Three generations of epigenetic clocks in mediating the adverse effect of smoking on metabolic health.

IF 2.6 4区 医学 Q2 GENETICS & HEREDITY
Epigenomics Pub Date : 2025-05-01 Epub Date: 2025-04-18 DOI:10.1080/17501911.2025.2494497
Chen-Yu Yeh, Wan-Yu Lin
{"title":"Three generations of epigenetic clocks in mediating the adverse effect of smoking on metabolic health.","authors":"Chen-Yu Yeh, Wan-Yu Lin","doi":"10.1080/17501911.2025.2494497","DOIUrl":null,"url":null,"abstract":"<p><strong>Aims: </strong>Metabolic syndrome (MetS) is a composite disorder that includes abdominal obesity, impaired glucose levels, high blood pressure, and dyslipidemia. Smoking can alter epigenetic profiles and is a critical modifiable risk factor for MetS. We aim to explore the epigenetic age acceleration (EAA) that can mainly deliver smoking influences on metabolic health.</p><p><strong>Methods: </strong>We conducted a mediation analysis of 2,474 individuals with data in the Taiwan Biobank. Current and former smoking and the respective pack-years were included as four exposure factors. Seven markers of DNA methylation (DNAm) covering three generations of epigenetic clocks were included as mediators. Seven metabolic outcomes included MetS status (yes vs. no) and six related traits.</p><p><strong>Results: </strong>GrimEAA and DunedinPACE mediated the associations of the four smoking factors with MetS, fasting glucose, triglyceride, and high-density lipoprotein cholesterol levels (false discovery rate < 0.05). GrimEAA and DunedinPACE respectively mediated 48.2% and 24.2% of current smoking's effect on MetS and 60.9% and 26.1% of current smoking pack-year's effect on MetS risk. The DNAm plasminogen activator inhibitor 1 level mediated the adverse effects of current smoking status and pack-years on all seven metabolic outcomes.</p><p><strong>Conclusion: </strong>The GrimEAA-mediated proportions were approximately two times greater than the DunedinPACE-mediated proportions.</p>","PeriodicalId":11959,"journal":{"name":"Epigenomics","volume":"17 7","pages":"453-461"},"PeriodicalIF":2.6000,"publicationDate":"2025-05-01","publicationTypes":"Journal Article","fieldsOfStudy":null,"isOpenAccess":false,"openAccessPdf":"https://www.ncbi.nlm.nih.gov/pmc/articles/PMC12026080/pdf/","citationCount":"0","resultStr":null,"platform":"Semanticscholar","paperid":null,"PeriodicalName":"Epigenomics","FirstCategoryId":"3","ListUrlMain":"https://doi.org/10.1080/17501911.2025.2494497","RegionNum":4,"RegionCategory":"医学","ArticlePicture":[],"TitleCN":null,"AbstractTextCN":null,"PMCID":null,"EPubDate":"2025/4/18 0:00:00","PubModel":"Epub","JCR":"Q2","JCRName":"GENETICS & HEREDITY","Score":null,"Total":0}
引用次数: 0

Abstract

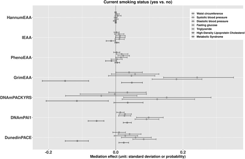
Aims: Metabolic syndrome (MetS) is a composite disorder that includes abdominal obesity, impaired glucose levels, high blood pressure, and dyslipidemia. Smoking can alter epigenetic profiles and is a critical modifiable risk factor for MetS. We aim to explore the epigenetic age acceleration (EAA) that can mainly deliver smoking influences on metabolic health.

Methods: We conducted a mediation analysis of 2,474 individuals with data in the Taiwan Biobank. Current and former smoking and the respective pack-years were included as four exposure factors. Seven markers of DNA methylation (DNAm) covering three generations of epigenetic clocks were included as mediators. Seven metabolic outcomes included MetS status (yes vs. no) and six related traits.

Results: GrimEAA and DunedinPACE mediated the associations of the four smoking factors with MetS, fasting glucose, triglyceride, and high-density lipoprotein cholesterol levels (false discovery rate < 0.05). GrimEAA and DunedinPACE respectively mediated 48.2% and 24.2% of current smoking's effect on MetS and 60.9% and 26.1% of current smoking pack-year's effect on MetS risk. The DNAm plasminogen activator inhibitor 1 level mediated the adverse effects of current smoking status and pack-years on all seven metabolic outcomes.

Conclusion: The GrimEAA-mediated proportions were approximately two times greater than the DunedinPACE-mediated proportions.

Abstract Image

Abstract Image

Abstract Image

三代表观遗传时钟介导吸烟对代谢健康的不利影响。
目的:代谢综合征(MetS)是一种复合性疾病,包括腹部肥胖、血糖水平受损、高血压和血脂异常。吸烟可以改变表观遗传特征,是MetS的关键可改变风险因素。我们的目的是探索表观遗传年龄加速(EAA),主要是通过吸烟对代谢健康的影响。方法:利用台湾生物库的资料,对2474名个体进行中介分析。目前和以前吸烟以及各自的包年被列入四个暴露因素。包括涵盖三代表观遗传时钟的7个DNA甲基化(DNAm)标记作为介质。7个代谢结果包括MetS状态(是或不是)和6个相关特征。结果:GrimEAA和DunedinPACE介导了四种吸烟因素与MetS、空腹血糖、甘油三酯和高密度脂蛋白胆固醇水平的关联(错误发现率)。结论:GrimEAA介导的比例大约是DunedinPACE介导的比例的两倍。
本文章由计算机程序翻译,如有差异,请以英文原文为准。
求助全文
约1分钟内获得全文 求助全文
来源期刊
Epigenomics
Epigenomics GENETICS & HEREDITY-
CiteScore
5.80
自引率
2.60%
发文量
95
审稿时长
>12 weeks
期刊介绍: Epigenomics provides the forum to address the rapidly progressing research developments in this ever-expanding field; to report on the major challenges ahead and critical advances that are propelling the science forward. The journal delivers this information in concise, at-a-glance article formats – invaluable to a time constrained community. Substantial developments in our current knowledge and understanding of genomics and epigenetics are constantly being made, yet this field is still in its infancy. Epigenomics provides a critical overview of the latest and most significant advances as they unfold and explores their potential application in the clinical setting.
×
引用
GB/T 7714-2015
复制
MLA
复制
APA
复制
导出至
BibTeX EndNote RefMan NoteFirst NoteExpress
×
提示
您的信息不完整,为了账户安全,请先补充。
现在去补充
×
提示
您因"违规操作"
具体请查看互助需知
我知道了
×
提示
确定
请完成安全验证×
copy
已复制链接
快去分享给好友吧!
我知道了
右上角分享
点击右上角分享
0
联系我们:info@booksci.cn Book学术提供免费学术资源搜索服务,方便国内外学者检索中英文文献。致力于提供最便捷和优质的服务体验。 Copyright © 2023 布克学术 All rights reserved.
京ICP备2023020795号-1
ghs 京公网安备 11010802042870号
Book学术文献互助
Book学术文献互助群
群 号:604180095
Book学术官方微信