Effects of season, age and parasite management practices on gastro - intestinal parasites in pigs kept outdoors in Ireland.

IF 3.1 2区 农林科学 Q1 VETERINARY SCIENCES
Nipuna Sahan Senanayake, Laura Boyle, Keelin O'Driscoll, Ophélie Menant, Fidelma Butler
{"title":"Effects of season, age and parasite management practices on gastro - intestinal parasites in pigs kept outdoors in Ireland.","authors":"Nipuna Sahan Senanayake, Laura Boyle, Keelin O'Driscoll, Ophélie Menant, Fidelma Butler","doi":"10.1186/s13620-025-00297-0","DOIUrl":null,"url":null,"abstract":"<p><p>Outdoor farming offers pigs considerable behavioural freedom and better consumer acceptance than intensive, indoor systems. However, gastro - intestinal (GI) parasites pose a significant health and welfare challenge for pigs reared outdoors. The aim of this study was to ascertain effects of management, season and animal factors such as age, on a range of different GI parasites in Irish pigs farmed outdoors. Sixty-five pig faecal samples (a mix from at least 2-4 animals per paddock) were collected from 65 paddocks across 20 outdoor pig farms, over two visits (1<sup>st</sup> visit - February/May-December 2023, n = 37, 2<sup>nd</sup> visit- July/October 2023, n = 28). Samples were collected and mixed thoroughly to achieve a paddock level sample. Data were also collected related to pig characteristics (grower/fatteners or sows and boars), anthelmintic usage (Yes/No) and paddock rotation (Yes/No) and categorized at paddock level. Samples were analysed using the McMaster floatation method, faecal egg count (FEC) was calculated, and GI parasites were identified by morphology. Generalized linear mixed models were used to analyse the effect of season, age, anthelmintic usage and paddock rotation on FEC. Four parasite taxa were identified (Eimeria/Isospora spp., strongyles, Ascaris suum and Trichuris suis). Infection rates were > 80% for Eimeria/Isospora spp. and strongyles, 31% for A. suum and 9% for T. suis for both visits. Eimeria/Isospora spp. FEC was higher at the 2<sup>nd</sup> visit (P < 0.001) and strongyles FEC was higher at the 1<sup>st</sup> visit (P < 0.05). Fattener pigs had higher FEC for Eimeria/Isospora spp. (P < 0.01) and sows/boars had higher strongyle counts (P < 0.05). Strongyle count was lower with anthelmintic use (P < 0.05) and Eimeria/Isospora spp. count was lower (P = 0.05) with paddock rotation when anthelmintics were used. Lower winter temperatures may have influenced the seasonal variation in strongyle FEC. This study provides a comprehensive picture of GI parasites in outdoor pig farms in Ireland in terms of the taxa, their prevalence and risk factors.</p>","PeriodicalId":54916,"journal":{"name":"Irish Veterinary Journal","volume":"78 1","pages":"12"},"PeriodicalIF":3.1000,"publicationDate":"2025-05-04","publicationTypes":"Journal Article","fieldsOfStudy":null,"isOpenAccess":false,"openAccessPdf":"https://www.ncbi.nlm.nih.gov/pmc/articles/PMC12051329/pdf/","citationCount":"0","resultStr":null,"platform":"Semanticscholar","paperid":null,"PeriodicalName":"Irish Veterinary Journal","FirstCategoryId":"97","ListUrlMain":"https://doi.org/10.1186/s13620-025-00297-0","RegionNum":2,"RegionCategory":"农林科学","ArticlePicture":[],"TitleCN":null,"AbstractTextCN":null,"PMCID":null,"EPubDate":"","PubModel":"","JCR":"Q1","JCRName":"VETERINARY SCIENCES","Score":null,"Total":0}
引用次数: 0

Abstract

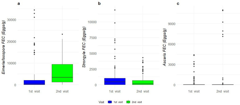
Outdoor farming offers pigs considerable behavioural freedom and better consumer acceptance than intensive, indoor systems. However, gastro - intestinal (GI) parasites pose a significant health and welfare challenge for pigs reared outdoors. The aim of this study was to ascertain effects of management, season and animal factors such as age, on a range of different GI parasites in Irish pigs farmed outdoors. Sixty-five pig faecal samples (a mix from at least 2-4 animals per paddock) were collected from 65 paddocks across 20 outdoor pig farms, over two visits (1st visit - February/May-December 2023, n = 37, 2nd visit- July/October 2023, n = 28). Samples were collected and mixed thoroughly to achieve a paddock level sample. Data were also collected related to pig characteristics (grower/fatteners or sows and boars), anthelmintic usage (Yes/No) and paddock rotation (Yes/No) and categorized at paddock level. Samples were analysed using the McMaster floatation method, faecal egg count (FEC) was calculated, and GI parasites were identified by morphology. Generalized linear mixed models were used to analyse the effect of season, age, anthelmintic usage and paddock rotation on FEC. Four parasite taxa were identified (Eimeria/Isospora spp., strongyles, Ascaris suum and Trichuris suis). Infection rates were > 80% for Eimeria/Isospora spp. and strongyles, 31% for A. suum and 9% for T. suis for both visits. Eimeria/Isospora spp. FEC was higher at the 2nd visit (P < 0.001) and strongyles FEC was higher at the 1st visit (P < 0.05). Fattener pigs had higher FEC for Eimeria/Isospora spp. (P < 0.01) and sows/boars had higher strongyle counts (P < 0.05). Strongyle count was lower with anthelmintic use (P < 0.05) and Eimeria/Isospora spp. count was lower (P = 0.05) with paddock rotation when anthelmintics were used. Lower winter temperatures may have influenced the seasonal variation in strongyle FEC. This study provides a comprehensive picture of GI parasites in outdoor pig farms in Ireland in terms of the taxa, their prevalence and risk factors.

Abstract Image

Abstract Image

Abstract Image

季节、年龄和寄生虫管理措施对爱尔兰户外养猪肠道寄生虫的影响。
与集约化的室内养殖系统相比,室外养殖为猪提供了相当大的行为自由和更好的消费者接受度。然而,胃肠道(GI)寄生虫对户外饲养的猪的健康和福利构成了重大挑战。本研究的目的是确定管理、季节和动物因素(如年龄)对户外养殖的爱尔兰猪的一系列不同胃肠道寄生虫的影响。在两次访问中(第一次访问- 2023年2月/ 5月- 12月,n = 37,第二次访问- 2023年7月/ 10月,n = 28),从20个室外猪场的65个围场收集了65个猪粪便样本(每个围场至少2-4只动物的混合物)。样品被收集和充分混合,以达到围场水平的样品。还收集了与猪的特征(生猪/育肥猪或母猪和公猪)、驱虫剂使用(是/否)和围场轮作(是/否)相关的数据,并在围场水平上进行了分类。采用麦克马斯特浮法对样品进行分析,计算粪卵计数(FEC),并通过形态学鉴定胃肠道寄生虫。采用广义线性混合模型分析了季节、年龄、驱虫利用和围场轮作对FEC的影响。共鉴定出艾美耳虫/等孢子虫、圆形虫、猪蛔虫和猪毛虫4个寄生虫类群。艾美耳球虫/等孢子虫和圆形虫的感染率分别为80%、31%和9%。艾美耳球虫/异孢子虫FEC在第二次就诊时较高(P < 0.001),圆形菌FEC在第一次就诊时较高(P < 0.05)。育肥猪的艾美耳球虫/异孢子虫FEC较高(P < 0.01),母猪/公猪的棒状细胞计数较高(P < 0.05)。使用除虫药后,圆形虫数降低(P < 0.05),艾美耳球虫/异孢子虫数降低(P = 0.05)。较低的冬季温度可能影响了圆形FEC的季节变化。本研究提供了一个全面的胃肠道寄生虫在爱尔兰的户外养猪场的分类,他们的流行和危险因素。
本文章由计算机程序翻译,如有差异,请以英文原文为准。
求助全文
约1分钟内获得全文 求助全文
来源期刊
Irish Veterinary Journal
Irish Veterinary Journal 农林科学-兽医学
CiteScore
4.80
自引率
3.40%
发文量
1
审稿时长
>36 weeks
期刊介绍: Irish Veterinary Journal is an open access journal with a vision to make a substantial contribution to the dissemination of evidence-based knowledge that will promote optimal health and welfare of both domestic and wild species of animals. Irish Veterinary Journal has a clinical research focus with an emphasis on the effective management of health in both individual and populations of animals. Published studies will be relevant to both the international veterinary profession and veterinary scientists. Papers relating to veterinary education, veterinary ethics, veterinary public health, or relevant studies in the area of social science (participatory research) are also within the scope of Irish Veterinary Journal.
×
引用
GB/T 7714-2015
复制
MLA
复制
APA
复制
导出至
BibTeX EndNote RefMan NoteFirst NoteExpress
×
提示
您的信息不完整,为了账户安全,请先补充。
现在去补充
×
提示
您因"违规操作"
具体请查看互助需知
我知道了
×
提示
确定
请完成安全验证×
copy
已复制链接
快去分享给好友吧!
我知道了
右上角分享
点击右上角分享
0
联系我们:info@booksci.cn Book学术提供免费学术资源搜索服务,方便国内外学者检索中英文文献。致力于提供最便捷和优质的服务体验。 Copyright © 2023 布克学术 All rights reserved.
京ICP备2023020795号-1
ghs 京公网安备 11010802042870号
Book学术文献互助
Book学术文献互助群
群 号:604180095
Book学术官方微信