A Nomogram of Weaning Failure for Critical Ventilated Patients in High-Altitude Areas: A Single-Center Cohort Study Using Lasso Logistic Regression.

IF 1.3 Q2 ANESTHESIOLOGY
Anesthesiology Research and Practice Pub Date : 2025-03-11 eCollection Date: 2025-01-01 DOI:10.1155/anrp/9934525
Bin Wang, Li Cheng, GuoYing Lin, Ci Yang, HuiYing Zhao
{"title":"A Nomogram of Weaning Failure for Critical Ventilated Patients in High-Altitude Areas: A Single-Center Cohort Study Using Lasso Logistic Regression.","authors":"Bin Wang, Li Cheng, GuoYing Lin, Ci Yang, HuiYing Zhao","doi":"10.1155/anrp/9934525","DOIUrl":null,"url":null,"abstract":"<p><p><b>Objective:</b> This study aimed to develop a predictive model for weaning failure in critically ill patients at high altitudes. <b>Methods:</b> Data of patients requiring invasive mechanical ventilation admitted to the Department of Intensive Care Medicine of Xizang Autonomous Region People's Hospital from January 1, 2023, to November 31, 2023, were retrospectively collected as the train set. The patients were weaned according to the conventional clinical strategy and divided into successful and failed weaning groups. Univariate analysis was performed between the weaning success and weaning failure groups. Indicators with inter-group differences were included in the Lasso regression for further screening and then included in the multivariate logistic regression analysis to establish independent risk factors. Subsequently, a nomogram prediction model was constructed. Data of patients from December 1, 2023, to April 30, 2024, were retrospectively collected as a validation set to verify the prediction model. <b>Results:</b> A total of 226 patients were included in the train set, of which 61 (27.0%) had weaning failure. The length of intensive care unit stay, mechanical ventilation time, mortality, and medical costs of patients in the weaning failure group were higher than those in the success group. After univariate comparison and Lasso regression, hypertension, lower serum albumin, sequential organ failure assessment (SOFA) score, tidal volume, and respiratory rate were identified as independent risk factors for weaning failure. The area under the receiver operating characteristic curve was 0.895 (95% confidence interval (CI): 0.848-0.943) in the training set and 0.886 (95% CI: 0.814-0.958) in the validation set. <b>Conclusions:</b> Hypertension, lower serum albumin, higher SOFA scores, smaller tidal volumes, and faster respiratory rates were independent risk factors for weaning failure in critically ill patients living in high-altitude areas. A prediction model for weaning failure was constructed, and it showed good prediction efficiency after verification.</p>","PeriodicalId":7834,"journal":{"name":"Anesthesiology Research and Practice","volume":"2025 ","pages":"9934525"},"PeriodicalIF":1.3000,"publicationDate":"2025-03-11","publicationTypes":"Journal Article","fieldsOfStudy":null,"isOpenAccess":false,"openAccessPdf":"https://www.ncbi.nlm.nih.gov/pmc/articles/PMC11991831/pdf/","citationCount":"0","resultStr":null,"platform":"Semanticscholar","paperid":null,"PeriodicalName":"Anesthesiology Research and Practice","FirstCategoryId":"1085","ListUrlMain":"https://doi.org/10.1155/anrp/9934525","RegionNum":0,"RegionCategory":null,"ArticlePicture":[],"TitleCN":null,"AbstractTextCN":null,"PMCID":null,"EPubDate":"2025/1/1 0:00:00","PubModel":"eCollection","JCR":"Q2","JCRName":"ANESTHESIOLOGY","Score":null,"Total":0}
引用次数: 0

Abstract

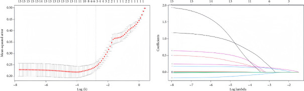
Objective: This study aimed to develop a predictive model for weaning failure in critically ill patients at high altitudes. Methods: Data of patients requiring invasive mechanical ventilation admitted to the Department of Intensive Care Medicine of Xizang Autonomous Region People's Hospital from January 1, 2023, to November 31, 2023, were retrospectively collected as the train set. The patients were weaned according to the conventional clinical strategy and divided into successful and failed weaning groups. Univariate analysis was performed between the weaning success and weaning failure groups. Indicators with inter-group differences were included in the Lasso regression for further screening and then included in the multivariate logistic regression analysis to establish independent risk factors. Subsequently, a nomogram prediction model was constructed. Data of patients from December 1, 2023, to April 30, 2024, were retrospectively collected as a validation set to verify the prediction model. Results: A total of 226 patients were included in the train set, of which 61 (27.0%) had weaning failure. The length of intensive care unit stay, mechanical ventilation time, mortality, and medical costs of patients in the weaning failure group were higher than those in the success group. After univariate comparison and Lasso regression, hypertension, lower serum albumin, sequential organ failure assessment (SOFA) score, tidal volume, and respiratory rate were identified as independent risk factors for weaning failure. The area under the receiver operating characteristic curve was 0.895 (95% confidence interval (CI): 0.848-0.943) in the training set and 0.886 (95% CI: 0.814-0.958) in the validation set. Conclusions: Hypertension, lower serum albumin, higher SOFA scores, smaller tidal volumes, and faster respiratory rates were independent risk factors for weaning failure in critically ill patients living in high-altitude areas. A prediction model for weaning failure was constructed, and it showed good prediction efficiency after verification.

Abstract Image

Abstract Image

Abstract Image

高海拔地区危重通气患者脱机失败的Nomogram:单中心队列Lasso Logistic回归研究
目的:建立高海拔地区危重患者脱机失败的预测模型。方法:回顾性收集西藏自治区人民医院重症医学科2023年1月1日至2023年11月31日收治的需要有创机械通气的患者资料,作为列车组。按照常规临床策略进行断奶,分为成功组和失败组。对断奶成功组和断奶失败组进行单因素分析。将组间差异指标纳入Lasso回归进一步筛选,再纳入多因素logistic回归分析,建立独立危险因素。随后,构建了nomogram预测模型。回顾性收集2023年12月1日至2024年4月30日的患者数据作为验证集,对预测模型进行验证。结果:226例患者入组,其中61例(27.0%)患者脱机失败。脱机失败组患者重症监护时间、机械通气时间、死亡率、医疗费用均高于脱机成功组。经单因素比较和Lasso回归,高血压、低血清白蛋白、序贯器官衰竭评估(SOFA)评分、潮气量和呼吸频率被确定为脱机失败的独立危险因素。训练集的受试者工作特征曲线下面积为0.895(95%可信区间(CI): 0.848 ~ 0.943),验证集的受试者工作特征曲线下面积为0.886 (95% CI: 0.814 ~ 0.958)。结论:高血压、低血清白蛋白、高SOFA评分、潮气量小、呼吸速率加快是高海拔地区危重患者脱机失败的独立危险因素。建立了断奶故障预测模型,经验证,该模型具有较好的预测效率。
本文章由计算机程序翻译,如有差异,请以英文原文为准。
求助全文
约1分钟内获得全文 求助全文
来源期刊
CiteScore
3.10
自引率
0.00%
发文量
29
审稿时长
18 weeks
×
引用
GB/T 7714-2015
复制
MLA
复制
APA
复制
导出至
BibTeX EndNote RefMan NoteFirst NoteExpress
×
提示
您的信息不完整,为了账户安全,请先补充。
现在去补充
×
提示
您因"违规操作"
具体请查看互助需知
我知道了
×
提示
确定
请完成安全验证×
copy
已复制链接
快去分享给好友吧!
我知道了
右上角分享
点击右上角分享
0
联系我们:info@booksci.cn Book学术提供免费学术资源搜索服务,方便国内外学者检索中英文文献。致力于提供最便捷和优质的服务体验。 Copyright © 2023 布克学术 All rights reserved.
京ICP备2023020795号-1
ghs 京公网安备 11010802042870号
Book学术文献互助
Book学术文献互助群
群 号:604180095
Book学术官方微信