Stressless sampling to improve diagnostics of catecholamine excess: new assay to determine metanephrines in saliva.

IF 2.8 3区 医学 Q3 ENDOCRINOLOGY & METABOLISM
Endocrine Connections Pub Date : 2025-05-01 Epub Date: 2025-06-01 DOI:10.1530/EC-25-0023
Per M Thorsby, Sandra R Dahl, Tone Smetop, Tone Hæg Lindholm, Svetlana N Zykova
{"title":"Stressless sampling to improve diagnostics of catecholamine excess: new assay to determine metanephrines in saliva.","authors":"Per M Thorsby, Sandra R Dahl, Tone Smetop, Tone Hæg Lindholm, Svetlana N Zykova","doi":"10.1530/EC-25-0023","DOIUrl":null,"url":null,"abstract":"<p><strong>Introduction: </strong>Determination of metanephrines in saliva has been reported as a pain- and hazard-free alternative to plasma-based tests with a potential to reduce false-positive results during diagnostic work-up for neuroendocrine tumours. No validated method has, however, been made available in the published literature so far. The aim of this work was to develop an LC-MS/MS method for measurement of metanephrine, normetanephrine and 3-methoxytyramine in human saliva. As hyposalivation represents a real real-life challenge in situations with catecholamine excess, special effort was made to minimise specimen volume and to make the assay suitable also for paediatric and geriatric populations.</p><p><strong>Methods: </strong>The method validation was performed according to relevant guidelines and included recovery from three different collection swabs (Salivette, SalivaBio and Salimetrics). Selectivity, interferences, matrix effects, limits of quantification, linearity of calibration, sample volume, trueness, within-run and total analytical repeatability, robustness, carry-over and stability were evaluated.</p><p><strong>Results: </strong>A sample volume as low as 20µl was acceptable for all analytes, but 50µl sample volume gave lower LLOQ, higher accuracy and better precision. Total analytical variation was <15% and the minimum turnaround time was 3 hours. Among the sample collection devices tested, highest recovery was achieved with SalivaBio (93 to 104%). Metanephrines were stable in saliva when stored at ambient temperature for 6 h, and tolerated at least one week of freezing at -20°C.</p><p><strong>Conclusion: </strong>The non-invasiveness, ease of specimen collection, better stability of analytes compared to plasma and analytical performance make the method relevant for both research and diagnostics of states with catecholamine excess.</p>","PeriodicalId":11634,"journal":{"name":"Endocrine Connections","volume":" ","pages":""},"PeriodicalIF":2.8000,"publicationDate":"2025-05-01","publicationTypes":"Journal Article","fieldsOfStudy":null,"isOpenAccess":false,"openAccessPdf":"https://www.ncbi.nlm.nih.gov/pmc/articles/PMC12084818/pdf/","citationCount":"0","resultStr":null,"platform":"Semanticscholar","paperid":null,"PeriodicalName":"Endocrine Connections","FirstCategoryId":"3","ListUrlMain":"https://doi.org/10.1530/EC-25-0023","RegionNum":3,"RegionCategory":"医学","ArticlePicture":[],"TitleCN":null,"AbstractTextCN":null,"PMCID":null,"EPubDate":"2025/6/1 0:00:00","PubModel":"Epub","JCR":"Q3","JCRName":"ENDOCRINOLOGY & METABOLISM","Score":null,"Total":0}
引用次数: 0

Abstract

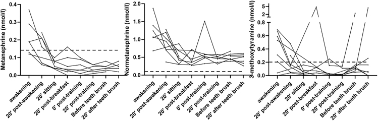
Introduction: Determination of metanephrines in saliva has been reported as a pain- and hazard-free alternative to plasma-based tests with a potential to reduce false-positive results during diagnostic work-up for neuroendocrine tumours. No validated method has, however, been made available in the published literature so far. The aim of this work was to develop an LC-MS/MS method for measurement of metanephrine, normetanephrine and 3-methoxytyramine in human saliva. As hyposalivation represents a real real-life challenge in situations with catecholamine excess, special effort was made to minimise specimen volume and to make the assay suitable also for paediatric and geriatric populations.

Methods: The method validation was performed according to relevant guidelines and included recovery from three different collection swabs (Salivette, SalivaBio and Salimetrics). Selectivity, interferences, matrix effects, limits of quantification, linearity of calibration, sample volume, trueness, within-run and total analytical repeatability, robustness, carry-over and stability were evaluated.

Results: A sample volume as low as 20µl was acceptable for all analytes, but 50µl sample volume gave lower LLOQ, higher accuracy and better precision. Total analytical variation was <15% and the minimum turnaround time was 3 hours. Among the sample collection devices tested, highest recovery was achieved with SalivaBio (93 to 104%). Metanephrines were stable in saliva when stored at ambient temperature for 6 h, and tolerated at least one week of freezing at -20°C.

Conclusion: The non-invasiveness, ease of specimen collection, better stability of analytes compared to plasma and analytical performance make the method relevant for both research and diagnostics of states with catecholamine excess.

Abstract Image

Abstract Image

Abstract Image

无压力取样改善儿茶酚胺过量的诊断:测定唾液中肾上腺素的新方法。
简介:据报道,唾液中肾上腺素的测定是一种无疼痛和无危险的替代血浆检测的方法,有可能减少神经内分泌肿瘤诊断检查中的假阳性结果。然而,到目前为止,在已发表的文献中还没有有效的方法。建立了人唾液中去甲肾上腺素、去甲肾上腺素和3-甲氧基酪胺含量的LC-MS/MS测定方法。由于在儿茶酚胺过量的情况下,低盐度是一个真正的现实挑战,因此我们做出了特别努力,以尽量减少标本体积,并使该检测也适用于儿科和老年人群。方法:根据相关指南进行方法验证,包括从三种不同的收集拭子(Salivette, SalivaBio和Salimetrics)中回收。对选择性、干扰、矩阵效应、定量限、校准线性、样品量、准确度、运行内和总分析重复性、稳健性、结转性和稳定性进行了评价。结果:所有分析物的进样量低至20µl均可接受,但50µl的进样量具有更低的定量限,更高的准确度和更好的精密度。结论:该方法具有无创性、易于标本采集、与血浆相比稳定性好、分析性能好等优点,可用于儿茶酚胺过量状态的研究和诊断。
本文章由计算机程序翻译,如有差异,请以英文原文为准。
求助全文
约1分钟内获得全文 求助全文
来源期刊
Endocrine Connections
Endocrine Connections Medicine-Internal Medicine
CiteScore
5.00
自引率
3.40%
发文量
361
审稿时长
6 weeks
期刊介绍: Endocrine Connections publishes original quality research and reviews in all areas of endocrinology, including papers that deal with non-classical tissues as source or targets of hormones and endocrine papers that have relevance to endocrine-related and intersecting disciplines and the wider biomedical community.
×
引用
GB/T 7714-2015
复制
MLA
复制
APA
复制
导出至
BibTeX EndNote RefMan NoteFirst NoteExpress
×
提示
您的信息不完整,为了账户安全,请先补充。
现在去补充
×
提示
您因"违规操作"
具体请查看互助需知
我知道了
×
提示
确定
请完成安全验证×
copy
已复制链接
快去分享给好友吧!
我知道了
右上角分享
点击右上角分享
0
联系我们:info@booksci.cn Book学术提供免费学术资源搜索服务,方便国内外学者检索中英文文献。致力于提供最便捷和优质的服务体验。 Copyright © 2023 布克学术 All rights reserved.
京ICP备2023020795号-1
ghs 京公网安备 11010802042870号
Book学术文献互助
Book学术文献互助群
群 号:604180095
Book学术官方微信