Temporomandibular Internal Derangements Denote Activity of Axial Spondyloarthritis.

IF 1.8 Q3 DENTISTRY, ORAL SURGERY & MEDICINE
Ana-Marija Laškarin, Stjepan Špalj, Gordana Laskarin, Antonija Ružić Baršić, Jasmina Grđan, Emina Babarović, Tatjana Kehler, Viktor Peršić, Nikša Dulčić
{"title":"Temporomandibular Internal Derangements Denote Activity of Axial Spondyloarthritis.","authors":"Ana-Marija Laškarin, Stjepan Špalj, Gordana Laskarin, Antonija Ružić Baršić, Jasmina Grđan, Emina Babarović, Tatjana Kehler, Viktor Peršić, Nikša Dulčić","doi":"10.15644/asc59/1/1","DOIUrl":null,"url":null,"abstract":"<p><strong>Objectives: </strong>The group of spondyloarthritis (SpA) disorders shares common clinical manifestations, including internal derangement (ID) of temporomandibular joint (TMJ). This study aimed to investigate SpA activity in patients with ID of TMJ.</p><p><strong>Materials and methods: </strong>We assessed 200 patients with neck pain using the Assessment of Spondyloarthritis International Society (ASAS) criteria. TMJ was examined using Diagnostic Criteria for Temporomandibular Disorders (DC/TMD protocol). Patients with SpA were divided into three groups: symptomatic ID of TMJ, asymptomatic ID of TMJ, or healthy TMJ (controls). Activity of SpA was evaluated using the Ankylosing Spondylitis Disease Activity Score (ASDAS), Bath Ankylosing Spondylitis Disease Activity Index (BASDAI), Disease Activity Index in Psoriatic Arthritis (DAPSA), patients' self-estimated SpA activity, difficulties in performing daily activities, pain intensity (visual analogue scale) and laboratory parameters.</p><p><strong>Results: </strong>Patients with symptomatic and asymptomatic ID showed statistically significantly increased ASDAS, anti-streptolysin titer, patients' self-estimated axial pain and activity of SpA, and decreased hematocrit than the control. Patients with symptomatic ID also had statistically significant earlier onset of SpA, along with increased BASDAI and DAPSA, total body pain, difficulties in performing daily activities, platelet count, and serum alpha-amylase but lower hemoglobin concentration than controls. Patients with asymptomatic ID had higher frequencies of exacerbated axial SpA and sacroiliac joint ankylosis compared to the control.</p><p><strong>Conclusion: </strong>All patients with SpA and ID showed increased axial disease activity.</p>","PeriodicalId":7154,"journal":{"name":"Acta Stomatologica Croatica","volume":"59 1","pages":"2-14"},"PeriodicalIF":1.8000,"publicationDate":"2025-03-01","publicationTypes":"Journal Article","fieldsOfStudy":null,"isOpenAccess":false,"openAccessPdf":"https://www.ncbi.nlm.nih.gov/pmc/articles/PMC11984813/pdf/","citationCount":"0","resultStr":null,"platform":"Semanticscholar","paperid":null,"PeriodicalName":"Acta Stomatologica Croatica","FirstCategoryId":"1085","ListUrlMain":"https://doi.org/10.15644/asc59/1/1","RegionNum":0,"RegionCategory":null,"ArticlePicture":[],"TitleCN":null,"AbstractTextCN":null,"PMCID":null,"EPubDate":"","PubModel":"","JCR":"Q3","JCRName":"DENTISTRY, ORAL SURGERY & MEDICINE","Score":null,"Total":0}
引用次数: 0

Abstract

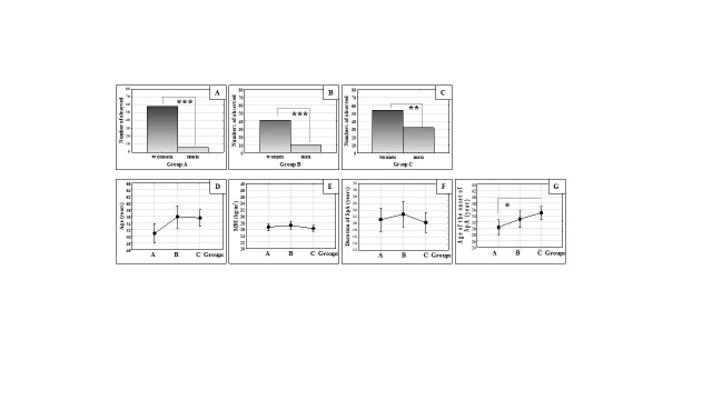
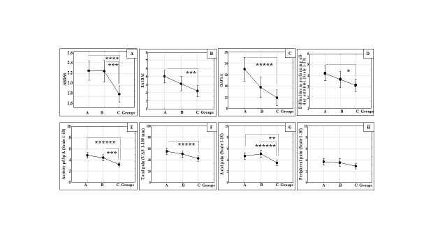
Objectives: The group of spondyloarthritis (SpA) disorders shares common clinical manifestations, including internal derangement (ID) of temporomandibular joint (TMJ). This study aimed to investigate SpA activity in patients with ID of TMJ.

Materials and methods: We assessed 200 patients with neck pain using the Assessment of Spondyloarthritis International Society (ASAS) criteria. TMJ was examined using Diagnostic Criteria for Temporomandibular Disorders (DC/TMD protocol). Patients with SpA were divided into three groups: symptomatic ID of TMJ, asymptomatic ID of TMJ, or healthy TMJ (controls). Activity of SpA was evaluated using the Ankylosing Spondylitis Disease Activity Score (ASDAS), Bath Ankylosing Spondylitis Disease Activity Index (BASDAI), Disease Activity Index in Psoriatic Arthritis (DAPSA), patients' self-estimated SpA activity, difficulties in performing daily activities, pain intensity (visual analogue scale) and laboratory parameters.

Results: Patients with symptomatic and asymptomatic ID showed statistically significantly increased ASDAS, anti-streptolysin titer, patients' self-estimated axial pain and activity of SpA, and decreased hematocrit than the control. Patients with symptomatic ID also had statistically significant earlier onset of SpA, along with increased BASDAI and DAPSA, total body pain, difficulties in performing daily activities, platelet count, and serum alpha-amylase but lower hemoglobin concentration than controls. Patients with asymptomatic ID had higher frequencies of exacerbated axial SpA and sacroiliac joint ankylosis compared to the control.

Conclusion: All patients with SpA and ID showed increased axial disease activity.

Abstract Image

Abstract Image

Abstract Image

颞下颌关节内部紊乱表明轴性脊柱炎的活动。
目的:颈椎病(spondyloarthritis, SpA)组具有共同的临床表现,包括颞下颌关节(TMJ)内部紊乱(internal derement, ID)。本研究旨在探讨颞下颌关节畸形患者的SpA活性。材料和方法:我们使用国际脊椎关节炎评估协会(ASAS)标准评估了200例颈部疼痛患者。采用颞下颌疾病诊断标准(DC/TMD方案)检查TMJ。SpA患者被分为三组:有症状的TMJ、无症状的TMJ和健康的TMJ(对照组)。SpA活动采用强直性脊柱炎疾病活动评分(ASDAS)、浴式强直性脊柱炎疾病活动指数(BASDAI)、银屑病关节炎疾病活动指数(DAPSA)、患者自我评估SpA活动、日常活动困难、疼痛强度(视觉模拟量表)和实验室参数进行评估。结果:与对照组相比,有症状和无症状ID患者的ASDAS、抗溶血素滴度、患者自我评估轴向疼痛和SpA活性均有统计学意义的升高,红细胞压积下降。有症状性ID的患者也有统计学意义的早发性SpA, BASDAI和DAPSA升高,全身疼痛,日常活动困难,血小板计数和血清α -淀粉酶,但血红蛋白浓度低于对照组。无症状ID患者与对照组相比,轴向SpA和骶髂关节强直加重的频率更高。结论:所有SpA和ID患者均表现为轴性疾病活动性增高。
本文章由计算机程序翻译,如有差异,请以英文原文为准。
求助全文
约1分钟内获得全文 求助全文
来源期刊
Acta Stomatologica Croatica
Acta Stomatologica Croatica DENTISTRY, ORAL SURGERY & MEDICINE-
CiteScore
2.40
自引率
28.60%
发文量
32
审稿时长
12 weeks
期刊介绍: The Acta Stomatologica Croatica (ASCRO) is a leading scientific non-profit journal in the field of dental, oral and cranio-facial sciences during the past 44 years in Croatia. ASCRO publishes original scientific and clinical papers, preliminary communications, case reports, book reviews, letters to the editor and news. Review articles are published by invitation from the Editor-in-Chief by acclaimed professionals in distinct fields of dental medicine. All manuscripts are subjected to peer review process.
×
引用
GB/T 7714-2015
复制
MLA
复制
APA
复制
导出至
BibTeX EndNote RefMan NoteFirst NoteExpress
×
提示
您的信息不完整,为了账户安全,请先补充。
现在去补充
×
提示
您因"违规操作"
具体请查看互助需知
我知道了
×
提示
确定
请完成安全验证×
copy
已复制链接
快去分享给好友吧!
我知道了
右上角分享
点击右上角分享
0
联系我们:info@booksci.cn Book学术提供免费学术资源搜索服务,方便国内外学者检索中英文文献。致力于提供最便捷和优质的服务体验。 Copyright © 2023 布克学术 All rights reserved.
京ICP备2023020795号-1
ghs 京公网安备 11010802042870号
Book学术文献互助
Book学术文献互助群
群 号:604180095
Book学术官方微信