Stressful Life Events and Heart Failure: A Mixed-Method Study to Analyze the Patient's Perspective.

IF 2.7 Q2 CARDIAC & CARDIOVASCULAR SYSTEMS
Cardiology and Therapy Pub Date : 2025-06-01 Epub Date: 2025-04-17 DOI:10.1007/s40119-025-00406-8
Dina Di Giacomo, Eleonora Cilli, Federica Guerra, Francesco Barbati, Renata Petroni, Luigi Sciarra, Silvio Romano
{"title":"Stressful Life Events and Heart Failure: A Mixed-Method Study to Analyze the Patient's Perspective.","authors":"Dina Di Giacomo, Eleonora Cilli, Federica Guerra, Francesco Barbati, Renata Petroni, Luigi Sciarra, Silvio Romano","doi":"10.1007/s40119-025-00406-8","DOIUrl":null,"url":null,"abstract":"<p><strong>Introduction: </strong>The challenge in heart failure medical practice is to address the clinical and laboratory method integrations for the shared decision-making process in caring for patients and families. Furthermore, stressful life events may worsen outcomes in patients with heart failure. This study aimed to explore patient perceptions regarding cardiac care analyzing the individual needs and features of adverse life event experiences.</p><p><strong>Methods: </strong>A mixed-methods design was used in this study. This quantitative research focuses on clinical (medical and psychological) data. Giorgi's phenomenological method was applied to the interview analysis.</p><p><strong>Results: </strong>Qualitative analyses highlighted the role of patient-engagement strategies powered by cardiologists in a personalized approach that favors adherence to complex medical therapies. Active patient involvement and associated engagement based on cardiologists' confidence are focal points for facilitating management-therapy strategies to improve outcomes and reduce the perception of the frailty burden. The quality of therapeutic relationships with cardiologists is a key protective factor for accurate risk stratification and therapeutic decision-making in patients, addressing the potential benefits of therapeutic interventions.</p><p><strong>Conclusions: </strong>In conclusion, the engaged patient contributes to more efficient cardiological care and the personalized patient-centered approach leads to the more efficient 'cure and care' clinical model. In adverse life events, acute psychological and physiological stress responses intensify detrimental outcomes for patients with cardiovascular disorders. Integrative management of physical risks and mental resilience factors in the development of cardiac disease appears to be strategic for patients with a positive quality of life (QoL) and clinical management of heart failure (HF).</p>","PeriodicalId":9561,"journal":{"name":"Cardiology and Therapy","volume":" ","pages":"199-217"},"PeriodicalIF":2.7000,"publicationDate":"2025-06-01","publicationTypes":"Journal Article","fieldsOfStudy":null,"isOpenAccess":false,"openAccessPdf":"https://www.ncbi.nlm.nih.gov/pmc/articles/PMC12084194/pdf/","citationCount":"0","resultStr":null,"platform":"Semanticscholar","paperid":null,"PeriodicalName":"Cardiology and Therapy","FirstCategoryId":"1085","ListUrlMain":"https://doi.org/10.1007/s40119-025-00406-8","RegionNum":0,"RegionCategory":null,"ArticlePicture":[],"TitleCN":null,"AbstractTextCN":null,"PMCID":null,"EPubDate":"2025/4/17 0:00:00","PubModel":"Epub","JCR":"Q2","JCRName":"CARDIAC & CARDIOVASCULAR SYSTEMS","Score":null,"Total":0}
引用次数: 0

Abstract

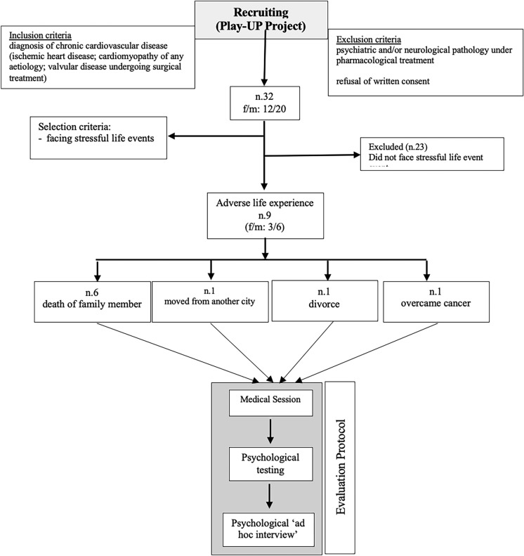
Introduction: The challenge in heart failure medical practice is to address the clinical and laboratory method integrations for the shared decision-making process in caring for patients and families. Furthermore, stressful life events may worsen outcomes in patients with heart failure. This study aimed to explore patient perceptions regarding cardiac care analyzing the individual needs and features of adverse life event experiences.

Methods: A mixed-methods design was used in this study. This quantitative research focuses on clinical (medical and psychological) data. Giorgi's phenomenological method was applied to the interview analysis.

Results: Qualitative analyses highlighted the role of patient-engagement strategies powered by cardiologists in a personalized approach that favors adherence to complex medical therapies. Active patient involvement and associated engagement based on cardiologists' confidence are focal points for facilitating management-therapy strategies to improve outcomes and reduce the perception of the frailty burden. The quality of therapeutic relationships with cardiologists is a key protective factor for accurate risk stratification and therapeutic decision-making in patients, addressing the potential benefits of therapeutic interventions.

Conclusions: In conclusion, the engaged patient contributes to more efficient cardiological care and the personalized patient-centered approach leads to the more efficient 'cure and care' clinical model. In adverse life events, acute psychological and physiological stress responses intensify detrimental outcomes for patients with cardiovascular disorders. Integrative management of physical risks and mental resilience factors in the development of cardiac disease appears to be strategic for patients with a positive quality of life (QoL) and clinical management of heart failure (HF).

Abstract Image

压力生活事件和心力衰竭:一项混合方法研究来分析患者的观点。
导言:心力衰竭医疗实践的挑战是解决临床和实验室方法的整合,以共同决策过程中照顾患者和家属。此外,紧张的生活事件可能使心力衰竭患者的预后恶化。本研究旨在探讨患者对心脏护理的认知,分析不良生活事件经历的个体需求和特征。方法:采用混合方法设计。这种定量研究侧重于临床(医学和心理)数据。访谈分析采用Giorgi的现象学方法。结果:定性分析强调了由心脏病专家提供支持的患者参与策略在个性化方法中的作用,这种方法有利于坚持复杂的医学治疗。基于心脏病专家的信心,积极的患者参与和相关的参与是促进管理治疗策略的重点,以改善结果并减少对虚弱负担的感知。与心脏病专家的治疗关系质量是患者准确的风险分层和治疗决策的关键保护因素,解决治疗干预的潜在益处。结论:患者参与有助于提高心脏病护理的效率,个性化的以患者为中心的方法可以实现更有效的“治疗和护理”临床模式。在不良生活事件中,急性心理和生理应激反应加剧了心血管疾病患者的有害后果。对于生活质量(QoL)良好的患者和心衰(HF)的临床管理而言,综合管理心脏病发展中的身体风险和心理弹性因素似乎具有战略意义。
本文章由计算机程序翻译,如有差异,请以英文原文为准。
求助全文
约1分钟内获得全文 求助全文
来源期刊
Cardiology and Therapy
Cardiology and Therapy CARDIAC & CARDIOVASCULAR SYSTEMS-
CiteScore
5.30
自引率
0.00%
发文量
38
审稿时长
6 weeks
期刊介绍: Aims and Scope Cardiology and Therapy is an international, open access, peer reviewed (single-blind), rapid-publication journal dedicated to the publication of high-quality clinical (all phases), observational, real-world, and health outcomes research around the discovery, development, and use of cardiovascular therapies and interventions, including devices. Studies relating to diagnosis and diagnostics, pharmacoeconomics, public health, quality of life, as well as patient care, management and education are also encouraged. Areas of focus include, but are not limited to, ischaemic heart disease and acute cardiac care, myocardial, valvular, pericardial and congenital heart disease, vascular and pulmonary disease (including hypertension), arrhythmias, heart failure, non-invasive diagnostic techniques, and invasive and interventional cardiology as well as cardiovascular surgery. The journal is of interest to a broad audience of pharmaceutical and healthcare professionals and publishes original research, reviews, case reports/case series, trial protocols and short communications such as commentaries and editorials. Cardiolology and Therapy will consider all scientifically sound research be it positive, confirmatory or negative data. Submissions are welcomed whether they relate to an international and/or a country-specific audience, something that is crucially important when researchers are trying to target more specific patient populations. This inclusive approach allows the journal to assist in the dissemination of quality research, which may be considered of insufficient interest by other journals. Rapid Publication The journal’s publication timelines aim for a rapid peer review of 2 weeks. If an article is accepted it will be published 3–4 weeks from acceptance. The rapid timelines are achieved through the combination of a dedicated in-house editorial team, who manage article workflow, and an extensive Editorial and Advisory Board who assist with peer review. This allows the journal to support the rapid dissemination of research, whilst still providing robust peer review. Combined with the journal’s open access model this allows for the rapid, efficient communication of the latest research and reviews, fostering the advancement of cardiovascular therapies. Personal Service The journal’s dedicated in-house editorial team offer a personal “concierge service” meaning authors will always have an editorial contact able to update them on the status of their manuscript. The editorial team check all manuscripts to ensure that articles conform to the most recent COPE, GPP and ICMJE publishing guidelines. This supports the publication of ethically sound and transparent research. Digital Features and Plain Language Summaries Cardiology and Therapy offers a range of additional features designed to increase the visibility, readership and educational value of the journal’s content. Each article is accompanied by key summary points, giving a time-efficient overview of the content to a wide readership. Articles may be accompanied by plain language summaries to assist readers who have some knowledge of, but not in-depth expertise in, the area to understand the scientific content and overall implications of the article. The journal also provides the option to include various types of digital features including animated abstracts, video abstracts, slide decks, audio slides, instructional videos, infographics, podcasts and animations. All additional features are peer reviewed to the same high standard as the article itself. If you consider that your paper would benefit from the inclusion of a digital feature, please let us know. Our editorial team are able to create high-quality slide decks and infographics in-house, and video abstracts through our partner Research Square, and would be happy to assist in any way we can. For further information about digital features, please contact the journal editor (see ‘Contact the Journal’ for email address), and see the ‘Guidelines for digital features and plain language summaries’ document under ‘Submission guidelines’. For examples of digital features please visit our showcase page https://springerhealthcare.com/expertise/publishing-digital-features/ Publication Fees Upon acceptance of your article for publication, authors will be required to pay the mandatory Rapid Service Fee of £3650/€4500/$5100. The journal will consider fee discounts for developing countries and this is decided on a case by case basis. Open Access All articles published by Cardiology and Therapy are published open access. Peer Review Process Upon submission, manuscripts are assessed by the editorial team to ensure they fit within the aims and scope of the journal and are also checked for plagiarism. All suitable submissions are then subject to a comprehensive single-blind peer review. Reviewers are selected based on their relevant expertise and publication history in the subject area. The journal has an extensive pool of editorial and advisory board members who have been selected to assist with peer review based on the afore-mentioned criteria. At least two extensive reviews are required to make the editorial decision, with the exception of some article types such as Commentaries, Editorials and Letters which are generally reviewed by one member of the Editorial Board. Where reviewer recommendations are conflicted, the editorial board will be contacted for further advice and a presiding decision. Manuscripts are then either accepted, rejected or authors are required to make major or minor revisions (both reviewer comments and editorial comments may need to be addressed). Once a revised manuscript is re-submitted, it is assessed along with the responses to reviewer comments and if it has been adequately revised it will be accepted for publication. Accepted manuscripts are then copyedited and typeset by the production team before online publication. Appeals against decisions following peer review are considered on a case by case basis and should be sent to the journal editor. Preprints We encourage posting of preprints of primary research manuscripts on preprint servers, authors’ or institutional websites, and open communications between researchers whether on community preprint servers or preprint commenting platforms. Posting of preprints is not considered prior publication and will not jeopardize consideration in our journals. Authors should disclose details of preprint posting during the submission process or at any other point during consideration in one of our journals. Once the preprint is published, it is the author’s responsibility to ensure that the preprint record is updated with a publication reference, including the DOI and a URL link to the published version of the article on the journal website. Copyright Cardiology and Therapy is published under the Creative Commons Attribution-Noncommercial License, which allows users to read, copy, distribute, and make derivative works for non-commercial purposes from the material, as long as the author of the original work is cited. The author assigns the exclusive right to any commercial use of the article to Springer. For more information about the Creative Commons Attribution-Noncommercial License, click here: http://creativecommons.org/licenses/by-nc/4.0. Contact For more information about the journal, including pre-submission enquiries, please contact matthew.evans@springer.com
×
引用
GB/T 7714-2015
复制
MLA
复制
APA
复制
导出至
BibTeX EndNote RefMan NoteFirst NoteExpress
×
提示
您的信息不完整,为了账户安全,请先补充。
现在去补充
×
提示
您因"违规操作"
具体请查看互助需知
我知道了
×
提示
确定
请完成安全验证×
copy
已复制链接
快去分享给好友吧!
我知道了
右上角分享
点击右上角分享
0
联系我们:info@booksci.cn Book学术提供免费学术资源搜索服务,方便国内外学者检索中英文文献。致力于提供最便捷和优质的服务体验。 Copyright © 2023 布克学术 All rights reserved.
京ICP备2023020795号-1
ghs 京公网安备 11010802042870号
Book学术文献互助
Book学术文献互助群
群 号:604180095
Book学术官方微信