Stone-assisted drumming in Western chimpanzees and its implications for communication and cultural transmission.

IF 3 2区 生物学 Q2 BIOLOGY
Biology Letters Pub Date : 2025-05-01 Epub Date: 2025-05-07 DOI:10.1098/rsbl.2025.0053
Sem van Loon, Ignas M A Heitkönig, Annemarie Goedmakers, Roger Mundry, Marc Naguib
{"title":"Stone-assisted drumming in Western chimpanzees and its implications for communication and cultural transmission.","authors":"Sem van Loon, Ignas M A Heitkönig, Annemarie Goedmakers, Roger Mundry, Marc Naguib","doi":"10.1098/rsbl.2025.0053","DOIUrl":null,"url":null,"abstract":"<p><p>Chimpanzees (<i>Pan troglodytes</i>) communicate in complex ways, including sounds produced by hand and foot drumming on trees, often combined with loud vocalizations. Recently, a puzzling stone throwing behaviour at trees was observed, resulting in stone piles at tree buttresses. It is a rare case of tool used for communication in animals and suggested to function like buttress drumming in long-distance communication and male displays. We tested this hypothesis by determining the behavioural dynamics in comparison to hand and foot tree buttress drumming in Western chimpanzees in Boé, Guinea Bissau. Using camera traps, we show that in 78% of cases, stones were picked up at trees, not leading to further stone accumulation beyond the already existing stone piles. Stone-assisted and hand and foot drumming occurred separately or were combined in similar behavioural contexts in apparent long-distance communication and highly aroused behavioural contexts. Yet, immediately before stone drumming, chimpanzees swayed less and pant-hooted more while afterwards pant-hooting less compared to the other contexts, suggesting a separate motivation and/or function for stone-assisted drumming. It suggests this unique stone-based activity has its own signal value, separate from hand/foot buttress drumming and, considering the spatial variation, might be culturally transmitted.</p>","PeriodicalId":9005,"journal":{"name":"Biology Letters","volume":"21 5","pages":"20250053"},"PeriodicalIF":3.0000,"publicationDate":"2025-05-01","publicationTypes":"Journal Article","fieldsOfStudy":null,"isOpenAccess":false,"openAccessPdf":"https://www.ncbi.nlm.nih.gov/pmc/articles/PMC12055282/pdf/","citationCount":"0","resultStr":null,"platform":"Semanticscholar","paperid":null,"PeriodicalName":"Biology Letters","FirstCategoryId":"99","ListUrlMain":"https://doi.org/10.1098/rsbl.2025.0053","RegionNum":2,"RegionCategory":"生物学","ArticlePicture":[],"TitleCN":null,"AbstractTextCN":null,"PMCID":null,"EPubDate":"2025/5/7 0:00:00","PubModel":"Epub","JCR":"Q2","JCRName":"BIOLOGY","Score":null,"Total":0}
引用次数: 0

Abstract

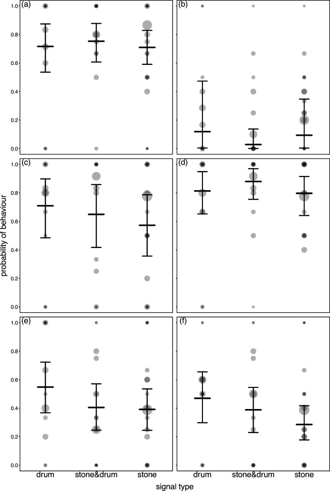
Chimpanzees (Pan troglodytes) communicate in complex ways, including sounds produced by hand and foot drumming on trees, often combined with loud vocalizations. Recently, a puzzling stone throwing behaviour at trees was observed, resulting in stone piles at tree buttresses. It is a rare case of tool used for communication in animals and suggested to function like buttress drumming in long-distance communication and male displays. We tested this hypothesis by determining the behavioural dynamics in comparison to hand and foot tree buttress drumming in Western chimpanzees in Boé, Guinea Bissau. Using camera traps, we show that in 78% of cases, stones were picked up at trees, not leading to further stone accumulation beyond the already existing stone piles. Stone-assisted and hand and foot drumming occurred separately or were combined in similar behavioural contexts in apparent long-distance communication and highly aroused behavioural contexts. Yet, immediately before stone drumming, chimpanzees swayed less and pant-hooted more while afterwards pant-hooting less compared to the other contexts, suggesting a separate motivation and/or function for stone-assisted drumming. It suggests this unique stone-based activity has its own signal value, separate from hand/foot buttress drumming and, considering the spatial variation, might be culturally transmitted.

Abstract Image

Abstract Image

Abstract Image

西方黑猩猩的石头辅助击鼓及其对交流和文化传播的影响。
黑猩猩(类人猿)以复杂的方式交流,包括用手和脚敲树发出的声音,通常伴随着大声的发声。最近,观察到一种令人费解的向树木投掷石头的行为,导致树墩处出现石堆。在动物中,这是一种罕见的用于交流的工具,据推测,它的功能类似于远距离交流和雄性展示的支撑击鼓。我们通过对比几内亚比绍bo的西方黑猩猩的手和脚在树顶敲鼓的行为动力学来检验这一假设。利用相机陷阱,我们发现在78%的情况下,石头是在树上捡到的,不会导致石头在已经存在的石堆之外进一步堆积。在明显的远距离交流和高度唤起的行为环境中,石头辅助和手、脚击鼓分别发生或结合在类似的行为环境中。然而,与其他环境相比,在石头打鼓之前,黑猩猩摇晃得更少,发出更多的“裤脚”声,而之后发出的“裤脚”声则更少,这表明石头辅助打鼓有一个单独的动机和/或功能。这表明,这种独特的基于石头的活动有自己的信号价值,与手/脚支撑击鼓分开,考虑到空间变化,可能是文化传播。
本文章由计算机程序翻译,如有差异,请以英文原文为准。
求助全文
约1分钟内获得全文 求助全文
来源期刊
Biology Letters
Biology Letters 生物-进化生物学
CiteScore
5.50
自引率
3.00%
发文量
164
审稿时长
1.0 months
期刊介绍: Previously a supplement to Proceedings B, and launched as an independent journal in 2005, Biology Letters is a primarily online, peer-reviewed journal that publishes short, high-quality articles, reviews and opinion pieces from across the biological sciences. The scope of Biology Letters is vast - publishing high-quality research in any area of the biological sciences. However, we have particular strengths in the biology, evolution and ecology of whole organisms. We also publish in other areas of biology, such as molecular ecology and evolution, environmental science, and phylogenetics.
×
引用
GB/T 7714-2015
复制
MLA
复制
APA
复制
导出至
BibTeX EndNote RefMan NoteFirst NoteExpress
×
提示
您的信息不完整,为了账户安全,请先补充。
现在去补充
×
提示
您因"违规操作"
具体请查看互助需知
我知道了
×
提示
确定
请完成安全验证×
copy
已复制链接
快去分享给好友吧!
我知道了
右上角分享
点击右上角分享
0
联系我们:info@booksci.cn Book学术提供免费学术资源搜索服务,方便国内外学者检索中英文文献。致力于提供最便捷和优质的服务体验。 Copyright © 2023 布克学术 All rights reserved.
京ICP备2023020795号-1
ghs 京公网安备 11010802042870号
Book学术文献互助
Book学术文献互助群
群 号:604180095
Book学术官方微信