Temporal Shift When Comparing Contrast-Agent Concentration Curves Estimated Using Quantitative Susceptibility Mapping (QSM) and ΔR2*: The Association Between Vortex Parameters and Oxygen Extraction Fraction.

IF 2.2 4区 医学 Q2 RADIOLOGY, NUCLEAR MEDICINE & MEDICAL IMAGING
Ronnie Wirestam, Anna Lundberg, Linda Knutsson, Emelie Lind
{"title":"Temporal Shift When Comparing Contrast-Agent Concentration Curves Estimated Using Quantitative Susceptibility Mapping (QSM) and ΔR2*: The Association Between Vortex Parameters and Oxygen Extraction Fraction.","authors":"Ronnie Wirestam, Anna Lundberg, Linda Knutsson, Emelie Lind","doi":"10.3390/tomography11040046","DOIUrl":null,"url":null,"abstract":"<p><strong>Background: </strong>When plotting data points corresponding to the contrast-agent-induced change in transverse relaxation rate from a dynamic gradient-echo (GRE) magnetic resonance imaging (MRI) study versus a corresponding spin-echo study, a loop or vortex curve rather than a reversible line is formed. The vortex curve area is likely to reflect vessel architecture and oxygenation level. In this study, the vortex effect seen when using only GRE-based estimates, i.e., contrast-agent concentration based on GRE transverse relaxation rate and contrast-agent concentration based on quantitative susceptibility mapping (QSM), was investigated.</p><p><strong>Methods: </strong>Twenty healthy volunteers were examined using 3 T MRI. Magnitude and phase dynamic contrast-enhanced MRI (DSC-MRI) data were obtained using GRE echo-planar imaging. Vortex curves for grey-matter (GM) regions and for arterial input function (AIF) data were constructed by plotting concentration based on GRE transverse relaxation rate versus concentration based on QSM. Vortex parameters (vortex area and normalised vortex width) were compared with QSM-based whole-brain OEF estimates obtained using 3D GRE.</p><p><strong>Results: </strong>An obvious vortex effect was observed, and both GM vortex parameters showed a moderate and significant correlation with OEF (r = -0.51, <i>p</i> = 0.02). The vortex parameters for AIF data showed no significant correlation with OEF.</p><p><strong>Conclusions: </strong>GRE-based GM vortex parameters correlated significantly with whole-brain OEF. In agreement with expectations, the corresponding AIF data, representing high fractions of arterial blood, showed no significant correlation. Novel parameters, based solely on standard GRE protocols, are of relevance to investigate, considering that GRE-based DSC-MRI is very common in brain tumour applications.</p>","PeriodicalId":51330,"journal":{"name":"Tomography","volume":"11 4","pages":""},"PeriodicalIF":2.2000,"publicationDate":"2025-04-09","publicationTypes":"Journal Article","fieldsOfStudy":null,"isOpenAccess":false,"openAccessPdf":"https://www.ncbi.nlm.nih.gov/pmc/articles/PMC12031548/pdf/","citationCount":"0","resultStr":null,"platform":"Semanticscholar","paperid":null,"PeriodicalName":"Tomography","FirstCategoryId":"3","ListUrlMain":"https://doi.org/10.3390/tomography11040046","RegionNum":4,"RegionCategory":"医学","ArticlePicture":[],"TitleCN":null,"AbstractTextCN":null,"PMCID":null,"EPubDate":"","PubModel":"","JCR":"Q2","JCRName":"RADIOLOGY, NUCLEAR MEDICINE & MEDICAL IMAGING","Score":null,"Total":0}
引用次数: 0

Abstract

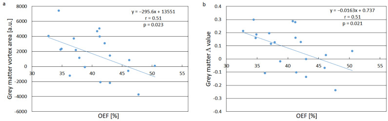
Background: When plotting data points corresponding to the contrast-agent-induced change in transverse relaxation rate from a dynamic gradient-echo (GRE) magnetic resonance imaging (MRI) study versus a corresponding spin-echo study, a loop or vortex curve rather than a reversible line is formed. The vortex curve area is likely to reflect vessel architecture and oxygenation level. In this study, the vortex effect seen when using only GRE-based estimates, i.e., contrast-agent concentration based on GRE transverse relaxation rate and contrast-agent concentration based on quantitative susceptibility mapping (QSM), was investigated.

Methods: Twenty healthy volunteers were examined using 3 T MRI. Magnitude and phase dynamic contrast-enhanced MRI (DSC-MRI) data were obtained using GRE echo-planar imaging. Vortex curves for grey-matter (GM) regions and for arterial input function (AIF) data were constructed by plotting concentration based on GRE transverse relaxation rate versus concentration based on QSM. Vortex parameters (vortex area and normalised vortex width) were compared with QSM-based whole-brain OEF estimates obtained using 3D GRE.

Results: An obvious vortex effect was observed, and both GM vortex parameters showed a moderate and significant correlation with OEF (r = -0.51, p = 0.02). The vortex parameters for AIF data showed no significant correlation with OEF.

Conclusions: GRE-based GM vortex parameters correlated significantly with whole-brain OEF. In agreement with expectations, the corresponding AIF data, representing high fractions of arterial blood, showed no significant correlation. Novel parameters, based solely on standard GRE protocols, are of relevance to investigate, considering that GRE-based DSC-MRI is very common in brain tumour applications.

Abstract Image

Abstract Image

Abstract Image

使用定量敏感性图(QSM)和ΔR2*比较对比剂浓度曲线时的时间位移:漩涡参数与氧萃取分数之间的关系。
背景:当绘制动态梯度回波(GRE)磁共振成像(MRI)研究与相应的自旋回波研究中造影剂引起的横向弛豫率变化对应的数据点时,形成了一个环路或漩涡曲线,而不是可逆线。漩涡曲线区域可能反映血管结构和氧合水平。在这项研究中,仅使用基于GRE的估计,即基于GRE横向弛豫率的造影剂浓度和基于定量敏感性作图(QSM)的造影剂浓度,研究了漩涡效应。方法:对20名健康志愿者进行3t MRI检查。磁共振成像(DSC-MRI)的幅度和相位动态对比增强数据通过GRE回波平面成像获得。通过绘制基于GRE横向松弛率的浓度和基于QSM的浓度,构建灰质(GM)区域和动脉输入函数(AIF)数据的涡旋曲线。旋涡参数(旋涡面积和归一化旋涡宽度)与基于qsm的全脑OEF估计值进行比较。结果:观察到明显的涡旋效应,两种GM涡旋参数与OEF均呈中度显著相关(r = -0.51, p = 0.02)。AIF数据的涡参数与OEF无显著相关。结论:基于gre的GM涡参数与全脑OEF有显著相关性。与预期一致,相应的AIF数据,代表动脉血的高分数,没有显着相关性。考虑到基于GRE的DSC-MRI在脑肿瘤应用中非常常见,仅基于标准GRE协议的新参数与研究相关。
本文章由计算机程序翻译,如有差异,请以英文原文为准。
求助全文
约1分钟内获得全文 求助全文
来源期刊
Tomography
Tomography Medicine-Radiology, Nuclear Medicine and Imaging
CiteScore
2.70
自引率
10.50%
发文量
222
期刊介绍: TomographyTM publishes basic (technical and pre-clinical) and clinical scientific articles which involve the advancement of imaging technologies. Tomography encompasses studies that use single or multiple imaging modalities including for example CT, US, PET, SPECT, MR and hyperpolarization technologies, as well as optical modalities (i.e. bioluminescence, photoacoustic, endomicroscopy, fiber optic imaging and optical computed tomography) in basic sciences, engineering, preclinical and clinical medicine. Tomography also welcomes studies involving exploration and refinement of contrast mechanisms and image-derived metrics within and across modalities toward the development of novel imaging probes for image-based feedback and intervention. The use of imaging in biology and medicine provides unparalleled opportunities to noninvasively interrogate tissues to obtain real-time dynamic and quantitative information required for diagnosis and response to interventions and to follow evolving pathological conditions. As multi-modal studies and the complexities of imaging technologies themselves are ever increasing to provide advanced information to scientists and clinicians. Tomography provides a unique publication venue allowing investigators the opportunity to more precisely communicate integrated findings related to the diverse and heterogeneous features associated with underlying anatomical, physiological, functional, metabolic and molecular genetic activities of normal and diseased tissue. Thus Tomography publishes peer-reviewed articles which involve the broad use of imaging of any tissue and disease type including both preclinical and clinical investigations. In addition, hardware/software along with chemical and molecular probe advances are welcome as they are deemed to significantly contribute towards the long-term goal of improving the overall impact of imaging on scientific and clinical discovery.
×
引用
GB/T 7714-2015
复制
MLA
复制
APA
复制
导出至
BibTeX EndNote RefMan NoteFirst NoteExpress
×
提示
您的信息不完整,为了账户安全,请先补充。
现在去补充
×
提示
您因"违规操作"
具体请查看互助需知
我知道了
×
提示
确定
请完成安全验证×
copy
已复制链接
快去分享给好友吧!
我知道了
右上角分享
点击右上角分享
0
联系我们:info@booksci.cn Book学术提供免费学术资源搜索服务,方便国内外学者检索中英文文献。致力于提供最便捷和优质的服务体验。 Copyright © 2023 布克学术 All rights reserved.
京ICP备2023020795号-1
ghs 京公网安备 11010802042870号
Book学术文献互助
Book学术文献互助群
群 号:604180095
Book学术官方微信