Improved quality of life in cystic fibrosis patients observed up to 36 months after starting Elexacaftor/Tezacaftor/Ivacaftor treatment.

IF 2.9 Q2 HEALTH CARE SCIENCES & SERVICES
Buniotto Francesca, Tridello Gloria, De Scolari Antonella, Meneghelli Ilaria, Pintani Emily, Perobelli Sandra, Cipolli Marco
{"title":"Improved quality of life in cystic fibrosis patients observed up to 36 months after starting Elexacaftor/Tezacaftor/Ivacaftor treatment.","authors":"Buniotto Francesca, Tridello Gloria, De Scolari Antonella, Meneghelli Ilaria, Pintani Emily, Perobelli Sandra, Cipolli Marco","doi":"10.1186/s41687-025-00879-0","DOIUrl":null,"url":null,"abstract":"<p><strong>Background: </strong>Elexacaftor/Tezacaftor/Ivacaftor (ETI) is a therapy approved for cystic fibrosis (CF) that has given improved clinical outcomes in patients carrying the F508del mutation. There are few published data regarding ETI's effects on patients' quality of life (QoL). This study aims to (fill the data gap in current literature by assessing) evaluate the long-term effects of ETI on QoL.</p><p><strong>Methodology: </strong>A prospective observational study was conducted with thirty-seven severe patients that received ETI for compassionate use (group A), 184 received it for on-label use (group B). All carried one F508del mutation. Patients were assessed using the CFQ-R (Cystic Fibrosis Questionnaire-Revised). The evaluation time-points were pre-treatment (T0), and after 12 (T1) and 24 months (T2); group A was also assessed after 36 months (T3). Twenty-five patients completed 3 years of treatment and 65 patients completed 2 years of treatment, in groups A and B respectively.</p><p><strong>Results: </strong>At T1, median values for almost all areas of CFQ-R statistically significant increased in group A, particularly Physical Functioning (+ 25.0), Respiratory (+ 22.2) and Health Perception (+ 22.2).The Social Functioning area statistically significant increased at T2 (+ 5.6). At T3, these improvements remained stable. At T1, all areas of CFQ-R statistically significant increased in group B, particularly the Health Perception (+ 22,2) heading. At T2, these improvements remained stable. For both groups, the changes identified at the last follow-up showed no major differences by gender, age or genetic status.</p><p><strong>Conclusions: </strong>Treatment with ETI significantly improved patients' QoL in both groups at 12-24 months, these improvements remaining stable in patients tested at 36 months.</p>","PeriodicalId":36660,"journal":{"name":"Journal of Patient-Reported Outcomes","volume":"9 1","pages":"48"},"PeriodicalIF":2.9000,"publicationDate":"2025-05-06","publicationTypes":"Journal Article","fieldsOfStudy":null,"isOpenAccess":false,"openAccessPdf":"https://www.ncbi.nlm.nih.gov/pmc/articles/PMC12055669/pdf/","citationCount":"0","resultStr":null,"platform":"Semanticscholar","paperid":null,"PeriodicalName":"Journal of Patient-Reported Outcomes","FirstCategoryId":"1085","ListUrlMain":"https://doi.org/10.1186/s41687-025-00879-0","RegionNum":0,"RegionCategory":null,"ArticlePicture":[],"TitleCN":null,"AbstractTextCN":null,"PMCID":null,"EPubDate":"","PubModel":"","JCR":"Q2","JCRName":"HEALTH CARE SCIENCES & SERVICES","Score":null,"Total":0}
引用次数: 0

Abstract

Background: Elexacaftor/Tezacaftor/Ivacaftor (ETI) is a therapy approved for cystic fibrosis (CF) that has given improved clinical outcomes in patients carrying the F508del mutation. There are few published data regarding ETI's effects on patients' quality of life (QoL). This study aims to (fill the data gap in current literature by assessing) evaluate the long-term effects of ETI on QoL.

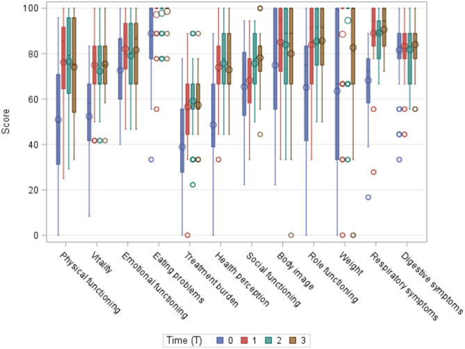
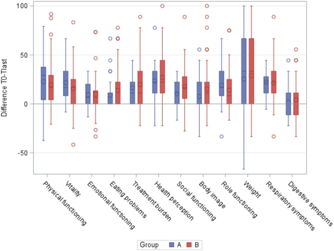
Methodology: A prospective observational study was conducted with thirty-seven severe patients that received ETI for compassionate use (group A), 184 received it for on-label use (group B). All carried one F508del mutation. Patients were assessed using the CFQ-R (Cystic Fibrosis Questionnaire-Revised). The evaluation time-points were pre-treatment (T0), and after 12 (T1) and 24 months (T2); group A was also assessed after 36 months (T3). Twenty-five patients completed 3 years of treatment and 65 patients completed 2 years of treatment, in groups A and B respectively.

Results: At T1, median values for almost all areas of CFQ-R statistically significant increased in group A, particularly Physical Functioning (+ 25.0), Respiratory (+ 22.2) and Health Perception (+ 22.2).The Social Functioning area statistically significant increased at T2 (+ 5.6). At T3, these improvements remained stable. At T1, all areas of CFQ-R statistically significant increased in group B, particularly the Health Perception (+ 22,2) heading. At T2, these improvements remained stable. For both groups, the changes identified at the last follow-up showed no major differences by gender, age or genetic status.

Conclusions: Treatment with ETI significantly improved patients' QoL in both groups at 12-24 months, these improvements remaining stable in patients tested at 36 months.

Abstract Image

Abstract Image

Abstract Image

开始Elexacaftor/Tezacaftor/Ivacaftor治疗后36个月囊性纤维化患者的生活质量得到改善。
背景:Elexacaftor/Tezacaftor/Ivacaftor (ETI)是一种被批准用于治疗囊性纤维化(CF)的药物,它改善了携带F508del突变的患者的临床结果。关于ETI对患者生活质量(QoL)影响的已发表数据很少。本研究旨在通过评估ETI对生活质量的长期影响来填补现有文献的数据空白。方法:一项前瞻性观察研究对37例接受ETI治疗的重症患者(A组),184例接受ETI治疗的患者(B组)进行了研究。所有人都携带一个F508del突变。使用CFQ-R(囊性纤维化问卷-修订版)对患者进行评估。评估时间点分别为治疗前(T0)、治疗后12个月(T1)和24个月(T2);A组在36个月(T3)后进行评估。A组和B组分别有25例患者完成3年治疗,65例患者完成2年治疗。结果:在T1时,A组几乎所有CFQ-R领域的中位数都有统计学意义上的显著增加,尤其是身体功能(+ 25.0)、呼吸(+ 22.2)和健康感知(+ 22.2)。T2时社会功能区显著增加(+ 5.6)。在T3时,这些改进保持稳定。在T1时,B组CFQ-R的所有区域均有统计学意义上的增加,特别是健康感知(+ 22,2)。在T2时,这些改善保持稳定。对于两组人来说,在最后一次随访中发现的变化没有显示出性别、年龄或遗传状况的重大差异。结论:ETI治疗在12-24个月时显著改善了两组患者的生活质量,这些改善在36个月时保持稳定。
本文章由计算机程序翻译,如有差异,请以英文原文为准。
求助全文
约1分钟内获得全文 求助全文
来源期刊
Journal of Patient-Reported Outcomes
Journal of Patient-Reported Outcomes Health Professions-Health Information Management
CiteScore
3.80
自引率
7.40%
发文量
120
审稿时长
20 weeks
×
引用
GB/T 7714-2015
复制
MLA
复制
APA
复制
导出至
BibTeX EndNote RefMan NoteFirst NoteExpress
×
提示
您的信息不完整,为了账户安全,请先补充。
现在去补充
×
提示
您因"违规操作"
具体请查看互助需知
我知道了
×
提示
确定
请完成安全验证×
copy
已复制链接
快去分享给好友吧!
我知道了
右上角分享
点击右上角分享
0
联系我们:info@booksci.cn Book学术提供免费学术资源搜索服务,方便国内外学者检索中英文文献。致力于提供最便捷和优质的服务体验。 Copyright © 2023 布克学术 All rights reserved.
京ICP备2023020795号-1
ghs 京公网安备 11010802042870号
Book学术文献互助
Book学术文献互助群
群 号:604180095
Book学术官方微信