Pharmacokinetics and Safety Evaluation of a New Generic Sitafloxacin: A Phase I Bioequivalence Study in Healthy Chinese Participants

IF 1.8 4区 医学 Q3 PHARMACOLOGY & PHARMACY
Yongfang Lei, Pan Luo, Yuzhu Chen, Liuliang Xue, Donglin Zhang, Xingxing Qi, Yinian Fang, Hengyi Yu, Zheng He, Qin Zuo, Chang Liu, Dong Liu, Xinhua Ren, Qian Chen
{"title":"Pharmacokinetics and Safety Evaluation of a New Generic Sitafloxacin: A Phase I Bioequivalence Study in Healthy Chinese Participants","authors":"Yongfang Lei,&nbsp;Pan Luo,&nbsp;Yuzhu Chen,&nbsp;Liuliang Xue,&nbsp;Donglin Zhang,&nbsp;Xingxing Qi,&nbsp;Yinian Fang,&nbsp;Hengyi Yu,&nbsp;Zheng He,&nbsp;Qin Zuo,&nbsp;Chang Liu,&nbsp;Dong Liu,&nbsp;Xinhua Ren,&nbsp;Qian Chen","doi":"10.1002/cpdd.1519","DOIUrl":null,"url":null,"abstract":"<p>Sitafloxacin is a new antibiotic drug belonging to the fourth generation quinolone antibiotics. The aim of this study was to evaluate the pharmacokinetics (PK), safety profiles, and bioequivalence of test and reference 50-mg sitafloxacin tablets under fasting and fed conditions. The PK parameters, which were calculated with noncompartmental model, including maximum concentration, area under the concentration-time curve (AUC) from time 0 to the last quantifiable concentration, and AUC from time 0 to infinity. The bioequivalence was assessed on the basis of whether the 90% confidence intervals of the geometric mean ratio for the test/reference drugs fell within the accepted range of 80%-125%. Adverse events were monitored to assess safety. Finally, 80 healthy Chinese participants were enrolled, of which 40 were enrolled in the fasting study and the other 40 enrolled in the fed study. There was 1 participant in the fed trial who withdrew from the study because of failure to finish the high-fat meal. The geometric mean ratio and its 90% confidence interval for the maximum concentration, AUC from time 0 to the last quantifiable concentration, AUC from time 0 to infinity between the branded and generic sitafloxacin, under both fasting and fed conditions, were compliant with the predefined bioequivalence criteria of 80%-125%. No serious adverse events were observed in this study. Therefore, the findings indicate that generic and original sitafloxacin tablets have comparable bioequivalence and safety profiles.</p>","PeriodicalId":10495,"journal":{"name":"Clinical Pharmacology in Drug Development","volume":"14 8","pages":"592-597"},"PeriodicalIF":1.8000,"publicationDate":"2025-05-14","publicationTypes":"Journal Article","fieldsOfStudy":null,"isOpenAccess":false,"openAccessPdf":"https://onlinelibrary.wiley.com/doi/epdf/10.1002/cpdd.1519","citationCount":"0","resultStr":null,"platform":"Semanticscholar","paperid":null,"PeriodicalName":"Clinical Pharmacology in Drug Development","FirstCategoryId":"3","ListUrlMain":"https://accp1.onlinelibrary.wiley.com/doi/10.1002/cpdd.1519","RegionNum":4,"RegionCategory":"医学","ArticlePicture":[],"TitleCN":null,"AbstractTextCN":null,"PMCID":null,"EPubDate":"","PubModel":"","JCR":"Q3","JCRName":"PHARMACOLOGY & PHARMACY","Score":null,"Total":0}
引用次数: 0

Abstract

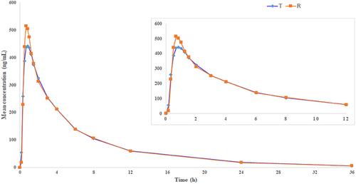
Sitafloxacin is a new antibiotic drug belonging to the fourth generation quinolone antibiotics. The aim of this study was to evaluate the pharmacokinetics (PK), safety profiles, and bioequivalence of test and reference 50-mg sitafloxacin tablets under fasting and fed conditions. The PK parameters, which were calculated with noncompartmental model, including maximum concentration, area under the concentration-time curve (AUC) from time 0 to the last quantifiable concentration, and AUC from time 0 to infinity. The bioequivalence was assessed on the basis of whether the 90% confidence intervals of the geometric mean ratio for the test/reference drugs fell within the accepted range of 80%-125%. Adverse events were monitored to assess safety. Finally, 80 healthy Chinese participants were enrolled, of which 40 were enrolled in the fasting study and the other 40 enrolled in the fed study. There was 1 participant in the fed trial who withdrew from the study because of failure to finish the high-fat meal. The geometric mean ratio and its 90% confidence interval for the maximum concentration, AUC from time 0 to the last quantifiable concentration, AUC from time 0 to infinity between the branded and generic sitafloxacin, under both fasting and fed conditions, were compliant with the predefined bioequivalence criteria of 80%-125%. No serious adverse events were observed in this study. Therefore, the findings indicate that generic and original sitafloxacin tablets have comparable bioequivalence and safety profiles.

Abstract Image

Abstract Image

Abstract Image

Abstract Image

新仿制药西他沙星的药代动力学和安全性评价:中国健康受试者的I期生物等效性研究。
西他沙星是一种新型抗生素,属于第四代喹诺酮类抗生素。本研究的目的是评价50mg西他沙星试验片和参比片在禁食和喂养条件下的药代动力学(PK)、安全性和生物等效性。采用非室室模型计算最大浓度、浓度-时间曲线下面积(AUC)(时间0至最后可量化浓度)和时间0至无穷远的AUC。生物等效性的评价依据是受试药/参比的几何平均比值的90%置信区间是否在80%-125%的可接受范围内。监测不良事件以评估安全性。最后,80名健康的中国参与者被招募,其中40人参加了禁食研究,另外40人参加了喂食研究。在美联储的试验中,有一名参与者因为没有吃完高脂肪食物而退出了研究。在禁食和喂养条件下,品牌西他沙星与仿制西他沙星的最大浓度、时间0至最后可量化浓度的AUC、时间0至无限的AUC的几何平均比及其90%置信区间均符合设定的80% ~ 125%的生物等效性标准。本研究未发现严重不良事件。因此,研究结果表明仿制药和原厂西他沙星片具有相当的生物等效性和安全性。
本文章由计算机程序翻译,如有差异,请以英文原文为准。
求助全文
约1分钟内获得全文 求助全文
来源期刊
CiteScore
3.70
自引率
10.00%
发文量
154
期刊介绍: Clinical Pharmacology in Drug Development is an international, peer-reviewed, online publication focused on publishing high-quality clinical pharmacology studies in drug development which are primarily (but not exclusively) performed in early development phases in healthy subjects.
×
引用
GB/T 7714-2015
复制
MLA
复制
APA
复制
导出至
BibTeX EndNote RefMan NoteFirst NoteExpress
×
提示
您的信息不完整,为了账户安全,请先补充。
现在去补充
×
提示
您因"违规操作"
具体请查看互助需知
我知道了
×
提示
确定
请完成安全验证×
copy
已复制链接
快去分享给好友吧!
我知道了
右上角分享
点击右上角分享
0
联系我们:info@booksci.cn Book学术提供免费学术资源搜索服务,方便国内外学者检索中英文文献。致力于提供最便捷和优质的服务体验。 Copyright © 2023 布克学术 All rights reserved.
京ICP备2023020795号-1
ghs 京公网安备 11010802042870号
Book学术文献互助
Book学术文献互助群
群 号:604180095
Book学术官方微信