Dynamic and Static Effects of the Systemic Inflammatory Response Index on All-Cause Mortality in Individuals With Atherosclerotic Cardiovascular Disease: Evidence From National Health and Nutrition Examination Survey.

IF 4.2 3区 医学 Q2 CELL BIOLOGY
Mediators of Inflammation Pub Date : 2025-04-16 eCollection Date: 2025-01-01 DOI:10.1155/mi/5343213
Chenglin Duan, Yihang Du, Jiafan Chen, Shuqing Shi, Xiaohan Zhang, Yuanhui Hu
{"title":"Dynamic and Static Effects of the Systemic Inflammatory Response Index on All-Cause Mortality in Individuals With Atherosclerotic Cardiovascular Disease: Evidence From National Health and Nutrition Examination Survey.","authors":"Chenglin Duan, Yihang Du, Jiafan Chen, Shuqing Shi, Xiaohan Zhang, Yuanhui Hu","doi":"10.1155/mi/5343213","DOIUrl":null,"url":null,"abstract":"<p><p><b>Objective:</b> This research focuses on analyzing the link between the systemic inflammatory response index (SIRI) and all-cause mortality in individuals with atherosclerotic cardiovascular disease (ASCVD) . <b>Methods:</b> This research analyzed data from 4693 patients using nine cycles of the National Health and Nutrition Examination Survey (NHANES). The connection between SIRI and mortality was determined by employing survey-weighted Cox models, with hazard ratios (HRs) and 95% confidence intervals (CIs) being computed. Kaplan-Meier method illustrated survival differences across SIRI levels. Sensitivity analyses involved restricted cubic splines (RCS), stratified analysis, and <i>E</i>-value calculations. Landmark analysis assessed survival differences at multiple follow-up intervals, while time-dependent receiver operating characteristic curves evaluated SIRI's prognostic value. Mediation analysis identified potential intermediaries impacting the SIRI-mortality relationship. <b>Results:</b> Over 406,564 person-months, 1933 deaths occurred. Adjusted Cox models discovered that higher SIRI was connected with elevated overall mortality [HR 1.192, (95% CI 1.131-1.256), <i>p</i> < 0.001]. Higher SIRI consistently showed lower survival probabilities. RCS and stratified analysis confirmed the robustness of these findings. Survival probability at different follow-up periods was considerably lower in those with higher SIRI. Additionally, SIRI demonstrated a prognostic value of 0.66 for all-cause mortality at 1 year and 3 years, and 0.65 at 5 years. Notably, serum uric acid (6.2%) partially mediated the connection between SIRI and mortality from all causes. <b>Conclusion:</b> In ASCVD patients, SIRI was robustly correlated with all-cause mortality, partially mediated by serum uric acid.</p>","PeriodicalId":18371,"journal":{"name":"Mediators of Inflammation","volume":"2025 ","pages":"5343213"},"PeriodicalIF":4.2000,"publicationDate":"2025-04-16","publicationTypes":"Journal Article","fieldsOfStudy":null,"isOpenAccess":false,"openAccessPdf":"https://www.ncbi.nlm.nih.gov/pmc/articles/PMC12017944/pdf/","citationCount":"0","resultStr":null,"platform":"Semanticscholar","paperid":null,"PeriodicalName":"Mediators of Inflammation","FirstCategoryId":"3","ListUrlMain":"https://doi.org/10.1155/mi/5343213","RegionNum":3,"RegionCategory":"医学","ArticlePicture":[],"TitleCN":null,"AbstractTextCN":null,"PMCID":null,"EPubDate":"2025/1/1 0:00:00","PubModel":"eCollection","JCR":"Q2","JCRName":"CELL BIOLOGY","Score":null,"Total":0}
引用次数: 0

Abstract

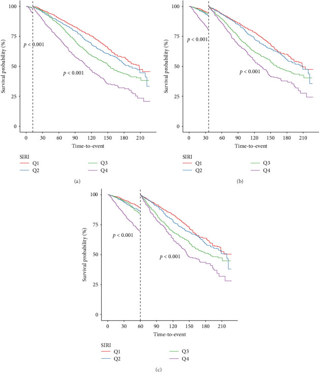
Objective: This research focuses on analyzing the link between the systemic inflammatory response index (SIRI) and all-cause mortality in individuals with atherosclerotic cardiovascular disease (ASCVD) . Methods: This research analyzed data from 4693 patients using nine cycles of the National Health and Nutrition Examination Survey (NHANES). The connection between SIRI and mortality was determined by employing survey-weighted Cox models, with hazard ratios (HRs) and 95% confidence intervals (CIs) being computed. Kaplan-Meier method illustrated survival differences across SIRI levels. Sensitivity analyses involved restricted cubic splines (RCS), stratified analysis, and E-value calculations. Landmark analysis assessed survival differences at multiple follow-up intervals, while time-dependent receiver operating characteristic curves evaluated SIRI's prognostic value. Mediation analysis identified potential intermediaries impacting the SIRI-mortality relationship. Results: Over 406,564 person-months, 1933 deaths occurred. Adjusted Cox models discovered that higher SIRI was connected with elevated overall mortality [HR 1.192, (95% CI 1.131-1.256), p < 0.001]. Higher SIRI consistently showed lower survival probabilities. RCS and stratified analysis confirmed the robustness of these findings. Survival probability at different follow-up periods was considerably lower in those with higher SIRI. Additionally, SIRI demonstrated a prognostic value of 0.66 for all-cause mortality at 1 year and 3 years, and 0.65 at 5 years. Notably, serum uric acid (6.2%) partially mediated the connection between SIRI and mortality from all causes. Conclusion: In ASCVD patients, SIRI was robustly correlated with all-cause mortality, partially mediated by serum uric acid.

Abstract Image

Abstract Image

Abstract Image

全身炎症反应指数对动脉粥样硬化性心血管疾病患者全因死亡率的动态和静态影响:来自全国健康和营养检查调查的证据
目的:分析动脉粥样硬化性心血管疾病(ASCVD)患者全身炎症反应指数(SIRI)与全因死亡率之间的关系。方法:本研究利用9个周期的国家健康与营养检查调查(NHANES)对4693例患者的资料进行分析。采用调查加权Cox模型确定SIRI与死亡率之间的关系,计算风险比(hr)和95%置信区间(ci)。Kaplan-Meier方法说明了不同SIRI水平的生存差异。敏感性分析包括限制三次样条(RCS)、分层分析和e值计算。里程碑分析评估了多个随访间隔的生存差异,而时间依赖的受试者工作特征曲线评估了SIRI的预后价值。中介分析确定了影响ssi -死亡率关系的潜在中介。结果:406,564人月,死亡1933人。调整后的Cox模型发现,较高的SIRI与较高的总死亡率相关[HR 1.192, (95% CI 1.131-1.256), p < 0.001]。较高的SIRI表现出较低的生存概率。RCS和分层分析证实了这些发现的稳健性。在不同的随访期间,具有较高SIRI的人的生存概率明显较低。此外,SIRI对1年和3年全因死亡率的预测价值为0.66,5年为0.65。值得注意的是,血清尿酸(6.2%)部分介导了SIRI与各种原因死亡率之间的联系。结论:在ASCVD患者中,SIRI与全因死亡率密切相关,部分由血清尿酸介导。
本文章由计算机程序翻译,如有差异,请以英文原文为准。
求助全文
约1分钟内获得全文 求助全文
来源期刊
Mediators of Inflammation
Mediators of Inflammation 医学-免疫学
CiteScore
8.70
自引率
0.00%
发文量
202
审稿时长
4 months
期刊介绍: Mediators of Inflammation is a peer-reviewed, Open Access journal that publishes original research and review articles on all types of inflammatory mediators, including cytokines, histamine, bradykinin, prostaglandins, leukotrienes, PAF, biological response modifiers and the family of cell adhesion-promoting molecules.
×
引用
GB/T 7714-2015
复制
MLA
复制
APA
复制
导出至
BibTeX EndNote RefMan NoteFirst NoteExpress
×
提示
您的信息不完整,为了账户安全,请先补充。
现在去补充
×
提示
您因"违规操作"
具体请查看互助需知
我知道了
×
提示
确定
请完成安全验证×
copy
已复制链接
快去分享给好友吧!
我知道了
右上角分享
点击右上角分享
0
联系我们:info@booksci.cn Book学术提供免费学术资源搜索服务,方便国内外学者检索中英文文献。致力于提供最便捷和优质的服务体验。 Copyright © 2023 布克学术 All rights reserved.
京ICP备2023020795号-1
ghs 京公网安备 11010802042870号
Book学术文献互助
Book学术文献互助群
群 号:604180095
Book学术官方微信