Wake Characteristics of Multiscale Buildings in a Turbulent Boundary Layer.

IF 2.2 3区 地球科学 Q3 METEOROLOGY & ATMOSPHERIC SCIENCES
Boundary-Layer Meteorology Pub Date : 2025-01-01 Epub Date: 2025-05-05 DOI:10.1007/s10546-025-00910-3
Cameron Southgate-Ash, Abhishek Mishra, Sue Grimmond, Alan Robins, Marco Placidi
{"title":"Wake Characteristics of Multiscale Buildings in a Turbulent Boundary Layer.","authors":"Cameron Southgate-Ash, Abhishek Mishra, Sue Grimmond, Alan Robins, Marco Placidi","doi":"10.1007/s10546-025-00910-3","DOIUrl":null,"url":null,"abstract":"<p><p>Urban forms characterised by multi-scale roughness can drastically modify the wind structure within cities affecting both pedestrian comfort and air quality at street level. For simplicity, most urban flow studies focus on cuboid buildings with a single length scale. We consider six forms to assess how additional length scales impact urban flow: two reference cuboids that differ in aspect ratio (mean building height to width) cases (Standard, 1; Tall, 3) plus two additional fractal iterations of each. The six models have the same mean building width, height, and frontal area but their length scale characteristics differ. These are used in wind tunnel experiments within a deep turbulent boundary layer. The length scale differences are found to affect the drag force exerted by the buildings in a non-negligible way (up to 5 and 13% for Standard and Tall buildings, respectively). The added length scales also modify the wake lateral spread and intensity of the turbulence fluctuations, with smaller the length scales having the lower (higher) intensity of fluctuations in the near (far) wake. Additionally, the strength of the vortex shedding emanating from the buildings is reduced by introducing systematically smaller length scales. This work suggests that omission of additional length scales can lead to inaccuracies in drag and wake recovery estimations. The reduction in intensity of vortex shedding found with each fractal iteration could have engineering applications (e.g. reducing vibration).</p>","PeriodicalId":9153,"journal":{"name":"Boundary-Layer Meteorology","volume":"191 5","pages":"20"},"PeriodicalIF":2.2000,"publicationDate":"2025-01-01","publicationTypes":"Journal Article","fieldsOfStudy":null,"isOpenAccess":false,"openAccessPdf":"https://www.ncbi.nlm.nih.gov/pmc/articles/PMC12053240/pdf/","citationCount":"0","resultStr":null,"platform":"Semanticscholar","paperid":null,"PeriodicalName":"Boundary-Layer Meteorology","FirstCategoryId":"89","ListUrlMain":"https://doi.org/10.1007/s10546-025-00910-3","RegionNum":3,"RegionCategory":"地球科学","ArticlePicture":[],"TitleCN":null,"AbstractTextCN":null,"PMCID":null,"EPubDate":"2025/5/5 0:00:00","PubModel":"Epub","JCR":"Q3","JCRName":"METEOROLOGY & ATMOSPHERIC SCIENCES","Score":null,"Total":0}
引用次数: 0

Abstract

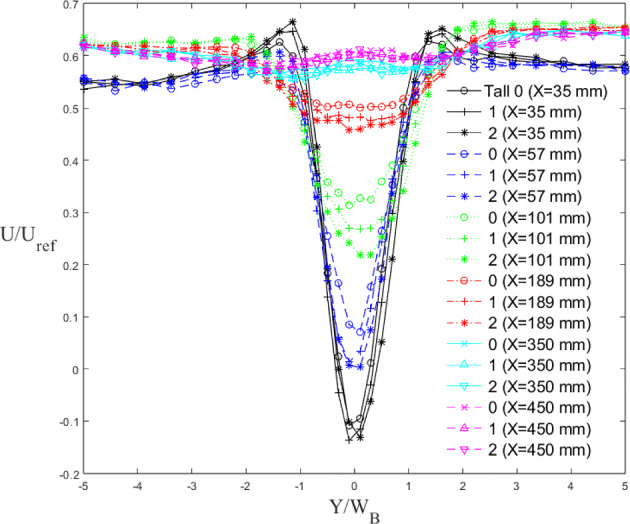
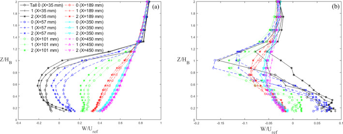
Urban forms characterised by multi-scale roughness can drastically modify the wind structure within cities affecting both pedestrian comfort and air quality at street level. For simplicity, most urban flow studies focus on cuboid buildings with a single length scale. We consider six forms to assess how additional length scales impact urban flow: two reference cuboids that differ in aspect ratio (mean building height to width) cases (Standard, 1; Tall, 3) plus two additional fractal iterations of each. The six models have the same mean building width, height, and frontal area but their length scale characteristics differ. These are used in wind tunnel experiments within a deep turbulent boundary layer. The length scale differences are found to affect the drag force exerted by the buildings in a non-negligible way (up to 5 and 13% for Standard and Tall buildings, respectively). The added length scales also modify the wake lateral spread and intensity of the turbulence fluctuations, with smaller the length scales having the lower (higher) intensity of fluctuations in the near (far) wake. Additionally, the strength of the vortex shedding emanating from the buildings is reduced by introducing systematically smaller length scales. This work suggests that omission of additional length scales can lead to inaccuracies in drag and wake recovery estimations. The reduction in intensity of vortex shedding found with each fractal iteration could have engineering applications (e.g. reducing vibration).

Abstract Image

Abstract Image

Abstract Image

湍流边界层中多尺度建筑物的尾迹特性。
以多尺度粗糙度为特征的城市形态可以极大地改变城市内的风结构,影响行人的舒适度和街道层面的空气质量。为简单起见,大多数城市流研究都集中在单一长度尺度的长方体建筑上。我们考虑了六种形式来评估额外的长度尺度如何影响城市流量:两个参考长方体的长宽比不同(平均建筑高度与宽度)的情况(标准,1;高,3)加上两个额外的分形迭代。6种模型的平均建筑宽度、高度和正面面积相同,但其长度尺度特征不同。这些被用于深湍流边界层内的风洞实验。发现长度尺度差异对建筑物施加的阻力有不可忽略的影响(标准建筑和高层建筑分别高达5%和13%)。增加的长度尺度也改变了尾迹横向扩展和湍流波动强度,长度尺度越小,近(远)尾迹波动强度越低(高)。此外,通过系统地引入更小的长度尺度,减少了建筑物产生的漩涡脱落的强度。这项工作表明,遗漏额外的长度尺度可能导致阻力和尾流恢复估计的不准确性。在每次分形迭代中发现的旋涡脱落强度的降低可能具有工程应用(例如减少振动)。
本文章由计算机程序翻译,如有差异,请以英文原文为准。
求助全文
约1分钟内获得全文 求助全文
来源期刊
Boundary-Layer Meteorology
Boundary-Layer Meteorology 地学-气象与大气科学
CiteScore
7.50
自引率
14.00%
发文量
72
审稿时长
12 months
期刊介绍: Boundary-Layer Meteorology offers several publishing options: Research Letters, Research Articles, and Notes and Comments. The Research Letters section is designed to allow quick dissemination of new scientific findings, with an initial review period of no longer than one month. The Research Articles section offers traditional scientific papers that present results and interpretations based on substantial research studies or critical reviews of ongoing research. The Notes and Comments section comprises occasional notes and comments on specific topics with no requirement for rapid publication. Research Letters are limited in size to five journal pages, including no more than three figures, and cannot contain supplementary online material; Research Articles are generally fifteen to twenty pages in length with no more than fifteen figures; Notes and Comments are limited to ten journal pages and five figures. Authors submitting Research Letters should include within their cover letter an explanation of the need for rapid publication. More information regarding all publication formats can be found in the recent Editorial ‘Introducing Research Letters to Boundary-Layer Meteorology’.
×
引用
GB/T 7714-2015
复制
MLA
复制
APA
复制
导出至
BibTeX EndNote RefMan NoteFirst NoteExpress
×
提示
您的信息不完整,为了账户安全,请先补充。
现在去补充
×
提示
您因"违规操作"
具体请查看互助需知
我知道了
×
提示
确定
请完成安全验证×
copy
已复制链接
快去分享给好友吧!
我知道了
右上角分享
点击右上角分享
0
联系我们:info@booksci.cn Book学术提供免费学术资源搜索服务,方便国内外学者检索中英文文献。致力于提供最便捷和优质的服务体验。 Copyright © 2023 布克学术 All rights reserved.
京ICP备2023020795号-1
ghs 京公网安备 11010802042870号
Book学术文献互助
Book学术文献互助群
群 号:604180095
Book学术官方微信