Quantitative capabilities of commercial CZT SPECT-CT cameras with 99mTc.

IF 3.2 2区 医学 Q2 RADIOLOGY, NUCLEAR MEDICINE & MEDICAL IMAGING
Alain Seret, Claire Bernard
{"title":"Quantitative capabilities of commercial CZT SPECT-CT cameras with <sup>99m</sup>Tc.","authors":"Alain Seret, Claire Bernard","doi":"10.1186/s40658-025-00754-3","DOIUrl":null,"url":null,"abstract":"<p><strong>Background: </strong>This study aimed to analyse the quantitative capabilities of cadmium-zinc-telluride (CZT)-based SPECT-CT cameras using <sup>99m</sup>Tc, comparable to the analysis performed a decade ago for the sodium iodide (NaI) SPECT-CT systems available on the market at that time. This survey assessed one dual-head (GE Discovery NM870 CZT) and two ring (GE Starguide, Spectrum Dynamics Veriton 200) CZT cameras, as well as a state-of-the-art NaI dual-head system (Siemens Intevo Bold) that served as reference. Attenuation and scatter correction accuracy was explored, contrast recovery for small cold and hot rods measured, as well as the quantification in a large uniform area using user-determined conversion factors. Tomography reconstruction was performed with the manufacturers' iterative algorithms that allowed for attenuation correction, scatter correction and resolution recovery.</p><p><strong>Results: </strong>Using the NEMA NU-2 1994 dedicated phantom, attenuation and scatter corrections seemed to perform very well. Equally, the contrast recovery of cold rods seemed to be superior for the CZT systems. However, the contrast recovery for the hot rods was inferior to the NaI camera, whereas it was comparable without the scatter correction. Finally, a quantification error of less than 5% was shown to be reachable when using adequate user-determined conversion factors. For the NaI camera, all results were similar to those of the past study.</p><p><strong>Conclusions: </strong>Without scatter correction, the CZT SPECT systems showed contrast performance similar to the NaI camera. With scatter correction, this held true for cold objects but the contrast of hot objects was not significantly improved or was degraded depending on the system considered and the object size. Quantification errors of less than 5% were achievable. It is hoped that on-going developments at both manufacturers will improve the scatter correction accuracy.</p>","PeriodicalId":11559,"journal":{"name":"EJNMMI Physics","volume":"12 1","pages":"44"},"PeriodicalIF":3.2000,"publicationDate":"2025-05-10","publicationTypes":"Journal Article","fieldsOfStudy":null,"isOpenAccess":false,"openAccessPdf":"https://www.ncbi.nlm.nih.gov/pmc/articles/PMC12065687/pdf/","citationCount":"0","resultStr":null,"platform":"Semanticscholar","paperid":null,"PeriodicalName":"EJNMMI Physics","FirstCategoryId":"3","ListUrlMain":"https://doi.org/10.1186/s40658-025-00754-3","RegionNum":2,"RegionCategory":"医学","ArticlePicture":[],"TitleCN":null,"AbstractTextCN":null,"PMCID":null,"EPubDate":"","PubModel":"","JCR":"Q2","JCRName":"RADIOLOGY, NUCLEAR MEDICINE & MEDICAL IMAGING","Score":null,"Total":0}
引用次数: 0

Abstract

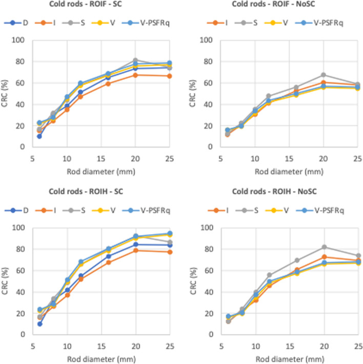
Background: This study aimed to analyse the quantitative capabilities of cadmium-zinc-telluride (CZT)-based SPECT-CT cameras using 99mTc, comparable to the analysis performed a decade ago for the sodium iodide (NaI) SPECT-CT systems available on the market at that time. This survey assessed one dual-head (GE Discovery NM870 CZT) and two ring (GE Starguide, Spectrum Dynamics Veriton 200) CZT cameras, as well as a state-of-the-art NaI dual-head system (Siemens Intevo Bold) that served as reference. Attenuation and scatter correction accuracy was explored, contrast recovery for small cold and hot rods measured, as well as the quantification in a large uniform area using user-determined conversion factors. Tomography reconstruction was performed with the manufacturers' iterative algorithms that allowed for attenuation correction, scatter correction and resolution recovery.

Results: Using the NEMA NU-2 1994 dedicated phantom, attenuation and scatter corrections seemed to perform very well. Equally, the contrast recovery of cold rods seemed to be superior for the CZT systems. However, the contrast recovery for the hot rods was inferior to the NaI camera, whereas it was comparable without the scatter correction. Finally, a quantification error of less than 5% was shown to be reachable when using adequate user-determined conversion factors. For the NaI camera, all results were similar to those of the past study.

Conclusions: Without scatter correction, the CZT SPECT systems showed contrast performance similar to the NaI camera. With scatter correction, this held true for cold objects but the contrast of hot objects was not significantly improved or was degraded depending on the system considered and the object size. Quantification errors of less than 5% were achievable. It is hoped that on-going developments at both manufacturers will improve the scatter correction accuracy.

Abstract Image

Abstract Image

Abstract Image

99mTc商用CZT SPECT-CT相机的定量能力。
背景:本研究旨在利用99mTc分析基于碲化镉锌(CZT)的SPECT-CT相机的定量能力,与十年前对当时市场上可用的碘化钠(NaI) SPECT-CT系统进行的分析相比较。本次调查评估了一台双头(GE Discovery NM870 CZT)和两台环形(GE Starguide, Spectrum Dynamics Veriton 200) CZT相机,以及一个最先进的NaI双头系统(Siemens Intevo Bold)作为参考。研究了衰减和散射校正精度,测量了小冷棒和热棒的对比度恢复,以及使用用户确定的转换因子在大均匀区域内进行量化。使用制造商的迭代算法进行层析重建,该算法允许衰减校正、散射校正和分辨率恢复。结果:使用NEMA NU-2 1994专用模体,衰减和散射校正似乎表现得很好。同样,冷棒的对比恢复似乎优于CZT系统。然而,热棒的对比度恢复不如NaI相机,而在没有散射校正的情况下是相当的。最后,当使用足够的用户决定的转换因子时,可以达到小于5%的量化误差。对于NaI相机,所有结果与过去的研究结果相似。结论:在没有散射校正的情况下,CZT SPECT系统显示出与NaI相机相似的对比度性能。通过散射校正,这对冷物体是正确的,但热物体的对比度并没有显着提高或降低,这取决于所考虑的系统和物体的大小。定量误差小于5%。希望两家制造商的持续发展将提高散射校正精度。
本文章由计算机程序翻译,如有差异,请以英文原文为准。
求助全文
约1分钟内获得全文 求助全文
来源期刊
EJNMMI Physics
EJNMMI Physics Physics and Astronomy-Radiation
CiteScore
6.70
自引率
10.00%
发文量
78
审稿时长
13 weeks
期刊介绍: EJNMMI Physics is an international platform for scientists, users and adopters of nuclear medicine with a particular interest in physics matters. As a companion journal to the European Journal of Nuclear Medicine and Molecular Imaging, this journal has a multi-disciplinary approach and welcomes original materials and studies with a focus on applied physics and mathematics as well as imaging systems engineering and prototyping in nuclear medicine. This includes physics-driven approaches or algorithms supported by physics that foster early clinical adoption of nuclear medicine imaging and therapy.
×
引用
GB/T 7714-2015
复制
MLA
复制
APA
复制
导出至
BibTeX EndNote RefMan NoteFirst NoteExpress
×
提示
您的信息不完整,为了账户安全,请先补充。
现在去补充
×
提示
您因"违规操作"
具体请查看互助需知
我知道了
×
提示
确定
请完成安全验证×
copy
已复制链接
快去分享给好友吧!
我知道了
右上角分享
点击右上角分享
0
联系我们:info@booksci.cn Book学术提供免费学术资源搜索服务,方便国内外学者检索中英文文献。致力于提供最便捷和优质的服务体验。 Copyright © 2023 布克学术 All rights reserved.
京ICP备2023020795号-1
ghs 京公网安备 11010802042870号
Book学术文献互助
Book学术文献互助群
群 号:604180095
Book学术官方微信