Corrective Long Spinal Fusion to the Ilium for Patients with Adult Spinal Deformity Results in Good Physical Function after Mid- to Long-Term Postoperative Follow-Up.

IF 1.2 Q3 SURGERY
Spine Surgery and Related Research Pub Date : 2024-08-06 eCollection Date: 2025-03-27 DOI:10.22603/ssrr.2024-0036
Masahiro Sawada, Yu Yamato, Tomohiko Hasegawa, Go Yoshida, Tomohiro Banno, Hideyuki Arima, Shin Oe, Tetsuyuki Nagafusa, Katsuya Yamauchi, Toshiyuki Ojima, Yukihiro Matsuyama
{"title":"Corrective Long Spinal Fusion to the Ilium for Patients with Adult Spinal Deformity Results in Good Physical Function after Mid- to Long-Term Postoperative Follow-Up.","authors":"Masahiro Sawada, Yu Yamato, Tomohiko Hasegawa, Go Yoshida, Tomohiro Banno, Hideyuki Arima, Shin Oe, Tetsuyuki Nagafusa, Katsuya Yamauchi, Toshiyuki Ojima, Yukihiro Matsuyama","doi":"10.22603/ssrr.2024-0036","DOIUrl":null,"url":null,"abstract":"<p><strong>Introduction: </strong>This study investigated the mid- to long-term postoperative outcomes of patients with adult spinal deformity (ASD), focusing on physical function and quality of life (QOL). We also compared age-related changes between patients aged 75 years or older (high elderly) and those younger than 75 years (low elderly).</p><p><strong>Methods: </strong>A total of 47 patients with ASD underwent thoracic-iliac long spinal fusion between August 2013 and September 2014. The study spanned from the preoperative period to at least 5 years postoperatively. Physical function was assessed using isometric hip flexion and knee extension muscle strength, the 6-min walk distance test, the 10-m walk test, and the timed up and go test. QOL was assessed using the Scoliosis Research Society-22 and Oswestry Disability Index. Repeated-measures analysis of variance with a mixed model approach, corrected for multiple comparisons using Bonferroni, was performed.</p><p><strong>Results: </strong>Of the 47 patients, 21 participated in the study. Patients with ASD showed improved gait ability postoperatively. Hip flexor strength decreased at more than 5 years postoperatively compared with the preoperative strength. Patient-reported outcome (PRO) scores showed continuous improvement postoperatively, regardless of age. Although older patients had lower preoperative and postoperative physical function, their PRO scores significantly improved and remained favorable for more than 5 years postoperatively.</p><p><strong>Conclusions: </strong>Patients with ASD experienced sustained improvements in walking ability and PRO for more than 5 years postoperatively. The results of this study showed that even among the elderly, PRO scores consistently improved after surgery and remained positive for an extended period.</p>","PeriodicalId":22253,"journal":{"name":"Spine Surgery and Related Research","volume":"9 2","pages":"179-187"},"PeriodicalIF":1.2000,"publicationDate":"2024-08-06","publicationTypes":"Journal Article","fieldsOfStudy":null,"isOpenAccess":false,"openAccessPdf":"https://www.ncbi.nlm.nih.gov/pmc/articles/PMC11983109/pdf/","citationCount":"0","resultStr":null,"platform":"Semanticscholar","paperid":null,"PeriodicalName":"Spine Surgery and Related Research","FirstCategoryId":"1085","ListUrlMain":"https://doi.org/10.22603/ssrr.2024-0036","RegionNum":0,"RegionCategory":null,"ArticlePicture":[],"TitleCN":null,"AbstractTextCN":null,"PMCID":null,"EPubDate":"2025/3/27 0:00:00","PubModel":"eCollection","JCR":"Q3","JCRName":"SURGERY","Score":null,"Total":0}
引用次数: 0

Abstract

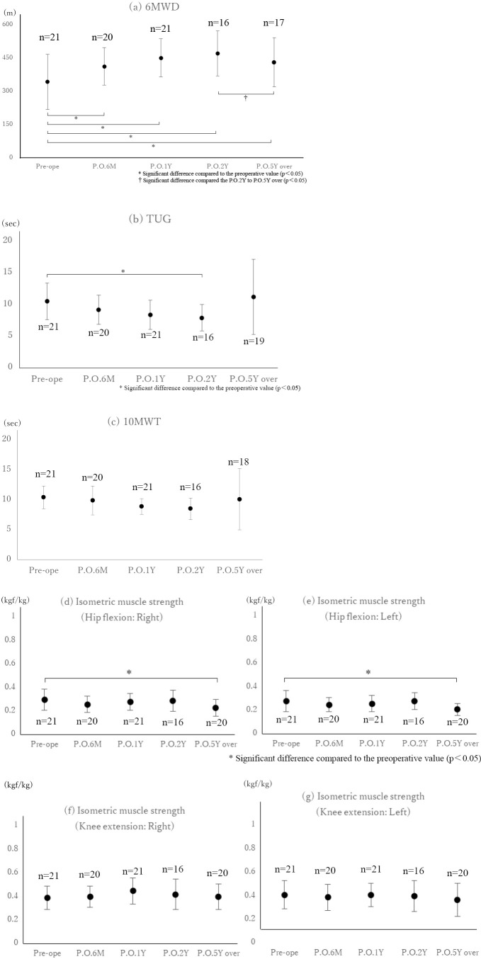
Introduction: This study investigated the mid- to long-term postoperative outcomes of patients with adult spinal deformity (ASD), focusing on physical function and quality of life (QOL). We also compared age-related changes between patients aged 75 years or older (high elderly) and those younger than 75 years (low elderly).

Methods: A total of 47 patients with ASD underwent thoracic-iliac long spinal fusion between August 2013 and September 2014. The study spanned from the preoperative period to at least 5 years postoperatively. Physical function was assessed using isometric hip flexion and knee extension muscle strength, the 6-min walk distance test, the 10-m walk test, and the timed up and go test. QOL was assessed using the Scoliosis Research Society-22 and Oswestry Disability Index. Repeated-measures analysis of variance with a mixed model approach, corrected for multiple comparisons using Bonferroni, was performed.

Results: Of the 47 patients, 21 participated in the study. Patients with ASD showed improved gait ability postoperatively. Hip flexor strength decreased at more than 5 years postoperatively compared with the preoperative strength. Patient-reported outcome (PRO) scores showed continuous improvement postoperatively, regardless of age. Although older patients had lower preoperative and postoperative physical function, their PRO scores significantly improved and remained favorable for more than 5 years postoperatively.

Conclusions: Patients with ASD experienced sustained improvements in walking ability and PRO for more than 5 years postoperatively. The results of this study showed that even among the elderly, PRO scores consistently improved after surgery and remained positive for an extended period.

Abstract Image

Abstract Image

Abstract Image

成人脊柱畸形患者行矫正性长脊柱髂骨融合术术后中长期随访,身体功能良好。
摘要:本研究探讨成人脊柱畸形(ASD)患者术后中长期预后,重点关注其身体功能和生活质量(QOL)。我们还比较了75岁及以上(高高龄)和75岁以下(低高龄)患者的年龄相关变化。方法:2013年8月至2014年9月对47例ASD患者行胸髂长脊柱融合术。研究时间跨度从术前到术后至少5年。身体功能的评估采用等长髋关节屈曲和膝关节伸展肌肉力量、6分钟步行距离测试、10米步行测试和计时起床和走测试。使用脊柱侧凸研究协会-22和Oswestry残疾指数评估生活质量。使用混合模型方法进行重复测量方差分析,并使用Bonferroni进行多次比较校正。结果:47例患者中,21例参加了研究。ASD患者术后步态能力明显改善。与术前相比,术后5年髋关节屈肌强度下降。患者报告的预后(PRO)评分显示术后持续改善,与年龄无关。虽然老年患者术前和术后的身体功能较低,但他们的PRO评分明显改善,并在术后5年以上保持良好。结论:ASD患者术后5年多行走能力和PRO持续改善。这项研究的结果表明,即使在老年人中,PRO评分在手术后也持续提高,并在很长一段时间内保持阳性。
本文章由计算机程序翻译,如有差异,请以英文原文为准。
求助全文
约1分钟内获得全文 求助全文
来源期刊
CiteScore
1.80
自引率
0.00%
发文量
71
审稿时长
15 weeks
×
引用
GB/T 7714-2015
复制
MLA
复制
APA
复制
导出至
BibTeX EndNote RefMan NoteFirst NoteExpress
×
提示
您的信息不完整,为了账户安全,请先补充。
现在去补充
×
提示
您因"违规操作"
具体请查看互助需知
我知道了
×
提示
确定
请完成安全验证×
copy
已复制链接
快去分享给好友吧!
我知道了
右上角分享
点击右上角分享
0
联系我们:info@booksci.cn Book学术提供免费学术资源搜索服务,方便国内外学者检索中英文文献。致力于提供最便捷和优质的服务体验。 Copyright © 2023 布克学术 All rights reserved.
京ICP备2023020795号-1
ghs 京公网安备 11010802042870号
Book学术文献互助
Book学术文献互助群
群 号:604180095
Book学术官方微信