External validation and comparison of Fetal Medicine Foundation competing-risks model for small-for-gestational-age neonate in the first trimester: multicenter cohort study.

IF 6.3 1区 医学 Q1 ACOUSTICS
Ultrasound in Obstetrics & Gynecology Pub Date : 2025-06-01 Epub Date: 2025-04-14 DOI:10.1002/uog.29219
P Chaveeva, I Papastefanou, T Dagklis, N Valiño, R Revello, B Adiego, J L Delgado, V Kalev, I Tsakiridis, C Triano, M Pertegal, A Siargkas, B Santacruz, C de Paco Matallana, M M Gil
{"title":"External validation and comparison of Fetal Medicine Foundation competing-risks model for small-for-gestational-age neonate in the first trimester: multicenter cohort study.","authors":"P Chaveeva, I Papastefanou, T Dagklis, N Valiño, R Revello, B Adiego, J L Delgado, V Kalev, I Tsakiridis, C Triano, M Pertegal, A Siargkas, B Santacruz, C de Paco Matallana, M M Gil","doi":"10.1002/uog.29219","DOIUrl":null,"url":null,"abstract":"<p><strong>Objectives: </strong>To examine the predictive performance of the Fetal Medicine Foundation (FMF) competing-risks model for the first-trimester prediction of a small-for-gestational-age (SGA) neonate in a large, independent, unselected European cohort and to compare the competing-risks algorithm with previously published logistic-regression models.</p><p><strong>Methods: </strong>This was a retrospective, non-interventional, multicenter cohort study including 35 170 women with a singleton pregnancy who underwent a first-trimester ultrasound assessment between 11 + 0 and 13 + 6 weeks' gestation. We used the default FMF competing-risks model for the prediction of SGA combining maternal factors, uterine artery pulsatility index (UtA-PI), pregnancy-associated plasma protein-A (PAPP-A) and placental growth factor (PlGF) to obtain risks for different cut-offs of birth-weight percentile and gestational age at delivery. We examined the predictive performance in terms of discrimination and calibration and compared it with the published data on the model's development population and with published logistic-regression equations.</p><p><strong>Results: </strong>At a 10% false-positive rate, maternal factors and UtA-PI predicted 42.2% and 51.5% of SGA < 10<sup>th</sup> percentile delivered < 37 weeks and < 32 weeks, respectively. The respective values for SGA < 3<sup>rd</sup> percentile were 44.7% and 51.7%. Also at a 10% false-positive rate, maternal factors, UtA-PI and PAPP-A predicted 42.2% and 51.5% of SGA < 10<sup>th</sup> percentile delivered < 37 weeks and < 32 weeks, respectively. The respective values for SGA < 3<sup>rd</sup> percentile were 46.2% and 51.7%. At a 10% false-positive rate, maternal factors, UtA-PI, PAPP-A and PlGF predicted 47.6% and 66.7% of SGA < 10<sup>th</sup> percentile delivered < 37 weeks and < 32 weeks, respectively. The respective values for SGA < 3<sup>rd</sup> percentile were 50.0% and 69.0%. These data were similar to those reported in the original model's development study and substantially better than those calculated using pre-existing logistic-regression models (McNemar's test, P < 0.001). The FMF competing-risks model was well calibrated.</p><p><strong>Conclusions: </strong>The FMF competing-risks model for the first-trimester prediction of SGA is reproducible in an independent, unselected low-risk cohort and superior to logistic-regression approaches. © 2025 The Author(s). Ultrasound in Obstetrics & Gynecology published by John Wiley & Sons Ltd on behalf of International Society of Ultrasound in Obstetrics and Gynecology.</p>","PeriodicalId":23454,"journal":{"name":"Ultrasound in Obstetrics & Gynecology","volume":" ","pages":"729-737"},"PeriodicalIF":6.3000,"publicationDate":"2025-06-01","publicationTypes":"Journal Article","fieldsOfStudy":null,"isOpenAccess":false,"openAccessPdf":"https://www.ncbi.nlm.nih.gov/pmc/articles/PMC12127715/pdf/","citationCount":"0","resultStr":null,"platform":"Semanticscholar","paperid":null,"PeriodicalName":"Ultrasound in Obstetrics & Gynecology","FirstCategoryId":"3","ListUrlMain":"https://doi.org/10.1002/uog.29219","RegionNum":1,"RegionCategory":"医学","ArticlePicture":[],"TitleCN":null,"AbstractTextCN":null,"PMCID":null,"EPubDate":"2025/4/14 0:00:00","PubModel":"Epub","JCR":"Q1","JCRName":"ACOUSTICS","Score":null,"Total":0}
引用次数: 0

Abstract

Objectives: To examine the predictive performance of the Fetal Medicine Foundation (FMF) competing-risks model for the first-trimester prediction of a small-for-gestational-age (SGA) neonate in a large, independent, unselected European cohort and to compare the competing-risks algorithm with previously published logistic-regression models.

Methods: This was a retrospective, non-interventional, multicenter cohort study including 35 170 women with a singleton pregnancy who underwent a first-trimester ultrasound assessment between 11 + 0 and 13 + 6 weeks' gestation. We used the default FMF competing-risks model for the prediction of SGA combining maternal factors, uterine artery pulsatility index (UtA-PI), pregnancy-associated plasma protein-A (PAPP-A) and placental growth factor (PlGF) to obtain risks for different cut-offs of birth-weight percentile and gestational age at delivery. We examined the predictive performance in terms of discrimination and calibration and compared it with the published data on the model's development population and with published logistic-regression equations.

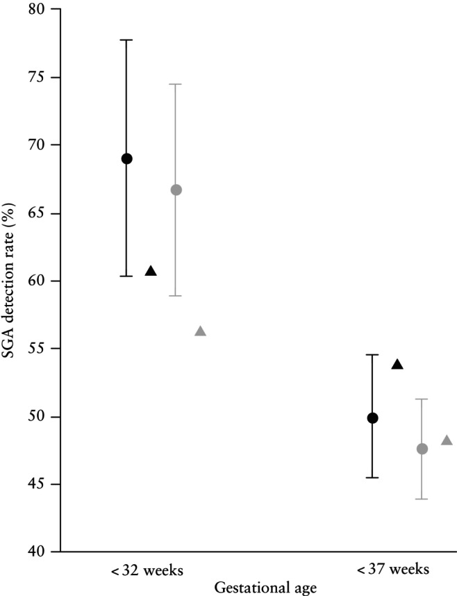
Results: At a 10% false-positive rate, maternal factors and UtA-PI predicted 42.2% and 51.5% of SGA < 10th percentile delivered < 37 weeks and < 32 weeks, respectively. The respective values for SGA < 3rd percentile were 44.7% and 51.7%. Also at a 10% false-positive rate, maternal factors, UtA-PI and PAPP-A predicted 42.2% and 51.5% of SGA < 10th percentile delivered < 37 weeks and < 32 weeks, respectively. The respective values for SGA < 3rd percentile were 46.2% and 51.7%. At a 10% false-positive rate, maternal factors, UtA-PI, PAPP-A and PlGF predicted 47.6% and 66.7% of SGA < 10th percentile delivered < 37 weeks and < 32 weeks, respectively. The respective values for SGA < 3rd percentile were 50.0% and 69.0%. These data were similar to those reported in the original model's development study and substantially better than those calculated using pre-existing logistic-regression models (McNemar's test, P < 0.001). The FMF competing-risks model was well calibrated.

Conclusions: The FMF competing-risks model for the first-trimester prediction of SGA is reproducible in an independent, unselected low-risk cohort and superior to logistic-regression approaches. © 2025 The Author(s). Ultrasound in Obstetrics & Gynecology published by John Wiley & Sons Ltd on behalf of International Society of Ultrasound in Obstetrics and Gynecology.

Abstract Image

Abstract Image

Abstract Image

胎儿医学基金会早期小胎龄新生儿竞争风险模型的外部验证与比较:多中心队列研究
目的:研究胎儿医学基金会(FMF)竞争风险模型在一个大型、独立、未选择的欧洲队列中对小胎龄(SGA)新生儿早期妊娠预测的预测性能,并将竞争风险算法与先前发表的logistic回归模型进行比较。方法:这是一项回顾性、非介入性、多中心队列研究,包括35 170名单胎妊娠妇女,她们在妊娠11 + 0周至13 + 6周期间接受了妊娠早期超声评估。我们结合母体因素、子宫动脉搏动指数(UtA-PI)、妊娠相关血浆蛋白-a (PAPP-A)和胎盘生长因子(PlGF),使用默认的FMF竞争风险模型预测SGA,以获得不同出生体重百分位数和分娩时胎龄的风险。我们从辨别和校准的角度检查了预测性能,并将其与已发表的模型发展人口数据和已发表的逻辑回归方程进行了比较。结果:在假阳性率为10%的情况下,母体因素和UtA-PI对SGA的预测率分别为42.2%和51.5%;同样在假阳性率为10%时,母体因素、UtA-PI和pap - a预测SGA的42.2%和51.5%;分娩百分位数为46.2%和51.7%;在假阳性率为10%时,母体因素、UtA-PI、pap - a和PlGF预测SGA的47.6%和66.7%;分娩百分位数为50.0%和69.0%;这些数据与原始模型开发研究中报告的数据相似,并且大大优于使用预先存在的逻辑回归模型计算的数据(McNemar检验,P)。结论:FMF竞争风险模型用于早期妊娠预测SGA在独立的、未选择的低风险队列中是可重复的,优于逻辑回归方法。©2025国际妇产科超声学会。
本文章由计算机程序翻译,如有差异,请以英文原文为准。
求助全文
约1分钟内获得全文 求助全文
来源期刊
CiteScore
12.30
自引率
14.10%
发文量
891
审稿时长
1 months
期刊介绍: Ultrasound in Obstetrics & Gynecology (UOG) is the official journal of the International Society of Ultrasound in Obstetrics and Gynecology (ISUOG) and is considered the foremost international peer-reviewed journal in the field. It publishes cutting-edge research that is highly relevant to clinical practice, which includes guidelines, expert commentaries, consensus statements, original articles, and systematic reviews. UOG is widely recognized and included in prominent abstract and indexing databases such as Index Medicus and Current Contents.
×
引用
GB/T 7714-2015
复制
MLA
复制
APA
复制
导出至
BibTeX EndNote RefMan NoteFirst NoteExpress
×
提示
您的信息不完整,为了账户安全,请先补充。
现在去补充
×
提示
您因"违规操作"
具体请查看互助需知
我知道了
×
提示
确定
请完成安全验证×
copy
已复制链接
快去分享给好友吧!
我知道了
右上角分享
点击右上角分享
0
联系我们:info@booksci.cn Book学术提供免费学术资源搜索服务,方便国内外学者检索中英文文献。致力于提供最便捷和优质的服务体验。 Copyright © 2023 布克学术 All rights reserved.
京ICP备2023020795号-1
ghs 京公网安备 11010802042870号
Book学术文献互助
Book学术文献互助群
群 号:604180095
Book学术官方微信