Acute Effect of Two Different Hand Exercises on Vessel Size in Patients Undergoing Arteriovenous Fistula Creation.

IF 0.6 Q4 PERIPHERAL VASCULAR DISEASE
Annals of vascular diseases Pub Date : 2025-01-01 Epub Date: 2025-04-17 DOI:10.3400/avd.oa.24-00136
Yuthapong Wongmahisorn, Pong Kanchanasuttirak, Waigoon Stapanavatr, Yupadee Fusakul
{"title":"Acute Effect of Two Different Hand Exercises on Vessel Size in Patients Undergoing Arteriovenous Fistula Creation.","authors":"Yuthapong Wongmahisorn, Pong Kanchanasuttirak, Waigoon Stapanavatr, Yupadee Fusakul","doi":"10.3400/avd.oa.24-00136","DOIUrl":null,"url":null,"abstract":"<p><p><b>Objectives:</b> We primarily aimed to compare the acute effects of hand-squeezing exercises, with and without tourniquet-like compression, on vessel size 5 minutes post-exercise in patients after arteriovenous fistula (AVF) creation. The secondary aim was to assess differences in AVF blood flow rates between the 2 interventions. <b>Methods:</b> A randomized study was conducted at a university hospital in Bangkok, Thailand, from October 2018 to September 2023. Seventy-eight participants, 2 weeks post-first-time autogenous AVF creation, were randomized into 2 groups: a non-compression group (n = 39) performing 5 minutes of hand-squeezing exercises and a compression group (n = 39) performing the same exercises with tourniquet-like compression. Ultrasound measured venous diameter and blood flow rates pre- and post-exercise. <b>Results:</b> Both groups showed increased venous diameter, but the difference between the groups was not statistically significant (mean difference: 0.18 mm with compression vs. 0.12 mm without; P = 0.489). Blood flow rates increased significantly in the compression group compared to the non-compression group (mean difference: 171.49 vs. 24.44 mL/min; P = 0.002). <b>Conclusion:</b> Hand-squeezing exercises with tourniquet-like compression significantly improved AVF blood flow rates acutely, supporting its potential to enhance AVF maturation. Further research is needed to assess long-term benefits.</p>","PeriodicalId":7995,"journal":{"name":"Annals of vascular diseases","volume":"18 1","pages":""},"PeriodicalIF":0.6000,"publicationDate":"2025-01-01","publicationTypes":"Journal Article","fieldsOfStudy":null,"isOpenAccess":false,"openAccessPdf":"https://www.ncbi.nlm.nih.gov/pmc/articles/PMC12014282/pdf/","citationCount":"0","resultStr":null,"platform":"Semanticscholar","paperid":null,"PeriodicalName":"Annals of vascular diseases","FirstCategoryId":"1085","ListUrlMain":"https://doi.org/10.3400/avd.oa.24-00136","RegionNum":0,"RegionCategory":null,"ArticlePicture":[],"TitleCN":null,"AbstractTextCN":null,"PMCID":null,"EPubDate":"2025/4/17 0:00:00","PubModel":"Epub","JCR":"Q4","JCRName":"PERIPHERAL VASCULAR DISEASE","Score":null,"Total":0}
引用次数: 0

Abstract

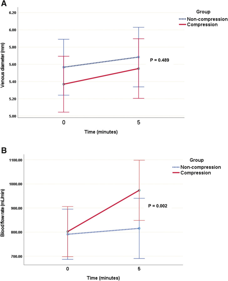
Objectives: We primarily aimed to compare the acute effects of hand-squeezing exercises, with and without tourniquet-like compression, on vessel size 5 minutes post-exercise in patients after arteriovenous fistula (AVF) creation. The secondary aim was to assess differences in AVF blood flow rates between the 2 interventions. Methods: A randomized study was conducted at a university hospital in Bangkok, Thailand, from October 2018 to September 2023. Seventy-eight participants, 2 weeks post-first-time autogenous AVF creation, were randomized into 2 groups: a non-compression group (n = 39) performing 5 minutes of hand-squeezing exercises and a compression group (n = 39) performing the same exercises with tourniquet-like compression. Ultrasound measured venous diameter and blood flow rates pre- and post-exercise. Results: Both groups showed increased venous diameter, but the difference between the groups was not statistically significant (mean difference: 0.18 mm with compression vs. 0.12 mm without; P = 0.489). Blood flow rates increased significantly in the compression group compared to the non-compression group (mean difference: 171.49 vs. 24.44 mL/min; P = 0.002). Conclusion: Hand-squeezing exercises with tourniquet-like compression significantly improved AVF blood flow rates acutely, supporting its potential to enhance AVF maturation. Further research is needed to assess long-term benefits.

Abstract Image

Abstract Image

Abstract Image

两种不同的手部运动对动静脉造瘘患者血管大小的急性影响。
目的:我们的主要目的是比较手挤压运动,带和不带止血带样压迫,对运动后5分钟动静脉瘘(AVF)患者血管大小的急性影响。第二个目的是评估两种干预措施之间AVF血流量的差异。方法:2018年10月至2023年9月在泰国曼谷的一家大学医院进行了一项随机研究。78名受试者,首次自体AVF产生2周后,随机分为两组:非压迫组(n = 39)进行5分钟的手挤压练习,压迫组(n = 39)进行相同的止血带样压迫练习。超声测量运动前后静脉直径和血流速率。结果:两组均出现静脉直径增大,但组间差异无统计学意义(平均差异:有压迫组0.18 mm vs.无压迫组0.12 mm;P = 0.489)。与非压迫组相比,压迫组血流量显著增加(平均差异:171.49 vs. 24.44 mL/min;P = 0.002)。结论:手挤压运动加止血带样压迫可显著提高AVF血流量,支持其促进AVF成熟的潜力。需要进一步的研究来评估长期效益。
本文章由计算机程序翻译,如有差异,请以英文原文为准。
求助全文
约1分钟内获得全文 求助全文
来源期刊
Annals of vascular diseases
Annals of vascular diseases PERIPHERAL VASCULAR DISEASE-
自引率
0.00%
发文量
41
×
引用
GB/T 7714-2015
复制
MLA
复制
APA
复制
导出至
BibTeX EndNote RefMan NoteFirst NoteExpress
×
提示
您的信息不完整,为了账户安全,请先补充。
现在去补充
×
提示
您因"违规操作"
具体请查看互助需知
我知道了
×
提示
确定
请完成安全验证×
copy
已复制链接
快去分享给好友吧!
我知道了
右上角分享
点击右上角分享
0
联系我们:info@booksci.cn Book学术提供免费学术资源搜索服务,方便国内外学者检索中英文文献。致力于提供最便捷和优质的服务体验。 Copyright © 2023 布克学术 All rights reserved.
京ICP备2023020795号-1
ghs 京公网安备 11010802042870号
Book学术文献互助
Book学术文献互助群
群 号:604180095
Book学术官方微信