Counseling Ethics: The Case of Sexuality Information.

Daniel Del Rio Forero, Claudia Pineda Marín, Diego Andrés Alfonso Murcia, María Teresa Muñoz Sastre, Etienne Mullet
{"title":"Counseling Ethics: The Case of Sexuality Information.","authors":"Daniel Del Rio Forero, Claudia Pineda Marín, Diego Andrés Alfonso Murcia, María Teresa Muñoz Sastre, Etienne Mullet","doi":"10.18502/jfrh.v19i1.18436","DOIUrl":null,"url":null,"abstract":"<p><strong>Objective: </strong>The study aimed to identify Colombian adults' positions in cases in which a counsellor can and should not do so in a situation where parents who are uncomfortable with all issues related to sexuality ask their daughter's school counsellor to help answer her questions about these topics.</p><p><strong>Materials and methods: </strong>A convenience sample of 180 adults, including 19 school counsellors, was presented with a set of 24 vignettes created by orthogonally crossing three factors: (a) the context of the request (e.g., parents ask the educator to limit sexual information to purely biological aspects), (b) whether the adolescent requests additional information, and (c) the type of information provided by the educator (e.g., comprehensive information, including abortion).</p><p><strong>Results: </strong>A cluster analysis of participants' appropriateness judgments regarding counsellor's behavior revealed four qualitatively different positions: <i>Depends on adolescent's request</i> (5%), <i>Completeness of information</i> (26%), <i>Biological information is insufficient</i> (31%), and <i>at educator's discretion</i> (16%). In addition, 18% (most religious) expressed no discernible position.</p><p><strong>Conclusion: </strong>The majority of participants (57%) thus expressed the view that the most appropriate behavior on the part of the counselor was to provide the most comprehensive information possible, and certainly not to focus solely on the biological aspects of sex education during counseling. This view was largely independent of contextual elements such as the limits to communication set by the parents or even the limits to communication set by the adolescent.</p>","PeriodicalId":15845,"journal":{"name":"Journal of Family and Reproductive Health","volume":"19 1","pages":"19-30"},"PeriodicalIF":0.0000,"publicationDate":"2025-03-01","publicationTypes":"Journal Article","fieldsOfStudy":null,"isOpenAccess":false,"openAccessPdf":"https://www.ncbi.nlm.nih.gov/pmc/articles/PMC12060198/pdf/","citationCount":"0","resultStr":null,"platform":"Semanticscholar","paperid":null,"PeriodicalName":"Journal of Family and Reproductive Health","FirstCategoryId":"1085","ListUrlMain":"https://doi.org/10.18502/jfrh.v19i1.18436","RegionNum":0,"RegionCategory":null,"ArticlePicture":[],"TitleCN":null,"AbstractTextCN":null,"PMCID":null,"EPubDate":"","PubModel":"","JCR":"","JCRName":"","Score":null,"Total":0}
引用次数: 0

Abstract

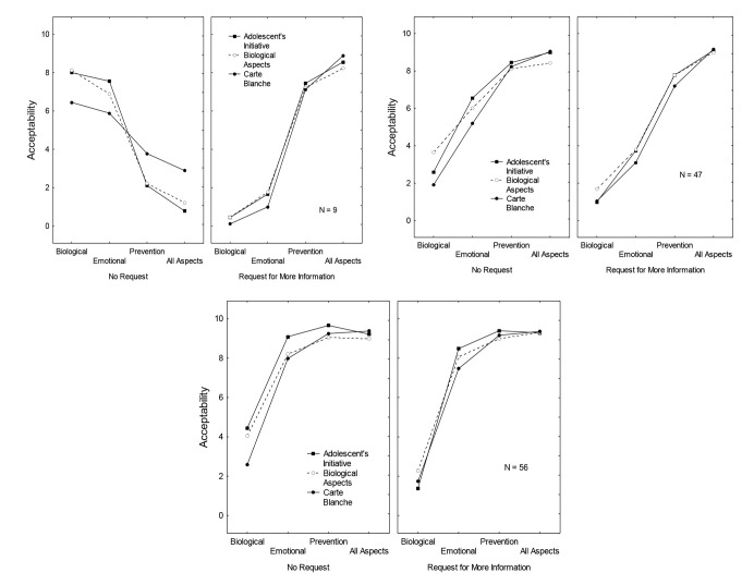
Objective: The study aimed to identify Colombian adults' positions in cases in which a counsellor can and should not do so in a situation where parents who are uncomfortable with all issues related to sexuality ask their daughter's school counsellor to help answer her questions about these topics.

Materials and methods: A convenience sample of 180 adults, including 19 school counsellors, was presented with a set of 24 vignettes created by orthogonally crossing three factors: (a) the context of the request (e.g., parents ask the educator to limit sexual information to purely biological aspects), (b) whether the adolescent requests additional information, and (c) the type of information provided by the educator (e.g., comprehensive information, including abortion).

Results: A cluster analysis of participants' appropriateness judgments regarding counsellor's behavior revealed four qualitatively different positions: Depends on adolescent's request (5%), Completeness of information (26%), Biological information is insufficient (31%), and at educator's discretion (16%). In addition, 18% (most religious) expressed no discernible position.

Conclusion: The majority of participants (57%) thus expressed the view that the most appropriate behavior on the part of the counselor was to provide the most comprehensive information possible, and certainly not to focus solely on the biological aspects of sex education during counseling. This view was largely independent of contextual elements such as the limits to communication set by the parents or even the limits to communication set by the adolescent.

Abstract Image

Abstract Image

咨询伦理:以性信息为例。
目的:该研究旨在确定哥伦比亚成年人在咨询师可以或不应该这样做的情况下的立场,在这种情况下,父母对所有与性有关的问题都感到不舒服,要求女儿的学校咨询师帮助回答她关于这些话题的问题。材料和方法:包括19名学校辅导员在内的180名成年人作为方便样本,向他们展示了一组24个小插图,这些插图是由三个因素正交交叉而成的:(A)请求的背景(例如,父母要求教育者将性信息限制在纯粹的生物学方面),(b)青少年是否要求额外的信息,(c)教育者提供的信息类型(例如,综合信息,包括堕胎)。结果:对被试对辅导员行为的适当性判断进行聚类分析,发现四种不同的立场:取决于青少年的要求(5%)、信息的完整性(26%)、生物信息不充分(31%)和由教育者决定(16%)。此外,18%的人(大多数是宗教人士)没有明确的立场。结论:大多数参与者(57%)认为咨询师最恰当的行为是尽可能提供最全面的信息,而不是在咨询过程中仅仅关注性教育的生物学方面。这种观点在很大程度上独立于语境因素,比如父母对交流的限制,甚至是青少年对交流的限制。
本文章由计算机程序翻译,如有差异,请以英文原文为准。
求助全文
约1分钟内获得全文 求助全文
来源期刊
自引率
0.00%
发文量
30
审稿时长
5 weeks
期刊介绍: The Journal of Family & Reproductive Health (JFRH) is the quarterly official journal of Vali–e–Asr Reproductive Health Research Center. This journal features fulllength, peerreviewed papers reporting original research, clinical case histories, review articles, as well as opinions and debates on topical issues. Papers published cover the scientific and medical aspects of reproductive physiology and pathology including genetics, endocrinology, andrology, embryology, gynecologic urology, fetomaternal medicine, oncology, infectious disease, public health, nutrition, surgery, menopause, family planning, infertility, psychiatry–psychology, demographic modeling, perinatalogy–neonatolgy ethics and social issues, and pharmacotherapy. A high scientific and editorial standard is maintained throughout the journal along with a regular rate of publication. All published articles will become the property of the JFRH. The editor and publisher accept no responsibility for the statements expressed by the authors here in. Also they do not guarantee, warrant or endorse any product or service advertised in the journal.
×
引用
GB/T 7714-2015
复制
MLA
复制
APA
复制
导出至
BibTeX EndNote RefMan NoteFirst NoteExpress
×
提示
您的信息不完整,为了账户安全,请先补充。
现在去补充
×
提示
您因"违规操作"
具体请查看互助需知
我知道了
×
提示
确定
请完成安全验证×
copy
已复制链接
快去分享给好友吧!
我知道了
右上角分享
点击右上角分享
0
联系我们:info@booksci.cn Book学术提供免费学术资源搜索服务,方便国内外学者检索中英文文献。致力于提供最便捷和优质的服务体验。 Copyright © 2023 布克学术 All rights reserved.
京ICP备2023020795号-1
ghs 京公网安备 11010802042870号
Book学术文献互助
Book学术文献互助群
群 号:604180095
Book学术官方微信