Diagnostic Accuracy of Serum P16ink4A and FOX-P3 Concentrations for Detection of Cervical Lesions Among Women Attending a Cervical Cancer Clinic in Western Uganda: A Case-Control Study.

IF 2.7 4区 医学 Q3 CELL BIOLOGY
Analytical Cellular Pathology Pub Date : 2025-05-06 eCollection Date: 2025-01-01 DOI:10.1155/ancp/1931921
Frank Ssedyabane, Nixon Niyonzima, Joseph Ngonzi, Josephine Nambi Najjuma, Alexcer Namuli, Christopher Okeny, Doreen Nuwashaba, Abraham Birungi, Rogers Kajabwangu, Thomas C Randall, Cesar M Castro, Hakho Lee, Deusdedit Tusubira
{"title":"Diagnostic Accuracy of Serum P16ink4A and FOX-P3 Concentrations for Detection of Cervical Lesions Among Women Attending a Cervical Cancer Clinic in Western Uganda: A Case-Control Study.","authors":"Frank Ssedyabane, Nixon Niyonzima, Joseph Ngonzi, Josephine Nambi Najjuma, Alexcer Namuli, Christopher Okeny, Doreen Nuwashaba, Abraham Birungi, Rogers Kajabwangu, Thomas C Randall, Cesar M Castro, Hakho Lee, Deusdedit Tusubira","doi":"10.1155/ancp/1931921","DOIUrl":null,"url":null,"abstract":"<p><p><b>Introduction:</b> Expression of P16ink4A and FOXP3 is correlated with the grades of cervical lesions. In this study, we determined the diagnostic accuracy of serum P16ink4A and FOXP3 concentrations for detection of cervical intraepithelial neoplasia (CIN) and cervical cancer (CC) in a rural setting in Southwestern Uganda. <b>Material and Methods:</b> CIN and CC cases (93 each before treatment), and 93 controls were identified. Clinical and demographic data were documented before quantifying serum P16ink4A and FOXP3 concentrations using quantitative ELISA kits. Cases were confirmed by cytology and/or histology. We employed descriptive statistics, cross-tabulation, and receiver operating curves (ROC) using statistical software for data science (STATA) 17. <i>p</i>-values <0.05 were considered statistically significant. <b>Results:</b> Serum FOXP3 concentration of 0.0545 ng/mL < showed moderate sensitivity (32.22% and 57.78%) for detection of CIN and CC from healthy controls, respectively. It also showed a moderately high specificity of 68.89% for detection of both CIN and CC from healthy controls (AUC-0.6014 and 0.7679, respectively). Serum P16ink4A concentration of 0.946 ng/mL < showed moderate sensitivities (50.00% and 60.00%) and specificities (56.67% and 55.56%) for the detection of CIN and CC from healthy controls, respectively (AUC-0.6085 and 0.7592, respectively). A combination of elevated serum FOXP3 and P16ink4A showed very low sensitivities of 18.89% in detecting CIN from healthy controls and 33.33% for detecting CC from healthy controls. This combination showed high specificity of 83.33% in detecting both CIN and CC from healthy controls (AUC-0.5992 and 0.7642, respectively). <b>Conclusion:</b> Although serum P16ink4A and FOXP3 concentrations showed moderate accuracy, their combination was more specific than sensitive. This combination has a high potential to be applied for diagnosis rather than screening for cervical lesions, at least in the Ugandan population. Combinations of P16ink4A and FOXP3 with other biomarkers could improve diagnostic accuracies. Additionally, studies could be conducted to assess the performance of these biomarkers in the detection of cervical lesions in specific populations, say Human Immunodeficiency Virus (HIV)-positive and HIV-negative populations.</p>","PeriodicalId":49326,"journal":{"name":"Analytical Cellular Pathology","volume":"2025 ","pages":"1931921"},"PeriodicalIF":2.7000,"publicationDate":"2025-05-06","publicationTypes":"Journal Article","fieldsOfStudy":null,"isOpenAccess":false,"openAccessPdf":"https://www.ncbi.nlm.nih.gov/pmc/articles/PMC12074841/pdf/","citationCount":"0","resultStr":null,"platform":"Semanticscholar","paperid":null,"PeriodicalName":"Analytical Cellular Pathology","FirstCategoryId":"3","ListUrlMain":"https://doi.org/10.1155/ancp/1931921","RegionNum":4,"RegionCategory":"医学","ArticlePicture":[],"TitleCN":null,"AbstractTextCN":null,"PMCID":null,"EPubDate":"2025/1/1 0:00:00","PubModel":"eCollection","JCR":"Q3","JCRName":"CELL BIOLOGY","Score":null,"Total":0}
引用次数: 0

Abstract

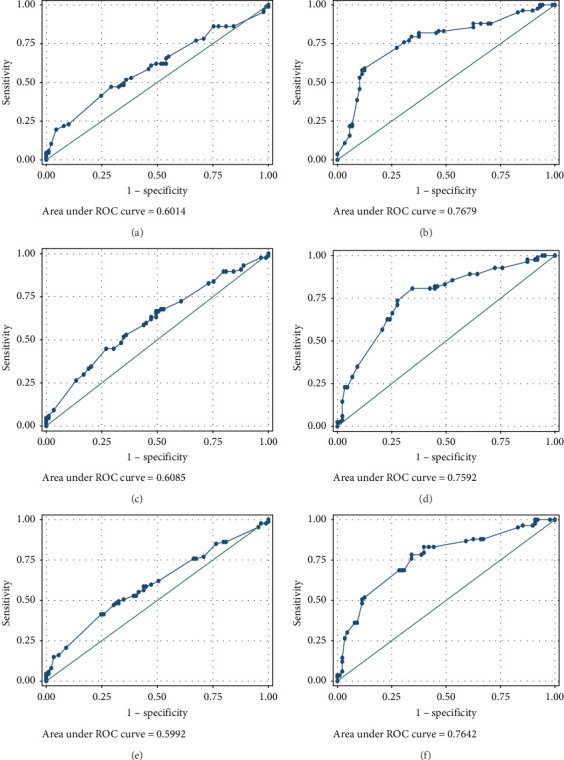
Introduction: Expression of P16ink4A and FOXP3 is correlated with the grades of cervical lesions. In this study, we determined the diagnostic accuracy of serum P16ink4A and FOXP3 concentrations for detection of cervical intraepithelial neoplasia (CIN) and cervical cancer (CC) in a rural setting in Southwestern Uganda. Material and Methods: CIN and CC cases (93 each before treatment), and 93 controls were identified. Clinical and demographic data were documented before quantifying serum P16ink4A and FOXP3 concentrations using quantitative ELISA kits. Cases were confirmed by cytology and/or histology. We employed descriptive statistics, cross-tabulation, and receiver operating curves (ROC) using statistical software for data science (STATA) 17. p-values <0.05 were considered statistically significant. Results: Serum FOXP3 concentration of 0.0545 ng/mL < showed moderate sensitivity (32.22% and 57.78%) for detection of CIN and CC from healthy controls, respectively. It also showed a moderately high specificity of 68.89% for detection of both CIN and CC from healthy controls (AUC-0.6014 and 0.7679, respectively). Serum P16ink4A concentration of 0.946 ng/mL < showed moderate sensitivities (50.00% and 60.00%) and specificities (56.67% and 55.56%) for the detection of CIN and CC from healthy controls, respectively (AUC-0.6085 and 0.7592, respectively). A combination of elevated serum FOXP3 and P16ink4A showed very low sensitivities of 18.89% in detecting CIN from healthy controls and 33.33% for detecting CC from healthy controls. This combination showed high specificity of 83.33% in detecting both CIN and CC from healthy controls (AUC-0.5992 and 0.7642, respectively). Conclusion: Although serum P16ink4A and FOXP3 concentrations showed moderate accuracy, their combination was more specific than sensitive. This combination has a high potential to be applied for diagnosis rather than screening for cervical lesions, at least in the Ugandan population. Combinations of P16ink4A and FOXP3 with other biomarkers could improve diagnostic accuracies. Additionally, studies could be conducted to assess the performance of these biomarkers in the detection of cervical lesions in specific populations, say Human Immunodeficiency Virus (HIV)-positive and HIV-negative populations.

Abstract Image

Abstract Image

血清P16ink4A和FOX-P3浓度对在西乌干达宫颈癌诊所就诊的妇女检测宫颈病变的诊断准确性:一项病例对照研究
简介:P16ink4A和FOXP3的表达与宫颈病变的分级相关。在这项研究中,我们确定了血清P16ink4A和FOXP3浓度对乌干达西南部农村地区宫颈上皮内瘤变(CIN)和宫颈癌(CC)检测的诊断准确性。材料与方法:治疗前CIN和CC各93例,对照组93例。在使用定量ELISA试剂盒定量血清P16ink4A和FOXP3浓度之前,记录临床和人口统计学数据。病例经细胞学和/或组织学证实。我们使用数据科学统计软件(STATA) 17采用描述性统计、交叉表和受试者工作曲线(ROC)。p值结果:正常对照血清FOXP3浓度< 0.0545 ng/mL时,对CIN和CC的检测灵敏度分别为32.22%和57.78%。该方法对健康对照的CIN和CC的检测也显示出68.89%的中等高特异性(auc分别为0.6014和0.7679)。血清P16ink4A浓度< 0.946 ng/mL对健康对照CIN和CC的检测灵敏度分别为50.00%和60.00%,特异度分别为56.67%和55.56% (auc分别为0.6085和0.7592)。血清FOXP3和P16ink4A联合升高对健康对照中CIN的检测灵敏度非常低,为18.89%,对健康对照中CC的检测灵敏度为33.33%。该组合在健康对照中检测CIN和CC的特异性均为83.33% (auc分别为0.5992和0.7642)。结论:虽然血清P16ink4A和FOXP3浓度具有中等的准确性,但其联合使用特异性大于敏感性。至少在乌干达人口中,这种组合很有可能用于诊断而不是筛查宫颈病变。P16ink4A和FOXP3与其他生物标志物的结合可以提高诊断的准确性。此外,还可以开展研究来评估这些生物标志物在特定人群中检测宫颈病变的性能,例如人类免疫缺陷病毒(HIV)阳性和HIV阴性人群。
本文章由计算机程序翻译,如有差异,请以英文原文为准。
求助全文
约1分钟内获得全文 求助全文
来源期刊
Analytical Cellular Pathology
Analytical Cellular Pathology ONCOLOGY-CELL BIOLOGY
CiteScore
4.90
自引率
3.10%
发文量
70
审稿时长
16 weeks
期刊介绍: Analytical Cellular Pathology is a peer-reviewed, Open Access journal that provides a forum for scientists, medical practitioners and pathologists working in the area of cellular pathology. The journal publishes original research articles, review articles, and clinical studies related to cytology, carcinogenesis, cell receptors, biomarkers, diagnostic pathology, immunopathology, and hematology.
×
引用
GB/T 7714-2015
复制
MLA
复制
APA
复制
导出至
BibTeX EndNote RefMan NoteFirst NoteExpress
×
提示
您的信息不完整,为了账户安全,请先补充。
现在去补充
×
提示
您因"违规操作"
具体请查看互助需知
我知道了
×
提示
确定
请完成安全验证×
copy
已复制链接
快去分享给好友吧!
我知道了
右上角分享
点击右上角分享
0
联系我们:info@booksci.cn Book学术提供免费学术资源搜索服务,方便国内外学者检索中英文文献。致力于提供最便捷和优质的服务体验。 Copyright © 2023 布克学术 All rights reserved.
京ICP备2023020795号-1
ghs 京公网安备 11010802042870号
Book学术文献互助
Book学术文献互助群
群 号:604180095
Book学术官方微信