Epigenetic Regulation of Sorbitol Dehydrogenase in Diabetic Retinopathy Patients: DNA Methylation, Histone Acetylation and microRNA-320.

IF 3.4 Q1 MEDICINE, RESEARCH & EXPERIMENTAL
Biologics : Targets & Therapy Pub Date : 2025-04-28 eCollection Date: 2025-01-01 DOI:10.2147/BTT.S521519
Ramzi Amin, Hikmat Permana, Arief Sjamsulaksan Kartasasmita, Dany Hilmanto, Rachmat Hidayat
{"title":"Epigenetic Regulation of Sorbitol Dehydrogenase in Diabetic Retinopathy Patients: DNA Methylation, Histone Acetylation and microRNA-320.","authors":"Ramzi Amin, Hikmat Permana, Arief Sjamsulaksan Kartasasmita, Dany Hilmanto, Rachmat Hidayat","doi":"10.2147/BTT.S521519","DOIUrl":null,"url":null,"abstract":"<p><strong>Purpose: </strong>This study aimed to investigate the correlation between epigenetic markers and sorbitol dehydrogenase (SDH) levels in patients with type 2 diabetes and diabetic retinopathy (DR).</p><p><strong>Patients and methods: </strong>We conducted a case control study on 40 patients with type 2 diabetes and DR and 40 patients with type 2 diabetes without DR. Clinical data and ophthalmological examinations were performed to confirm the presence or absence of DR. Blood samples were collected for the analysis of DNA methylation, histone acetylation, microRNA-320 levels, and SDH enzyme activity. The epigenetic markers were evaluated using enzyme linked immunosorbent modified assay. The data were analyzed using statistical tests, including Spearman correlation and multiple linear regression.</p><p><strong>Results: </strong>In patients with DR, there was a significant negative correlation between microRNA-320 levels and SDH enzyme activity (r=-0.968, p=0.000). No significant correlations were found between DNA methylation or histone acetylation and SDH activity. Multivariate analysis confirmed the strong negative correlation between microRNA-320 and SDH (r = -0.727, p=0.000), with microRNA-320 explaining 58.1% of the variance in SDH levels.</p><p><strong>Conclusion: </strong>The findings suggest that microRNA-320 plays a crucial role in regulating SDH enzyme activity in patients with type 2 diabetes and DR. The development of microRNA-320-based therapies, such as miRNA mimics or antagomirs, may offer a novel approach to modulating SDH activity and mitigating the detrimental effects of the polyol pathway in DR. Further researches are needed to validate the results and mechanism underlying the correlation between epigenetic regulation SDH in DR.</p>","PeriodicalId":9025,"journal":{"name":"Biologics : Targets & Therapy","volume":"19 ","pages":"251-264"},"PeriodicalIF":3.4000,"publicationDate":"2025-04-28","publicationTypes":"Journal Article","fieldsOfStudy":null,"isOpenAccess":false,"openAccessPdf":"https://www.ncbi.nlm.nih.gov/pmc/articles/PMC12048750/pdf/","citationCount":"0","resultStr":null,"platform":"Semanticscholar","paperid":null,"PeriodicalName":"Biologics : Targets & Therapy","FirstCategoryId":"1085","ListUrlMain":"https://doi.org/10.2147/BTT.S521519","RegionNum":0,"RegionCategory":null,"ArticlePicture":[],"TitleCN":null,"AbstractTextCN":null,"PMCID":null,"EPubDate":"2025/1/1 0:00:00","PubModel":"eCollection","JCR":"Q1","JCRName":"MEDICINE, RESEARCH & EXPERIMENTAL","Score":null,"Total":0}
引用次数: 0

Abstract

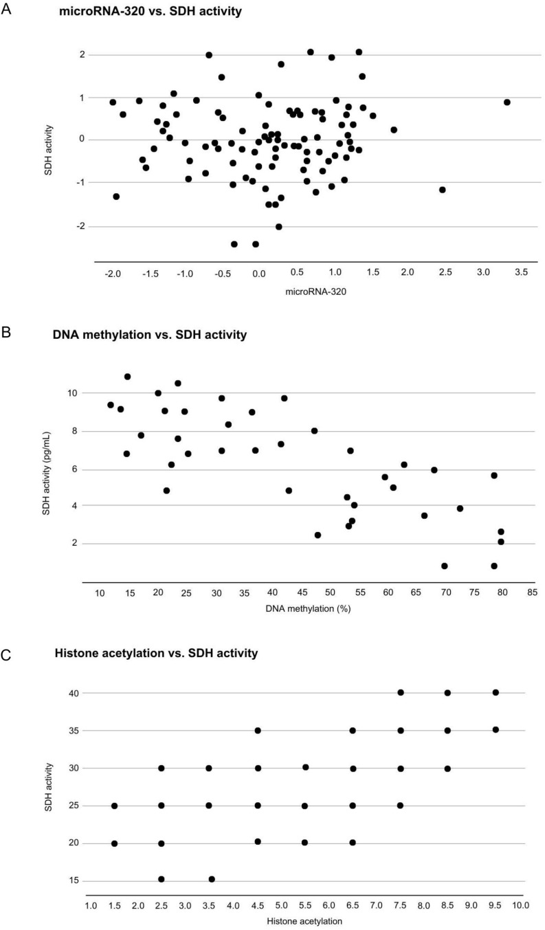
Purpose: This study aimed to investigate the correlation between epigenetic markers and sorbitol dehydrogenase (SDH) levels in patients with type 2 diabetes and diabetic retinopathy (DR).

Patients and methods: We conducted a case control study on 40 patients with type 2 diabetes and DR and 40 patients with type 2 diabetes without DR. Clinical data and ophthalmological examinations were performed to confirm the presence or absence of DR. Blood samples were collected for the analysis of DNA methylation, histone acetylation, microRNA-320 levels, and SDH enzyme activity. The epigenetic markers were evaluated using enzyme linked immunosorbent modified assay. The data were analyzed using statistical tests, including Spearman correlation and multiple linear regression.

Results: In patients with DR, there was a significant negative correlation between microRNA-320 levels and SDH enzyme activity (r=-0.968, p=0.000). No significant correlations were found between DNA methylation or histone acetylation and SDH activity. Multivariate analysis confirmed the strong negative correlation between microRNA-320 and SDH (r = -0.727, p=0.000), with microRNA-320 explaining 58.1% of the variance in SDH levels.

Conclusion: The findings suggest that microRNA-320 plays a crucial role in regulating SDH enzyme activity in patients with type 2 diabetes and DR. The development of microRNA-320-based therapies, such as miRNA mimics or antagomirs, may offer a novel approach to modulating SDH activity and mitigating the detrimental effects of the polyol pathway in DR. Further researches are needed to validate the results and mechanism underlying the correlation between epigenetic regulation SDH in DR.

Abstract Image

Abstract Image

Abstract Image

糖尿病视网膜病变患者山梨醇脱氢酶的表观遗传调控:DNA甲基化、组蛋白乙酰化和microRNA-320。
目的:探讨2型糖尿病合并糖尿病视网膜病变(DR)患者表观遗传标志物与山梨醇脱氢酶(SDH)水平的相关性。患者和方法:我们对40例2型糖尿病合并DR患者和40例2型糖尿病无DR患者进行病例对照研究,通过临床资料和眼科检查确认DR是否存在,采集血样进行DNA甲基化、组蛋白乙酰化、microRNA-320水平和SDH酶活性分析。采用酶联免疫吸附修饰法评价表观遗传标记。数据分析采用统计学检验,包括Spearman相关和多元线性回归。结果:DR患者中,microRNA-320水平与SDH酶活性呈显著负相关(r=-0.968, p=0.000)。DNA甲基化或组蛋白乙酰化与SDH活性无显著相关性。多因素分析证实了microRNA-320与SDH之间存在很强的负相关(r = -0.727, p=0.000),其中microRNA-320解释了SDH水平变异的58.1%。结论:研究结果表明,microRNA-320在调节2型糖尿病和DR患者的SDH酶活性中起着至关重要的作用,基于microRNA-320的治疗方法,如miRNA模拟物或拮抗剂的开发,可能为调节SDH活性和减轻DR中多元醇途径的有害影响提供了一种新的途径,需要进一步的研究来验证表观遗传调节SDH在DR中的相关性的结果和机制。
本文章由计算机程序翻译,如有差异,请以英文原文为准。
求助全文
约1分钟内获得全文 求助全文
来源期刊
Biologics : Targets & Therapy
Biologics : Targets & Therapy MEDICINE, RESEARCH & EXPERIMENTAL-
CiteScore
8.30
自引率
0.00%
发文量
22
审稿时长
16 weeks
×
引用
GB/T 7714-2015
复制
MLA
复制
APA
复制
导出至
BibTeX EndNote RefMan NoteFirst NoteExpress
×
提示
您的信息不完整,为了账户安全,请先补充。
现在去补充
×
提示
您因"违规操作"
具体请查看互助需知
我知道了
×
提示
确定
请完成安全验证×
copy
已复制链接
快去分享给好友吧!
我知道了
右上角分享
点击右上角分享
0
联系我们:info@booksci.cn Book学术提供免费学术资源搜索服务,方便国内外学者检索中英文文献。致力于提供最便捷和优质的服务体验。 Copyright © 2023 布克学术 All rights reserved.
京ICP备2023020795号-1
ghs 京公网安备 11010802042870号
Book学术文献互助
Book学术文献互助群
群 号:604180095
Book学术官方微信