Do cell culturing influence the radiosensitizing effect of gold nanoparticles: a Monte Carlo study.

IF 3.2 2区 医学 Q2 RADIOLOGY, NUCLEAR MEDICINE & MEDICAL IMAGING
J Antunes, T Pinheiro, I Marques, S Pires, M Filomena Botelho, J M Sampaio, A Belchior
{"title":"Do cell culturing influence the radiosensitizing effect of gold nanoparticles: a Monte Carlo study.","authors":"J Antunes, T Pinheiro, I Marques, S Pires, M Filomena Botelho, J M Sampaio, A Belchior","doi":"10.1186/s40658-025-00746-3","DOIUrl":null,"url":null,"abstract":"<p><strong>Background: </strong>Cell culture can be categorized into two major types: adherent and suspension. Both are used in a range of diverse research applications, exhibiting Pros and Cons, depending on what is being studied. In the field of Internal Emitters (IE), different morphological features such as nuclei size, cytoplasm ratio, and shape could influence its non-uniformity deposition and thus impact on the biological outcome. In this work we tested the hypothesis that cellular morphology differences, offered by adherent and suspension cultures, influence the radiosensitizing effect of gold nanoparticles (AuNPs).</p><p><strong>Methods: </strong>Using two PC3 cellular models, taken using confocal microscopy, we conducted Monte Carlo simulations to investigate the effects of different irradiation conditions on cellular Survival Fractions (SF). Our simulations focused on cells exposed to two distinct irradiation sources: <sup>60</sup>Co and 14 MeV protons, along both the longer and shorter axes of the cells to assess directional influences on cell survival. Additionally, we compared the SF of cells adherent to the culture flask with those in suspension, reflecting different experimental and potentially clinical scenarios.</p><p><strong>Results: </strong>In the absence of AuNPs, neither cell type nor irradiation direction significantly affected SF for the radiation types tested. However, with AuNPs present, SF demonstrated a strong dependence on irradiation direction and cell morphology.</p><p><strong>Conclusions: </strong>Our results indicate that the direction of irradiation plays a crucial role in determining the effectiveness of AuNPs in reducing SF. Furthermore, the results suggest that using cells in suspension will reduce the dependence of cell survival on the beam direction during irradiation, regardless of the radiation quality used.</p>","PeriodicalId":11559,"journal":{"name":"EJNMMI Physics","volume":"12 1","pages":"41"},"PeriodicalIF":3.2000,"publicationDate":"2025-04-18","publicationTypes":"Journal Article","fieldsOfStudy":null,"isOpenAccess":false,"openAccessPdf":"https://www.ncbi.nlm.nih.gov/pmc/articles/PMC12008099/pdf/","citationCount":"0","resultStr":null,"platform":"Semanticscholar","paperid":null,"PeriodicalName":"EJNMMI Physics","FirstCategoryId":"3","ListUrlMain":"https://doi.org/10.1186/s40658-025-00746-3","RegionNum":2,"RegionCategory":"医学","ArticlePicture":[],"TitleCN":null,"AbstractTextCN":null,"PMCID":null,"EPubDate":"","PubModel":"","JCR":"Q2","JCRName":"RADIOLOGY, NUCLEAR MEDICINE & MEDICAL IMAGING","Score":null,"Total":0}
引用次数: 0

Abstract

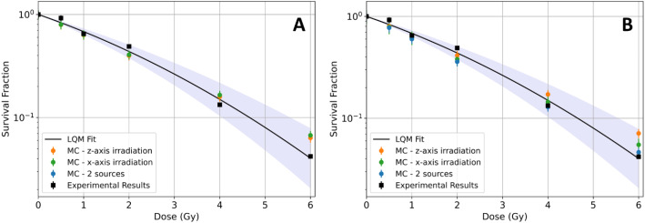
Background: Cell culture can be categorized into two major types: adherent and suspension. Both are used in a range of diverse research applications, exhibiting Pros and Cons, depending on what is being studied. In the field of Internal Emitters (IE), different morphological features such as nuclei size, cytoplasm ratio, and shape could influence its non-uniformity deposition and thus impact on the biological outcome. In this work we tested the hypothesis that cellular morphology differences, offered by adherent and suspension cultures, influence the radiosensitizing effect of gold nanoparticles (AuNPs).

Methods: Using two PC3 cellular models, taken using confocal microscopy, we conducted Monte Carlo simulations to investigate the effects of different irradiation conditions on cellular Survival Fractions (SF). Our simulations focused on cells exposed to two distinct irradiation sources: 60Co and 14 MeV protons, along both the longer and shorter axes of the cells to assess directional influences on cell survival. Additionally, we compared the SF of cells adherent to the culture flask with those in suspension, reflecting different experimental and potentially clinical scenarios.

Results: In the absence of AuNPs, neither cell type nor irradiation direction significantly affected SF for the radiation types tested. However, with AuNPs present, SF demonstrated a strong dependence on irradiation direction and cell morphology.

Conclusions: Our results indicate that the direction of irradiation plays a crucial role in determining the effectiveness of AuNPs in reducing SF. Furthermore, the results suggest that using cells in suspension will reduce the dependence of cell survival on the beam direction during irradiation, regardless of the radiation quality used.

Abstract Image

Abstract Image

Abstract Image

细胞培养是否影响金纳米颗粒的放射增敏效应:蒙特卡洛研究。
背景:细胞培养可分为两种主要类型:贴壁和悬浮。两者都用于一系列不同的研究应用,根据所研究的内容显示出优点和缺点。在内发射体(IE)领域,细胞核大小、细胞质比例和形状等不同的形态特征会影响其沉积的不均匀性,从而影响生物学结果。在这项工作中,我们测试了一个假设,即细胞形态的差异,由贴壁和悬浮培养提供,影响金纳米颗粒(AuNPs)的放射增敏效应。方法:采用共聚焦显微镜对2个PC3细胞模型进行蒙特卡罗模拟,研究不同辐照条件对细胞存活分数(SF)的影响。我们的模拟集中在细胞暴露于两种不同的辐照源:60Co和14mev质子,沿着细胞的长轴和短轴来评估对细胞存活的定向影响。此外,我们比较了贴壁细胞与悬浮细胞的SF,反映了不同的实验和潜在的临床情况。结果:在没有AuNPs的情况下,细胞类型和照射方向对SF均无显著影响。然而,当AuNPs存在时,SF表现出对照射方向和细胞形态的强烈依赖。结论:我们的研究结果表明,照射方向在决定AuNPs降低SF的有效性方面起着至关重要的作用。此外,研究结果表明,无论使用何种辐射质量,使用悬浮细胞都可以降低细胞存活对照射过程中光束方向的依赖。
本文章由计算机程序翻译,如有差异,请以英文原文为准。
求助全文
约1分钟内获得全文 求助全文
来源期刊
EJNMMI Physics
EJNMMI Physics Physics and Astronomy-Radiation
CiteScore
6.70
自引率
10.00%
发文量
78
审稿时长
13 weeks
期刊介绍: EJNMMI Physics is an international platform for scientists, users and adopters of nuclear medicine with a particular interest in physics matters. As a companion journal to the European Journal of Nuclear Medicine and Molecular Imaging, this journal has a multi-disciplinary approach and welcomes original materials and studies with a focus on applied physics and mathematics as well as imaging systems engineering and prototyping in nuclear medicine. This includes physics-driven approaches or algorithms supported by physics that foster early clinical adoption of nuclear medicine imaging and therapy.
×
引用
GB/T 7714-2015
复制
MLA
复制
APA
复制
导出至
BibTeX EndNote RefMan NoteFirst NoteExpress
×
提示
您的信息不完整,为了账户安全,请先补充。
现在去补充
×
提示
您因"违规操作"
具体请查看互助需知
我知道了
×
提示
确定
请完成安全验证×
copy
已复制链接
快去分享给好友吧!
我知道了
右上角分享
点击右上角分享
0
联系我们:info@booksci.cn Book学术提供免费学术资源搜索服务,方便国内外学者检索中英文文献。致力于提供最便捷和优质的服务体验。 Copyright © 2023 布克学术 All rights reserved.
京ICP备2023020795号-1
ghs 京公网安备 11010802042870号
Book学术文献互助
Book学术文献互助群
群 号:604180095
Book学术官方微信