A Subgroup Reanalysis of the Efficacy of Bufei Huoxue Capsules in Patients With "Long-Covid-19".

IF 2.5 4区 医学 Q2 CARDIAC & CARDIOVASCULAR SYSTEMS
Pulmonary Circulation Pub Date : 2025-04-27 eCollection Date: 2025-04-01 DOI:10.1002/pul2.70084
Chi Hou, Yue Xing, Yuqin Chen, Tingping Wang, Jingjing Qi, Xiaoqing Jia, Xiansheng Zeng, Jianling Bai, Wenju Lu, Yu Deng, Bihua Zhong, Yongxia Lei, Yilin Chen, Zhan Lian, Haohao Zhou, Junping Yan, Xuejiao Yang, Hao Yu, Jiawei Zhou, Lixia Qiu, Yunliang Zhai, Wanli Geng, Nanshan Zhong, Chunli Liu, Jian Wang
{"title":"A Subgroup Reanalysis of the Efficacy of Bufei Huoxue Capsules in Patients With \"Long-Covid-19\".","authors":"Chi Hou, Yue Xing, Yuqin Chen, Tingping Wang, Jingjing Qi, Xiaoqing Jia, Xiansheng Zeng, Jianling Bai, Wenju Lu, Yu Deng, Bihua Zhong, Yongxia Lei, Yilin Chen, Zhan Lian, Haohao Zhou, Junping Yan, Xuejiao Yang, Hao Yu, Jiawei Zhou, Lixia Qiu, Yunliang Zhai, Wanli Geng, Nanshan Zhong, Chunli Liu, Jian Wang","doi":"10.1002/pul2.70084","DOIUrl":null,"url":null,"abstract":"<p><p>Bufei huoxue capsules (BFHX), manufactured products of traditional Chinese medicine, have demonstrated anti-inflammatory properties and efficacy against chronic pulmonary diseases and COVID-19. This study was designed to further determine the clinical efficacy of BFHX in diverse patient subgroups during the convalescent phase of COVID-19, extending upon previously reported findings from a multicenter randomized controlled trial. Patients who had clinically recovered from COVID-19 were blindly assigned to BFHX or placebo groups. All enrolled patients underwent chest computed tomography (CT) imaging, 6-min walking distance (6MWD) test, and fatigue assessment inventory (FAI) at monthly follow-up for 3 months. A post hoc subgroup reanalysis was performed on subgroups of sex, age, severity of acute illness, and positive/negative IgG antibody against S antigen variants. A total of 129 patients were enrolled in BFHX (<i>N</i> = 64) and placebo groups (<i>N</i> = 65). The 6MWD and FAI scores were more significantly improved in females and mild patients than in males and severe patients after BFHX treatment. Lung CT image evaluated by the change in whole lung volume and mean CT value showed that the patients below 60 years gained more therapeutic effects after 3 months of BFHX treatment (<i>p</i> = 0.0008; <i>p</i> = 0.017; <i>p</i> = 0.0313, respectively). The subgroup reanalysis implies that the therapeutic effectiveness of BFHX in managing COVID-19 convalescence could potentially be influenced by factors including gender, age, and disease severity. <b>Trial registration:</b> This study was registered with the China Clinical Trial Registration Center (registration number: ChiCTR2000032573).</p>","PeriodicalId":20927,"journal":{"name":"Pulmonary Circulation","volume":"15 2","pages":"e70084"},"PeriodicalIF":2.5000,"publicationDate":"2025-04-27","publicationTypes":"Journal Article","fieldsOfStudy":null,"isOpenAccess":false,"openAccessPdf":"https://www.ncbi.nlm.nih.gov/pmc/articles/PMC12034259/pdf/","citationCount":"0","resultStr":null,"platform":"Semanticscholar","paperid":null,"PeriodicalName":"Pulmonary Circulation","FirstCategoryId":"3","ListUrlMain":"https://doi.org/10.1002/pul2.70084","RegionNum":4,"RegionCategory":"医学","ArticlePicture":[],"TitleCN":null,"AbstractTextCN":null,"PMCID":null,"EPubDate":"2025/4/1 0:00:00","PubModel":"eCollection","JCR":"Q2","JCRName":"CARDIAC & CARDIOVASCULAR SYSTEMS","Score":null,"Total":0}
引用次数: 0

Abstract

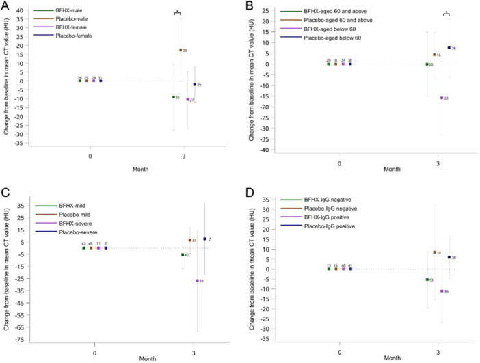
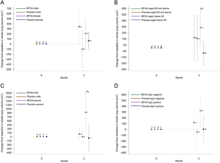
Bufei huoxue capsules (BFHX), manufactured products of traditional Chinese medicine, have demonstrated anti-inflammatory properties and efficacy against chronic pulmonary diseases and COVID-19. This study was designed to further determine the clinical efficacy of BFHX in diverse patient subgroups during the convalescent phase of COVID-19, extending upon previously reported findings from a multicenter randomized controlled trial. Patients who had clinically recovered from COVID-19 were blindly assigned to BFHX or placebo groups. All enrolled patients underwent chest computed tomography (CT) imaging, 6-min walking distance (6MWD) test, and fatigue assessment inventory (FAI) at monthly follow-up for 3 months. A post hoc subgroup reanalysis was performed on subgroups of sex, age, severity of acute illness, and positive/negative IgG antibody against S antigen variants. A total of 129 patients were enrolled in BFHX (N = 64) and placebo groups (N = 65). The 6MWD and FAI scores were more significantly improved in females and mild patients than in males and severe patients after BFHX treatment. Lung CT image evaluated by the change in whole lung volume and mean CT value showed that the patients below 60 years gained more therapeutic effects after 3 months of BFHX treatment (p = 0.0008; p = 0.017; p = 0.0313, respectively). The subgroup reanalysis implies that the therapeutic effectiveness of BFHX in managing COVID-19 convalescence could potentially be influenced by factors including gender, age, and disease severity. Trial registration: This study was registered with the China Clinical Trial Registration Center (registration number: ChiCTR2000032573).

Abstract Image

Abstract Image

Abstract Image

补肺活血胶囊治疗“长冠状病毒”疗效的亚组再分析。
补肺活血胶囊(BFHX)是中药制剂,具有抗炎作用,对慢性肺部疾病和COVID-19有疗效。本研究旨在进一步确定BFHX在COVID-19恢复期不同患者亚组中的临床疗效,扩展先前报道的多中心随机对照试验结果。将临床康复的患者盲目分为BFHX组和安慰剂组。所有入组患者在每月随访3个月时均接受胸部计算机断层扫描(CT)成像、6分钟步行距离(6MWD)测试和疲劳评估量表(FAI)。对性别、年龄、急性疾病严重程度和抗S抗原变异IgG抗体阳性/阴性的亚组进行事后亚组再分析。共有129名患者被纳入BFHX组(N = 64)和安慰剂组(N = 65)。BFHX治疗后,女性和轻度患者的6MWD和FAI评分明显高于男性和重度患者。以全肺体积和CT平均值变化评价的肺部CT图像显示,60岁以下患者在BFHX治疗3个月后获得了更多的治疗效果(p = 0.0008;p = 0.017;P = 0.0313)。亚组再分析表明,BFHX治疗COVID-19恢复期的疗效可能受到性别、年龄和疾病严重程度等因素的影响。试验注册:本研究已在中国临床试验注册中心注册,注册号:ChiCTR2000032573。
本文章由计算机程序翻译,如有差异,请以英文原文为准。
求助全文
约1分钟内获得全文 求助全文
来源期刊
Pulmonary Circulation
Pulmonary Circulation Medicine-Pulmonary and Respiratory Medicine
CiteScore
4.20
自引率
11.50%
发文量
153
审稿时长
15 weeks
期刊介绍: Pulmonary Circulation''s main goal is to encourage basic, translational, and clinical research by investigators, physician-scientists, and clinicans, in the hope of increasing survival rates for pulmonary hypertension and other pulmonary vascular diseases worldwide, and developing new therapeutic approaches for the diseases. Freely available online, Pulmonary Circulation allows diverse knowledge of research, techniques, and case studies to reach a wide readership of specialists in order to improve patient care and treatment outcomes.
×
引用
GB/T 7714-2015
复制
MLA
复制
APA
复制
导出至
BibTeX EndNote RefMan NoteFirst NoteExpress
×
提示
您的信息不完整,为了账户安全,请先补充。
现在去补充
×
提示
您因"违规操作"
具体请查看互助需知
我知道了
×
提示
确定
请完成安全验证×
copy
已复制链接
快去分享给好友吧!
我知道了
右上角分享
点击右上角分享
0
联系我们:info@booksci.cn Book学术提供免费学术资源搜索服务,方便国内外学者检索中英文文献。致力于提供最便捷和优质的服务体验。 Copyright © 2023 布克学术 All rights reserved.
京ICP备2023020795号-1
ghs 京公网安备 11010802042870号
Book学术文献互助
Book学术文献互助群
群 号:604180095
Book学术官方微信