Vulnerability Assessment and Enhanced Community-based Care and Management of Patients With Tuberculosis in Korea: A Crossover Design.

IF 2.1 Q2 PUBLIC, ENVIRONMENTAL & OCCUPATIONAL HEALTH
Jeongmi Seo, Dawoon Jeong, In-Hyuk Lee, Jiyeon Han, Yunhyung Kwon, Eunhye Shim, Hongjo Choi
{"title":"Vulnerability Assessment and Enhanced Community-based Care and Management of Patients With Tuberculosis in Korea: A Crossover Design.","authors":"Jeongmi Seo, Dawoon Jeong, In-Hyuk Lee, Jiyeon Han, Yunhyung Kwon, Eunhye Shim, Hongjo Choi","doi":"10.3961/jpmph.24.597","DOIUrl":null,"url":null,"abstract":"<p><strong>Objectives: </strong>People-centered care and social protection are critical for improving tuberculosis (TB) treatment outcomes. This study aimed to evaluate whether a vulnerability assessment tool, developed for an enhanced community-based care and management (ECCM) program in 2 Korean cities, could predict and improve final TB treatment outcomes based on patients' vulnerability levels.</p><p><strong>Methods: </strong>Treatment outcomes in the ECCM group were compared with those in a control group, stratified by vulnerability level. During stage 1, one city served as the intervention region and the other as the control, with a crossover in stage 2. The vulnerability assessment included all notified patients with TB, and those identified as highly vulnerable in the intervention group received social support following a consultation with a case manager.</p><p><strong>Results: </strong>The vulnerability assessment tool demonstrated moderate predictive ability for unfavorable outcomes, with an area under the curve of 0.70 (95% confidence interval, 0.63 to 0.77). The patients with high vulnerability who received ECCM treatment demonstrated a 19.8-percentage point (%p) higher treatment success rate than the high vulnerability subcategory of the control group. ECCM also appeared to reduce loss to follow-up and TB-related mortality by 8.4%p and 7.3%p, respectively, although these findings should be interpreted with caution.</p><p><strong>Conclusions: </strong>The results suggest that providing social support tailored to patient vulnerability at the time of diagnosis could improve TB treatment outcomes.</p>","PeriodicalId":16893,"journal":{"name":"Journal of Preventive Medicine and Public Health","volume":" ","pages":"317-325"},"PeriodicalIF":2.1000,"publicationDate":"2025-05-01","publicationTypes":"Journal Article","fieldsOfStudy":null,"isOpenAccess":false,"openAccessPdf":"https://www.ncbi.nlm.nih.gov/pmc/articles/PMC12149844/pdf/","citationCount":"0","resultStr":null,"platform":"Semanticscholar","paperid":null,"PeriodicalName":"Journal of Preventive Medicine and Public Health","FirstCategoryId":"1085","ListUrlMain":"https://doi.org/10.3961/jpmph.24.597","RegionNum":0,"RegionCategory":null,"ArticlePicture":[],"TitleCN":null,"AbstractTextCN":null,"PMCID":null,"EPubDate":"2025/2/25 0:00:00","PubModel":"Epub","JCR":"Q2","JCRName":"PUBLIC, ENVIRONMENTAL & OCCUPATIONAL HEALTH","Score":null,"Total":0}
引用次数: 0

Abstract

Objectives: People-centered care and social protection are critical for improving tuberculosis (TB) treatment outcomes. This study aimed to evaluate whether a vulnerability assessment tool, developed for an enhanced community-based care and management (ECCM) program in 2 Korean cities, could predict and improve final TB treatment outcomes based on patients' vulnerability levels.

Methods: Treatment outcomes in the ECCM group were compared with those in a control group, stratified by vulnerability level. During stage 1, one city served as the intervention region and the other as the control, with a crossover in stage 2. The vulnerability assessment included all notified patients with TB, and those identified as highly vulnerable in the intervention group received social support following a consultation with a case manager.

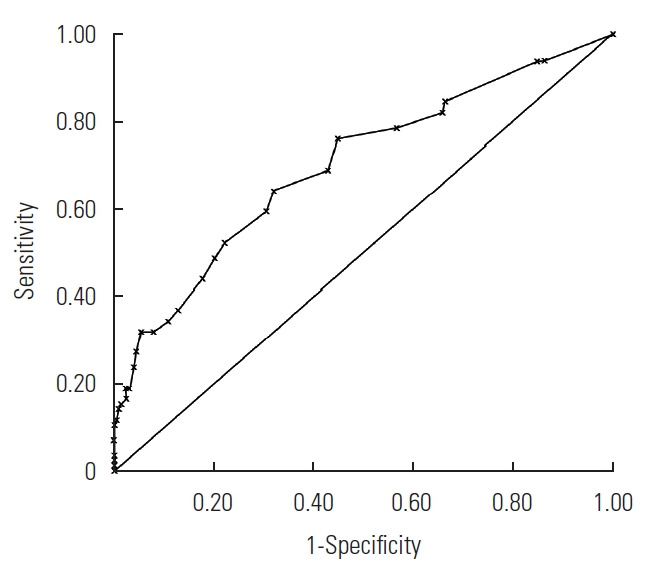
Results: The vulnerability assessment tool demonstrated moderate predictive ability for unfavorable outcomes, with an area under the curve of 0.70 (95% confidence interval, 0.63 to 0.77). The patients with high vulnerability who received ECCM treatment demonstrated a 19.8-percentage point (%p) higher treatment success rate than the high vulnerability subcategory of the control group. ECCM also appeared to reduce loss to follow-up and TB-related mortality by 8.4%p and 7.3%p, respectively, although these findings should be interpreted with caution.

Conclusions: The results suggest that providing social support tailored to patient vulnerability at the time of diagnosis could improve TB treatment outcomes.

Abstract Image

Abstract Image

Abstract Image

韩国结核病患者的脆弱性评估和加强社区护理与管理:交叉设计。
目标:以人为本的护理和社会保护对改善结核病治疗结果至关重要。本研究旨在评估脆弱性评估工具是否可以根据患者的脆弱性水平预测和改善最终的结核病治疗结果,该工具是为韩国2个城市的强化社区护理和管理(ECCM)项目开发的。方法:将ECCM组治疗结果与对照组进行比较,按易损程度分层。在第一阶段,一个城市作为干预区,另一个城市作为对照区,在第二阶段进行交叉。脆弱性评估包括所有通报的结核病患者,干预组中被确定为高度脆弱的患者在与病例管理人员协商后获得社会支持。结果:脆弱性评估工具对不良结果的预测能力中等,曲线下面积为0.70 (95% CI, 0.63 ~ 0.77)。高易感性患者接受ECCM治疗的成功率比对照组高易感性患者高19.8个百分点(%p)。ECCM似乎也能将LTFU和结核病相关死亡率分别降低8.4%和7.3%,尽管这些发现应谨慎解释。结论:结果表明,在诊断时提供针对患者脆弱性的社会支持可以改善结核病治疗效果。
本文章由计算机程序翻译,如有差异,请以英文原文为准。
求助全文
约1分钟内获得全文 求助全文
来源期刊
Journal of Preventive Medicine and Public Health
Journal of Preventive Medicine and Public Health Medicine-Public Health, Environmental and Occupational Health
CiteScore
6.40
自引率
0.00%
发文量
60
审稿时长
8 weeks
×
引用
GB/T 7714-2015
复制
MLA
复制
APA
复制
导出至
BibTeX EndNote RefMan NoteFirst NoteExpress
×
提示
您的信息不完整,为了账户安全,请先补充。
现在去补充
×
提示
您因"违规操作"
具体请查看互助需知
我知道了
×
提示
确定
请完成安全验证×
copy
已复制链接
快去分享给好友吧!
我知道了
右上角分享
点击右上角分享
0
联系我们:info@booksci.cn Book学术提供免费学术资源搜索服务,方便国内外学者检索中英文文献。致力于提供最便捷和优质的服务体验。 Copyright © 2023 布克学术 All rights reserved.
京ICP备2023020795号-1
ghs 京公网安备 11010802042870号
Book学术文献互助
Book学术文献互助群
群 号:604180095
Book学术官方微信