Comparison of 18F-FDG PET image quality and quantitative parameters between DPR and OSEM reconstruction algorithm in patients with lung cancer.

IF 3.2 2区 医学 Q2 RADIOLOGY, NUCLEAR MEDICINE & MEDICAL IMAGING
Ziyi Zhang, Wei Han, Zhehao Lyu, Hongyue Zhao, Xi Wang, Xinyue Zhang, Zeyu Wang, Peng Fu, Changjiu Zhao
{"title":"Comparison of <sup>18</sup>F-FDG PET image quality and quantitative parameters between DPR and OSEM reconstruction algorithm in patients with lung cancer.","authors":"Ziyi Zhang, Wei Han, Zhehao Lyu, Hongyue Zhao, Xi Wang, Xinyue Zhang, Zeyu Wang, Peng Fu, Changjiu Zhao","doi":"10.1186/s40658-025-00748-1","DOIUrl":null,"url":null,"abstract":"<p><strong>Objectives: </strong>The present study aimed to investigate the influence of the deep progressive learning reconstruction (DPR) algorithm on the <sup>18</sup>F-FDG PET image quality and quantitative parameters.</p><p><strong>Methods: </strong>In this retrospective study, data were collected from 55 healthy individuals and 184 patients with primary malignant pulmonary tumors who underwent <sup>18</sup>F-FDG PET/CT examinations. PET data were reconstructed using the ordered subset expectation maximization (OSEM) and DPR algorithms. The influence of DPR algorithm on quantitative parameters was explored, including the SUV<sub>max</sub>, SUV<sub>mean</sub>, standard deviation of SUV (SUV<sub>SD</sub>), metabolic tumor volume (MTV), total lesion glycolysis (TLG), and tumor-to-background uptake ratio (TBR). Finally, the differences in image quality parameters, including signal-to-noise ratio (SNR) and contrast-to-noise ratio (CNR), between the two reconstruction algorithms were evaluated.</p><p><strong>Results: </strong>DPR algorithm significantly reduced the SUV<sub>max</sub> and SUV<sub>SD</sub> of background tissues (all, P < 0.001) compared to OSEM algorithm, while no statistical difference was observed in SUV<sub>mean</sub> between the two algorithms (all, P > 0.05). DPR algorithm notably increased the SUV<sub>max</sub>, SUV<sub>mean</sub>, and TBR of lesions (all, P < 0.001) and reduced MTV (P = 0.005), with minimal differences in TLG noted between the reconstruction algorithms (P < 0.001). The percentage differences in SUV<sub>max</sub> (P = 0.001), SUV<sub>mean</sub> (P = 0.005), and TBR (P = 0.001) between the two algorithms were significantly higher in solid nodules than in pure ground glass nodules (pGGNs). The ΔCNR between solid nodules (P = 0.031) and mixed ground glass nodules (P = 0.020) was greater than that between pGGNs. SNR and CNR obtained using the DPR algorithm were markedly improved compared to those determined using the OSEM algorithm (all, P < 0.001).</p><p><strong>Conclusion: </strong>Under identical acquisition conditions, the DPR algorithm enhanced the accuracy of quantitative parameters in pulmonary lesions and potentially improved lesion detectability. The DPR algorithm increased image SNR and CNR compared to those obtained using the OSEM algorithm, significantly optimizing overall image quality. This advancement facilitated precise clinical diagnosis, underpinning its potential to significantly contribute to the field of medical imaging.</p>","PeriodicalId":11559,"journal":{"name":"EJNMMI Physics","volume":"12 1","pages":"39"},"PeriodicalIF":3.2000,"publicationDate":"2025-04-16","publicationTypes":"Journal Article","fieldsOfStudy":null,"isOpenAccess":false,"openAccessPdf":"https://www.ncbi.nlm.nih.gov/pmc/articles/PMC12003247/pdf/","citationCount":"0","resultStr":null,"platform":"Semanticscholar","paperid":null,"PeriodicalName":"EJNMMI Physics","FirstCategoryId":"3","ListUrlMain":"https://doi.org/10.1186/s40658-025-00748-1","RegionNum":2,"RegionCategory":"医学","ArticlePicture":[],"TitleCN":null,"AbstractTextCN":null,"PMCID":null,"EPubDate":"","PubModel":"","JCR":"Q2","JCRName":"RADIOLOGY, NUCLEAR MEDICINE & MEDICAL IMAGING","Score":null,"Total":0}
引用次数: 0

Abstract

Objectives: The present study aimed to investigate the influence of the deep progressive learning reconstruction (DPR) algorithm on the 18F-FDG PET image quality and quantitative parameters.

Methods: In this retrospective study, data were collected from 55 healthy individuals and 184 patients with primary malignant pulmonary tumors who underwent 18F-FDG PET/CT examinations. PET data were reconstructed using the ordered subset expectation maximization (OSEM) and DPR algorithms. The influence of DPR algorithm on quantitative parameters was explored, including the SUVmax, SUVmean, standard deviation of SUV (SUVSD), metabolic tumor volume (MTV), total lesion glycolysis (TLG), and tumor-to-background uptake ratio (TBR). Finally, the differences in image quality parameters, including signal-to-noise ratio (SNR) and contrast-to-noise ratio (CNR), between the two reconstruction algorithms were evaluated.

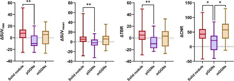
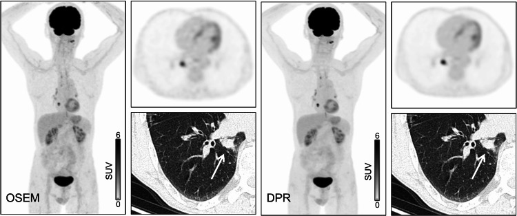
Results: DPR algorithm significantly reduced the SUVmax and SUVSD of background tissues (all, P < 0.001) compared to OSEM algorithm, while no statistical difference was observed in SUVmean between the two algorithms (all, P > 0.05). DPR algorithm notably increased the SUVmax, SUVmean, and TBR of lesions (all, P < 0.001) and reduced MTV (P = 0.005), with minimal differences in TLG noted between the reconstruction algorithms (P < 0.001). The percentage differences in SUVmax (P = 0.001), SUVmean (P = 0.005), and TBR (P = 0.001) between the two algorithms were significantly higher in solid nodules than in pure ground glass nodules (pGGNs). The ΔCNR between solid nodules (P = 0.031) and mixed ground glass nodules (P = 0.020) was greater than that between pGGNs. SNR and CNR obtained using the DPR algorithm were markedly improved compared to those determined using the OSEM algorithm (all, P < 0.001).

Conclusion: Under identical acquisition conditions, the DPR algorithm enhanced the accuracy of quantitative parameters in pulmonary lesions and potentially improved lesion detectability. The DPR algorithm increased image SNR and CNR compared to those obtained using the OSEM algorithm, significantly optimizing overall image quality. This advancement facilitated precise clinical diagnosis, underpinning its potential to significantly contribute to the field of medical imaging.

Abstract Image

Abstract Image

Abstract Image

肺癌患者18F-FDG PET图像质量及定量参数DPR与OSEM重建算法的比较
目的:研究深度渐进式学习重建(deep progressive learning reconstruction, DPR)算法对18F-FDG PET图像质量和定量参数的影响。方法:回顾性分析55名健康个体和184例原发性肺恶性肿瘤患者,均行18F-FDG PET/CT检查。利用有序子集期望最大化(OSEM)和DPR算法重构PET数据。探讨DPR算法对SUVmax、SUVmean、SUV标准差(SUVSD)、代谢肿瘤体积(MTV)、病灶总糖酵解(TLG)、肿瘤-背景摄取比(TBR)等定量参数的影响。最后,评估了两种重建算法在图像质量参数(包括信噪比(SNR)和噪声对比比(CNR))方面的差异。结果:DPR算法显著降低了背景组织的SUVmax和SUVSD(均,两种算法的P均值均为0.05)。DPR算法显著提高了病变的SUVmax、SUVmean和TBR(均P max (P = 0.001)、SUVmean (P = 0.005),两种算法之间的TBR (P = 0.001)在实性结节中显著高于纯磨砂玻璃结节(pggn)。固体结节(P = 0.031)和混合磨砂玻璃结节(P = 0.020)之间的ΔCNR大于pggn之间。结论:在相同的采集条件下,DPR算法提高了肺部病变定量参数的准确性,并有可能提高病变的可检出性。与OSEM算法相比,DPR算法提高了图像的信噪比和CNR,显著优化了整体图像质量。这一进步促进了精确的临床诊断,巩固了它在医学成像领域的潜力。
本文章由计算机程序翻译,如有差异,请以英文原文为准。
求助全文
约1分钟内获得全文 求助全文
来源期刊
EJNMMI Physics
EJNMMI Physics Physics and Astronomy-Radiation
CiteScore
6.70
自引率
10.00%
发文量
78
审稿时长
13 weeks
期刊介绍: EJNMMI Physics is an international platform for scientists, users and adopters of nuclear medicine with a particular interest in physics matters. As a companion journal to the European Journal of Nuclear Medicine and Molecular Imaging, this journal has a multi-disciplinary approach and welcomes original materials and studies with a focus on applied physics and mathematics as well as imaging systems engineering and prototyping in nuclear medicine. This includes physics-driven approaches or algorithms supported by physics that foster early clinical adoption of nuclear medicine imaging and therapy.
×
引用
GB/T 7714-2015
复制
MLA
复制
APA
复制
导出至
BibTeX EndNote RefMan NoteFirst NoteExpress
×
提示
您的信息不完整,为了账户安全,请先补充。
现在去补充
×
提示
您因"违规操作"
具体请查看互助需知
我知道了
×
提示
确定
请完成安全验证×
copy
已复制链接
快去分享给好友吧!
我知道了
右上角分享
点击右上角分享
0
联系我们:info@booksci.cn Book学术提供免费学术资源搜索服务,方便国内外学者检索中英文文献。致力于提供最便捷和优质的服务体验。 Copyright © 2023 布克学术 All rights reserved.
京ICP备2023020795号-1
ghs 京公网安备 11010802042870号
Book学术文献互助
Book学术文献互助群
群 号:604180095
Book学术官方微信