5, 7.9), (53 mmol/l: 48-63), time-in-range was 63% (53-75), and 52% were male. The majority were treated with continuous-subcutaneous-insulin-infusion (82%), and all (except two) used continuous-glucose-monitors. The prevalence of elevated arterial stiffness (cfPWV <i>z</i>-score over the 90th percentile) was 16%. Unadjusted analyses demonstrated higher cfPWV was associated with longer diabetes duration, higher age, HbA1c, MAP, and liver stiffness, and lower time-in-range and insulin sensitivity. Higher cfPWV remained associated with higher age (standardized <i>β</i> (confidence interval (CI) 95%): 0.38 (0.27, 0.48); <i>p</i>  < 0.001) and lower time-in-range (-0.15 ((-0.26), (-0.03)); <i>p</i>  < 0.011) after adjustment. <b>Conclusions:</b> Despite modern treatment technology and better overall metabolic control, children and adolescents with type 1 diabetes present with a high prevalence of elevated arterial stiffness. Higher arterial stiffness was associated with higher age and lower time-in-range, independent of other risk factors, including HbA1c.</p>","PeriodicalId":19797,"journal":{"name":"Pediatric Diabetes","volume":"2024 ","pages":"5528717"},"PeriodicalIF":5.6000,"publicationDate":"2024-10-26","publicationTypes":"Journal Article","fieldsOfStudy":null,"isOpenAccess":false,"openAccessPdf":"https://www.ncbi.nlm.nih.gov/pmc/articles/PMC12017004/pdf/","citationCount":"0","resultStr":null,"platform":"Semanticscholar","paperid":null,"PeriodicalName":"Pediatric Diabetes","FirstCategoryId":"3","ListUrlMain":"https://doi.org/10.1155/2024/5528717","RegionNum":3,"RegionCategory":"医学","ArticlePicture":[],"TitleCN":null,"AbstractTextCN":null,"PMCID":null,"EPubDate":"2024/1/1 0:00:00","PubModel":"eCollection","JCR":"Q2","JCRName":"ENDOCRINOLOGY & METABOLISM","Score":null,"Total":0}
引用次数: 0

Abstract

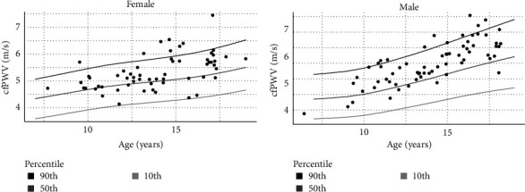
Objective: To investigate the prevalence of elevated arterial stiffness and associations to known and potentially novel risk factors in a modern European technology-based cohort of children and adolescents with type 1 diabetes. Research Design and Methods: Cross-sectional study, including 127 children recruited from Pediatric Diabetes Departments across Eastern Denmark between May 2022 and January 2024. Arterial stiffness was assessed as carotid-femoral pulse-wave-velocity (cfPWV) using the Sphygmocor XCEL system. Unadjusted and adjusted linear regression models explored associations between cfPWV and other risk factors. Adjustments included age, sex, diabetes duration, time-in-range, hemoglobin A1c (HbA1c), body mass index (BMI) z-score, low-density lipoprotein (LDL)-cholesterol, and mean arterial pressure (MAP). Results: Median (interquartile range [IQR]) age was 14.2 years (12.0, 16.4), diabetes duration was 4.7 years (2.7, 8.4), HbA1c level was 7.0% (6.5, 7.9), (53 mmol/l: 48-63), time-in-range was 63% (53-75), and 52% were male. The majority were treated with continuous-subcutaneous-insulin-infusion (82%), and all (except two) used continuous-glucose-monitors. The prevalence of elevated arterial stiffness (cfPWV z-score over the 90th percentile) was 16%. Unadjusted analyses demonstrated higher cfPWV was associated with longer diabetes duration, higher age, HbA1c, MAP, and liver stiffness, and lower time-in-range and insulin sensitivity. Higher cfPWV remained associated with higher age (standardized β (confidence interval (CI) 95%): 0.38 (0.27, 0.48); p  < 0.001) and lower time-in-range (-0.15 ((-0.26), (-0.03)); p  < 0.011) after adjustment. Conclusions: Despite modern treatment technology and better overall metabolic control, children and adolescents with type 1 diabetes present with a high prevalence of elevated arterial stiffness. Higher arterial stiffness was associated with higher age and lower time-in-range, independent of other risk factors, including HbA1c.

Abstract Image

在现代环境中治疗的儿童和青少年1型糖尿病患者动脉僵硬和代谢指标之间的关系
目的:在现代欧洲技术为基础的1型糖尿病儿童和青少年队列中,调查动脉硬化升高的患病率及其与已知和潜在新危险因素的关系。研究设计和方法:横断面研究,包括在2022年5月至2024年1月期间从丹麦东部儿科糖尿病部门招募的127名儿童。使用sphygmomoor XCEL系统以颈动脉-股动脉脉波速度(cfPWV)评估动脉刚度。未调整和调整的线性回归模型探讨了cfPWV与其他危险因素之间的关系。调整包括年龄、性别、糖尿病病程、病程范围、血红蛋白A1c (HbA1c)、体重指数(BMI) z-score、低密度脂蛋白(LDL)-胆固醇和平均动脉压(MAP)。结果:中位(四分位数间距[IQR])年龄为14.2岁(12.0,16.4),糖尿病病程为4.7年(2.7,8.4),HbA1c水平为7.0% (6.5,7.9),(53 mmol/l: 48-63),时间范围为63%(53-75),52%为男性。大多数患者接受持续皮下胰岛素输注治疗(82%),除两人外,所有患者均使用持续血糖监测仪。动脉僵硬度升高的患病率(cfPWV z-score超过90百分位数)为16%。未经调整的分析表明,较高的cfPWV与较长的糖尿病病程、较高的年龄、HbA1c、MAP和肝脏硬度以及较低的时间范围和胰岛素敏感性相关。较高的cfPWV仍然与较高的年龄相关(标准化β(置信区间(CI) 95%): 0.38 (0.27, 0.48);p < 0.001)和低time-in-range (-0.15 ((-0.26), (-0.03));P < 0.011)。结论:尽管有现代治疗技术和更好的整体代谢控制,儿童和青少年1型糖尿病患者动脉僵硬度升高的患病率很高。较高的动脉硬度与较高的年龄和较低的时间范围相关,独立于其他危险因素,包括HbA1c。
本文章由计算机程序翻译,如有差异,请以英文原文为准。
求助全文
约1分钟内获得全文 求助全文
来源期刊
Pediatric Diabetes
Pediatric Diabetes 医学-内分泌学与代谢
CiteScore
6.60
自引率
14.70%
发文量
141
审稿时长
4-8 weeks
期刊介绍: Pediatric Diabetes is a bi-monthly journal devoted to disseminating new knowledge relating to the epidemiology, etiology, pathogenesis, management, complications and prevention of diabetes in childhood and adolescence. The aim of the journal is to become the leading vehicle for international dissemination of research and practice relating to diabetes in youth. Papers are considered for publication based on the rigor of scientific approach, novelty, and importance for understanding mechanisms involved in the epidemiology and etiology of this disease, especially its molecular, biochemical and physiological aspects. Work relating to the clinical presentation, course, management and outcome of diabetes, including its physical and emotional sequelae, is considered. In vitro studies using animal or human tissues, whole animal and clinical studies in humans are also considered. The journal reviews full-length papers, preliminary communications with important new information, clinical reports, and reviews of major topics. Invited editorials, commentaries, and perspectives are a regular feature. The editors, based in the USA, Europe, and Australasia, maintain regular communications to assure rapid turnaround time of submitted manuscripts.
×
引用
GB/T 7714-2015
复制
MLA
复制
APA
复制
导出至
BibTeX EndNote RefMan NoteFirst NoteExpress
×
提示
您的信息不完整,为了账户安全,请先补充。
现在去补充
×
提示
您因"违规操作"
具体请查看互助需知
我知道了
×
提示
确定
请完成安全验证×
copy
已复制链接
快去分享给好友吧!
我知道了
右上角分享
点击右上角分享
0
联系我们:info@booksci.cn Book学术提供免费学术资源搜索服务,方便国内外学者检索中英文文献。致力于提供最便捷和优质的服务体验。 Copyright © 2023 布克学术 All rights reserved.
京ICP备2023020795号-1
ghs 京公网安备 11010802042870号
Book学术文献互助
Book学术文献互助群
群 号:604180095
Book学术官方微信