Quality of Life after Brain Injury in children aged six and seven years (QOLIBRI-KIDDY) - development and scale analysis of the first disease-specific self-report instrument for young children after traumatic brain injury.

IF 2.9 Q2 HEALTH CARE SCIENCES & SERVICES
Nicole von Steinbuechel, Marina Zeldovich, Fabian Bockhop, Ugne Krenz, Dagmar Timmermann, Anna Buchheim, Inga K Koerte, Michaela Veronika Bonfert, Steffen Berweck, Matthias Kieslich, Knut Brockmann, Maike Roediger, Sven Greving, Axel Neu, Ulrike Wartemann, Joachim Suss, Christian Auer, Holger Muehlan, Katrin Cunitz
{"title":"Quality of Life after Brain Injury in children aged six and seven years (QOLIBRI-KIDDY) - development and scale analysis of the first disease-specific self-report instrument for young children after traumatic brain injury.","authors":"Nicole von Steinbuechel, Marina Zeldovich, Fabian Bockhop, Ugne Krenz, Dagmar Timmermann, Anna Buchheim, Inga K Koerte, Michaela Veronika Bonfert, Steffen Berweck, Matthias Kieslich, Knut Brockmann, Maike Roediger, Sven Greving, Axel Neu, Ulrike Wartemann, Joachim Suss, Christian Auer, Holger Muehlan, Katrin Cunitz","doi":"10.1186/s41687-025-00890-5","DOIUrl":null,"url":null,"abstract":"<p><p>To date, there are no age-appropriate instruments for assessing the subjective impact of pediatric traumatic brain injury (TBI) sequelae on multiple domains of health-related quality of life (HRQoL) in young children. The present study therefore aims to develop and examine the psychometric properties of a new disease-specific, self-reported HRQoL instrument, the Quality of Life after Brain Injury for children aged 6-7 years (QOLIBRI-KIDDY). Questionnaire development included focus group interviews, cognitive debriefings, and Delphi expert panels. The pilot version of the instrument was tested in 72 children (6.00-7.92 years of age; 60% boys; 86% after mild TBI). After item reduction based on a confirmatory scale analysis considering the six-factor structure of the questionnaire versions for older children, adolescents, and adults (Cognition, Self, Daily Life & Autonomy, Social Relationships, Emotions, Physical Problems), its reliability and validity were investigated. The final version of the QOLIBRI-KIDDY comprises 23 items. Psychometric analyses indicated internal consistency to be satisfactory (ɑ = 0.49-0.72; ω = 0.57-0.78). Construct validity suggested the expected overlap between generic HRQoL and TBI-specific HRQoL (r = 0.17-0.36). There were small (r > 0.2) to moderate (r > 0.3) correlations between lower TBI-specific HRQoL and participants with lower learning rates, anxiety, depression, and post-concussion symptoms, particularly on the Cognition, Social Relationships, Emotions, and Physical Problems scales. The comparison of known groups revealed significant moderate and significant effects for lower HRQoL in children with depressive symptoms on the Emotions scale (d = - 0.46) and with post-concussion symptoms on the Cognition (d = - 0.42) and Social Relationships scales (d = - 0.56). The QOLIBRI-KIDDY is a comprehensive, yet economical tool, comparable in content and items to the other age-adapted QOLIBRI versions. Its application has the potential to provide longitudinal data on subjects after TBI from childhood to older age, with a subjective perspective that can contribute to improving the therapy, rehabilitation, and daily life of young children.</p>","PeriodicalId":36660,"journal":{"name":"Journal of Patient-Reported Outcomes","volume":"9 1","pages":"53"},"PeriodicalIF":2.9000,"publicationDate":"2025-05-14","publicationTypes":"Journal Article","fieldsOfStudy":null,"isOpenAccess":false,"openAccessPdf":"https://www.ncbi.nlm.nih.gov/pmc/articles/PMC12078902/pdf/","citationCount":"0","resultStr":null,"platform":"Semanticscholar","paperid":null,"PeriodicalName":"Journal of Patient-Reported Outcomes","FirstCategoryId":"1085","ListUrlMain":"https://doi.org/10.1186/s41687-025-00890-5","RegionNum":0,"RegionCategory":null,"ArticlePicture":[],"TitleCN":null,"AbstractTextCN":null,"PMCID":null,"EPubDate":"","PubModel":"","JCR":"Q2","JCRName":"HEALTH CARE SCIENCES & SERVICES","Score":null,"Total":0}
引用次数: 0

Abstract

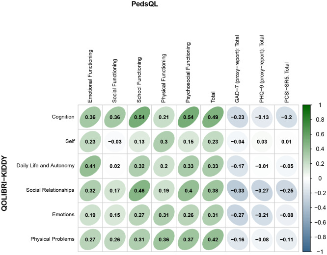
To date, there are no age-appropriate instruments for assessing the subjective impact of pediatric traumatic brain injury (TBI) sequelae on multiple domains of health-related quality of life (HRQoL) in young children. The present study therefore aims to develop and examine the psychometric properties of a new disease-specific, self-reported HRQoL instrument, the Quality of Life after Brain Injury for children aged 6-7 years (QOLIBRI-KIDDY). Questionnaire development included focus group interviews, cognitive debriefings, and Delphi expert panels. The pilot version of the instrument was tested in 72 children (6.00-7.92 years of age; 60% boys; 86% after mild TBI). After item reduction based on a confirmatory scale analysis considering the six-factor structure of the questionnaire versions for older children, adolescents, and adults (Cognition, Self, Daily Life & Autonomy, Social Relationships, Emotions, Physical Problems), its reliability and validity were investigated. The final version of the QOLIBRI-KIDDY comprises 23 items. Psychometric analyses indicated internal consistency to be satisfactory (ɑ = 0.49-0.72; ω = 0.57-0.78). Construct validity suggested the expected overlap between generic HRQoL and TBI-specific HRQoL (r = 0.17-0.36). There were small (r > 0.2) to moderate (r > 0.3) correlations between lower TBI-specific HRQoL and participants with lower learning rates, anxiety, depression, and post-concussion symptoms, particularly on the Cognition, Social Relationships, Emotions, and Physical Problems scales. The comparison of known groups revealed significant moderate and significant effects for lower HRQoL in children with depressive symptoms on the Emotions scale (d = - 0.46) and with post-concussion symptoms on the Cognition (d = - 0.42) and Social Relationships scales (d = - 0.56). The QOLIBRI-KIDDY is a comprehensive, yet economical tool, comparable in content and items to the other age-adapted QOLIBRI versions. Its application has the potential to provide longitudinal data on subjects after TBI from childhood to older age, with a subjective perspective that can contribute to improving the therapy, rehabilitation, and daily life of young children.

Abstract Image

6岁和7岁儿童脑损伤后的生活质量(qolibrii - kiddy)——创伤性脑损伤后幼儿首个疾病特异性自我报告工具的开发和量表分析
迄今为止,还没有适合年龄的工具来评估儿童创伤性脑损伤(TBI)后遗症对幼儿健康相关生活质量(HRQoL)多个领域的主观影响。因此,本研究旨在开发和检验一种新的疾病特异性、自我报告的HRQoL仪器——6-7岁儿童脑损伤后生活质量(qolibrii - kiddy)的心理测量特性。问卷开发包括焦点小组访谈、认知情况汇报和德尔菲专家小组。该仪器的试点版本在72名儿童(6.00-7.92岁;60%的男孩;轻度TBI后86%)。采用验证性量表分析,对大龄儿童、青少年和成人问卷版本(认知、自我、日常生活与自主、社会关系、情绪、身体问题)的六因素结构进行项目缩减,并对其信度和效度进行研究。qolibi - kiddy的最终版本包括23个项目。心理测量分析表明,内部一致性令人满意(j = 0.49-0.72;ω = 0.57-0.78)。结构效度表明通用HRQoL和tbi特异性HRQoL之间存在预期的重叠(r = 0.17-0.36)。较低的tbi特异性HRQoL与较低学习率、焦虑、抑郁和脑震荡后症状的参与者之间存在较小(r > 0.2)至中度(r > 0.3)的相关性,特别是在认知、社会关系、情绪和身体问题量表上。已知组的比较显示,有抑郁症状的儿童在情绪量表(d = - 0.46)、有脑震荡后症状的儿童在认知量表(d = - 0.42)和社会关系量表(d = - 0.56)上有显著的中度和显著的降低HRQoL的作用。QOLIBRI- kiddy是一个全面而经济的工具,在内容和项目上可与其他适合年龄的QOLIBRI版本相媲美。它的应用有可能提供创伤性脑损伤后受试者从童年到老年的纵向数据,具有主观视角,有助于改善幼儿的治疗、康复和日常生活。
本文章由计算机程序翻译,如有差异,请以英文原文为准。
求助全文
约1分钟内获得全文 求助全文
来源期刊
Journal of Patient-Reported Outcomes
Journal of Patient-Reported Outcomes Health Professions-Health Information Management
CiteScore
3.80
自引率
7.40%
发文量
120
审稿时长
20 weeks
×
引用
GB/T 7714-2015
复制
MLA
复制
APA
复制
导出至
BibTeX EndNote RefMan NoteFirst NoteExpress
×
提示
您的信息不完整,为了账户安全,请先补充。
现在去补充
×
提示
您因"违规操作"
具体请查看互助需知
我知道了
×
提示
确定
请完成安全验证×
copy
已复制链接
快去分享给好友吧!
我知道了
右上角分享
点击右上角分享
0
联系我们:info@booksci.cn Book学术提供免费学术资源搜索服务,方便国内外学者检索中英文文献。致力于提供最便捷和优质的服务体验。 Copyright © 2023 布克学术 All rights reserved.
京ICP备2023020795号-1
ghs 京公网安备 11010802042870号
Book学术文献互助
Book学术文献互助群
群 号:604180095
Book学术官方微信